留言板

尊敬的读者、作者、审稿人, 关于本刊的投稿、审稿、编辑和出版的任何问题, 您可以本页添加留言。我们将尽快给您答复。谢谢您的支持!

姓名
邮箱
手机号码
标题
留言内容
验证码

2020年  第46卷  第6期

显示方式:
2020年, 第46卷, 第6期
icon下载 (38643) 812 icon预览
论文
幅度调制稳态听觉刺激脑电信号响应及选择性注意力分析
郑德智, 贾弘茹, 姜凤敏, 朱美意, 那睿, 张帅磊
2020, 46(6): 1045-1052. doi: 10.13700/j.bh.1001-5965.2019.0381
摘要:

闭锁症患者不能自主控制眼球运动,无法使用视觉刺激脑-机接口(BCI)技术实现意识交流,听觉刺激脑-机接口技术不受视觉限制,可实现这类患者的意识交流,具有重要意义。首先,对不同受试者在幅度调制频率变化的听觉诱发刺激下的响应特征进行研究,获得人体大脑听觉通频带的幅频特性。然后,基于受试者的听觉通频带频率特征,设计了全新的听觉选择注意力实验范式,选择响应幅值较强的刺激频率作为受试者的刺激频率,并提出了改进的空间相干脑电(EEG)信号解算方法,提高了算法的鲁棒性,获得了相对更高的准确率,受试者通过注意力选择实现脑-机接口的二分类控制。实验获得了不同受试者的大脑听觉通频带频率特征,得到了人体大脑在35~94 Hz调制频率范围内的听觉幅频特性曲线,发现了响应幅值在35~44 Hz调制频率范围最强。利用改进的空间相干算法,将提出的基于通频带特征的实验范式和固定频率组合的实验范式进行比较,由3名受试者的对比实验表明,所提实验范式和改进的空间相干算法获得了更高的准确率。

基于MPC导引律的AUV路径跟踪和避障控制
姚绪梁, 王晓伟
2020, 46(6): 1053-1062. doi: 10.13700/j.bh.1001-5965.2019.0413
摘要:

针对欠驱动自主水下航行器(AUV)的三维直线路径跟踪和避障控制,基于级联控制策略设计了运动学和动力学控制器。首先,在设计运动学控制器时考虑了纵倾和艏摇角速度存在的约束,应用模型预测控制(MPC)设计了最优导引律。然后,考虑了推进器转速和舵角的饱和,应用滑模控制(SMC)技术设计了动力学控制器,从而保证了系统的鲁棒性。最后,通过仿真实验与基于视线法(LOS)导引律的传统控制方法进行了对比。仿真结果表明:所提方法不仅可以改善欠驱动AUV对三维直线路径的跟踪效果,而且可以有效减少舵角的饱和现象。

基于反馈线性化的MSCMG转子稳定控制
汤继强, 隗同坤, 宁梦月, 崔旭
2020, 46(6): 1063-1072. doi: 10.13700/j.bh.1001-5965.2019.0401
摘要:

磁悬浮控制力矩陀螺(MSCMG)转子的稳定悬浮是实现陀螺高精度大力矩输出的关键。针对影响转子稳定悬浮的转子径向偏转耦合、非线性参数摄动、动框架效应问题,建立转子的动力学模型,提出了一种基于反馈线性化的增强型内模控制方法。利用反馈线性化方法实现径向偏转运动解耦以及转子动力学模型的线性化,设计增强型内模控制对转子系统的非线性参数摄动进行补偿并有效抑制动框架效应,提升了转子系统的稳定性。MATLAB仿真结果表明:所提出的控制方法实现了转子偏转的完全解耦,与PID控制相比,所提方法可以有效抑制参数摄动对转子径向平动的影响。对于转子径向偏转,与PID交叉控制相比,所提方法可以有效抑制框架扰动,提高系统控制精度。

基于锂离子电池温降指数的细水雾添加剂筛选方法
张青松, 罗星娜, 程相静, 白伟
2020, 46(6): 1073-1079. doi: 10.13700/j.bh.1001-5965.2019.0362
摘要:

为对比细水雾添加剂抑制锂离子电池热失控多米诺效应的效果,提出锂离子电池火灾温降指数模型及其测试方法。利用自主设计的锂离子电池热失控实验平台开展含不同添加剂细水雾抑制多米诺效应实验,确定每种添加剂作用后的温降指数,对每种添加剂的作用机理进行分析。结果表明:加入添加剂后温降指数明显增大,表明添加剂可显著提高细水雾阻断热失控连续传播效果;无机盐类添加剂作用后抑制效果高于表面活性剂类添加剂,主要增强了细水雾的化学灭火作用;进一步对比温降指数发现,几类样品中NH4H2PO4加入后细水雾抑制效果最好。利用温降指数对细水雾添加剂抑制热失控多米诺效应进行评估,为筛选细水雾添加剂灭火剂提供理论基础。

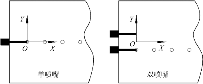
基于压敏漆的多羽流气动力效应试验研究
吴靖, 蔡国飙
2020, 46(6): 1080-1088. doi: 10.13700/j.bh.1001-5965.2019.0419
摘要:

多股羽流相互作用会形成复杂流场形态的干扰羽流,为了对干扰羽流开展气动力效应试验研究,采用压敏漆(PSP)表面压力光学测量技术,对以常温空气为工质的单喷嘴羽流和双喷嘴干扰羽流撞击平板模型的气动力进行了高分辨率的全场测量,分析了喷嘴和平板间不同入射距离和入射角对羽流气动力作用强度和范围的影响。试验结果表明,以高透氧聚合物为基层的压敏漆在羽流气动力测量中具有快速响应的特性,能分辨Pa级的微小压力变化。相对传统离散测压孔方法,压敏漆温度敏感度低,能捕捉大梯度的压力变化,准确描述羽流气动力效应。通过对比,发现干扰羽流对气动力具有明显增强作用,且增强作用随着入射距离的降低而减弱,干扰羽流的气动力不能直接用单股羽流的气动力进行线性叠加;羽流相互作用增强羽流返流,在航天器设计中需要考虑多股羽流相互作用后的羽流防护问题。

基于GPS多星三频数据融合的GNSS-IR土壤湿度反演方法
孙波, 梁勇, 汉牟田, 杨磊, 荆丽丽, 洪学宝
2020, 46(6): 1089-1096. doi: 10.13700/j.bh.1001-5965.2019.0396
摘要:

土壤湿度的监测是全球卫星导航系统干涉测量法(GNSS-IR)的关键应用之一。传统的GNSS-IR土壤湿度反演方法一般只针对单颗卫星的单一频段,未充分利用不同轨道、不同频率卫星信号的差异性与互补性。针对此问题,提出了一种将GPS多星的L1、L2和L5频段数据加权融合进行联合反演的方法,该方法利用基于最小方差的自适应融合算法得到加权因子,并通过现场实验进行了方法验证。结果表明:在测试集上所提出的反演方法相比于传统的Larson方法,相关系数提高了24.69%,均方根误差下降了22.28%,与均值融合法相比,相关系数提高了26.77%,均方根误差下降了23.26%,证明了所提方法能有效提高反演精度。

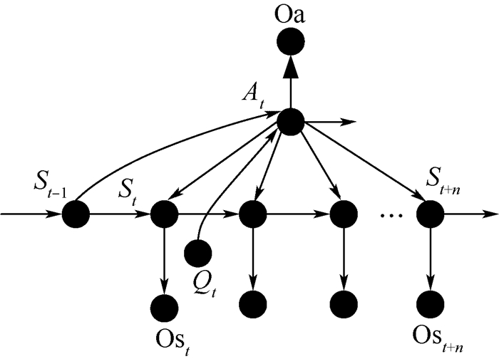
基于CIDBN的战术活动识别模型及在线精确推理
国海峰, 刘宏强, 荘炎龙, 杨海燕
2020, 46(6): 1097-1107. doi: 10.13700/j.bh.1001-5965.2019.0399
摘要:

战术活动识别是战场态势感知的重要研究内容。为提高战术活动识别的准确性与实时性,提出了一种基于上下文独立动态贝叶斯网络(CIDBN)的战术活动识别模型及在线精确推理。通过对战术活动机制的分析,采用动态贝叶斯网络(DBN)理论,建立了一个初始战术活动识别模型。该模型引入了威胁指数节点来影响战术活动的终止与选择,并采用模糊隶属度函数对连续变量进行离散化处理。依据上下文独立关系对该模型进行简化,获得了一个基于CIDBN的战术活动识别模型。将接口算法扩展于该模型上,提出了在线精确推理算法。仿真结果表明,所提出的战术活动识别方法,具有识别精度高、较低不确定性和实时性高的优点。

翼伞充气过程的流固耦合方法数值仿真
张思宇, 余莉, 刘鑫
2020, 46(6): 1108-1115. doi: 10.13700/j.bh.1001-5965.2019.0408
摘要:

为研究冲压式翼伞折叠充气过程的流固耦合动力学特性,基于自由曲面变形理论建立了多气室冲压翼伞的展向折叠模型。流体域通过时步更新技术实现了随伞载系统运动,采用任意拉格朗日-欧拉(ALE)方法开展了翼伞非定常充气展开过程的非线性动力学数值计算,数值计算结果与空投试验结果具有较好的一致性。深入分析了翼伞充气过程中的三维外形及非定常流场分布情况,表明翼伞充气过程由于翼尖涡绕流,存在“翼尖上翘,中部凹陷”的翼伞尾流再附现象;各气室的充气规律关于中央气室对称;分析了翼伞气动特性的动态变化规律,充满后翼伞滑翔比稳定在2.24。上述研究为翼伞设计及开伞性能预测提供了一定的理论依据。

湿热环境对CCF800/环氧挖补板拉压性能的影响
张婕, 程小全, 程羽佳, 冯振宇
2020, 46(6): 1116-1124. doi: 10.13700/j.bh.1001-5965.2019.0416
摘要:

针对挖补修理后飞行器在服役期间会经历高温高湿环境,进行了湿热环境对挖补修理层合板(以下简称挖补板)拉压性能影响的研究。首先,测试了4种湿热环境下CCF800/环氧挖补板的拉伸和压缩性能;然后,建立了相应的湿热应力有限元模型,探索了不同湿热环境下挖补板内的湿热应力分布;最后,在此基础上建立了湿热环境下挖补板的拉伸和压缩力学模型,研究了湿热环境对CCF800/环氧挖补板力学性能的影响。试验结果显示,湿热环境使挖补板的承压能力降低,承拉能力提高,这与常理不符。经试验观察和机理分析,发现CCF800/环氧铺层中纤维弯曲是导致湿热环境下挖补板拉伸性能不降反升的主要原因。在考虑湿热环境时,制备CCF800纤维复合材料过程中需要格外注意纤维弯曲问题。

不同速度运动汽车的磁异信号研究与探测
王尧, 邵建达, 胡国行, 刘晓凤, 张恺馨
2020, 46(6): 1125-1132. doi: 10.13700/j.bh.1001-5965.2019.0426
摘要:

运动汽车随着速度的增加伴随着非稳态材料的产生,如汽油高温燃烧、高速摩擦引起自由电荷累积等。针对这些磁异信号难以采用适用于铁磁性材料的磁偶极子模型描述的问题,提出了结合磁偶极子模型和运动电荷等效模型的方法,理论计算不同速度运动汽车的磁异信号并分析其时域、频域特征,获得磁异信号与速度的依赖关系。采用隧道磁阻传感器(TMR)结合滤波、放大、模数转换技术构建弱磁信号探测实验装置,探测不同速度运动汽车的时域磁异信号,并采用傅里叶变换获得其频域信息,与理论模型相吻合。随着速度的增加,频域信号向高频方向偏移,对于从低频地磁背景场中提取目标弱磁信号极其重要。

火卫一周期准卫星轨道及入轨分析
吴晓杰, 王悦, 徐世杰
2020, 46(6): 1133-1141. doi: 10.13700/j.bh.1001-5965.2019.0391
摘要:

围绕火卫一的准卫星轨道(QSOs)因其具有良好的稳定性,是火卫一探测任务最为实用的轨道。在平面圆型限制性三体问题模型下,利用庞加莱截面和KAM环迭代方法探究了准卫星轨道的周期轨道族,并给出不同能量准卫星周期轨道的初始条件。针对火卫一周期准卫星轨道入轨,提出一种转移轨道设计方法:对准卫星周期轨道调整速度后进行反向积分,直至离开火卫一邻近区域,从而得到由火星环绕轨道向火卫一周期准卫星轨道的转移轨道,并调整转移轨道参数对燃料与时间消耗进行优化。研究结果表明,当周期准卫星轨道能量处于特定区间时,存在特定速度脉冲区间,可利用火卫一引力实现较少燃料消耗的轨道转移;在该速度脉冲区间中,通过选取较小的速度脉冲,可缩短转移时间。

基于解耦优化和环流APF的多平台协同攻击任务规划
贾正荣, 卢发兴, 王航宇
2020, 46(6): 1142-1150. doi: 10.13700/j.bh.1001-5965.2019.0424
摘要:

为提升协同攻击任务规划效率,借助人工势场(APF)方法求解速度快的优势,提出多平台协同攻击任务规划方法。针对任务规划问题中任务分配与航路规划的耦合问题,提出基于独立航路规划的解耦(ID)与基于直接距离的解耦(DD)2种解耦框架;建立考虑打击目标价值总和、攻击平台与目标距离极差、攻击平台与目标距离总和等因素的指标函数,采用遗传算法进行任务分配求解;提出环流APF方法,避免了传统APF方法因局部极小值而无解的问题,并提出同时到达控制策略与航路冲突规避策略,实现多平台同时到达航路规划。在不同场景下比较了耦合方式、ID、DD 3种任务规划框架的规划结果,并对比了传统APF方法与环流APF方法的航路规划结果。结果表明,解耦方式能够得到与耦合方式接近的结果,并且计算耗时明显低于耦合方式;环流APF方法相比传统APF方法求解可行性更高,航路性能更好。对于存在大块障碍的场景,推荐使用ID方式获得更好的准确度,在障碍稀疏的场景下,推荐使用DD方式以减少计算耗时。

基于BP-GIS的京津冀碳钢土壤腐蚀速率地图研究
李敬洋, 王震, 陈怡, 祁俊峰, 杨斌
2020, 46(6): 1151-1158. doi: 10.13700/j.bh.1001-5965.2019.0403
摘要:

针对京津冀地区碳钢土壤腐蚀问题,应用误差反向传播(BP)神经网络,以主影响因素为输入参数,分别构建了针对京津冀地区碳钢土壤腐蚀速率模型。根据各主要土壤腐蚀影响因素数值,对碳钢土壤腐蚀速率实现了预测。并基于地理信息系统(GIS)绘制了中国年均碳钢土壤腐蚀速率地图。研究表明:京津冀地区单年均碳钢土壤腐蚀速率西北高东南低,多年均碳钢土壤腐蚀速率基本均匀分布;pH、含盐总量、土壤温度、全氮量和有机质对碳钢土壤腐蚀较为显著;1、3、5和8年均碳钢土壤腐蚀速率分布最大为6.159、2.322、2.614和3.467 g/(dm2·a)。

基于扩张状态观测器的泵控电液伺服系统滑模控制
郭新平, 汪成文, 刘华, 张震阳, 吉鑫浩, 赵斌
2020, 46(6): 1159-1168. doi: 10.13700/j.bh.1001-5965.2019.0418
摘要:

以泵控电液伺服系统为研究对象,提出了一种基于扩张状态观测器的滑模位置跟踪控制策略。首先,利用奇异扰动理论对泵控电液伺服系统的数学模型进行降阶处理,得到降阶泵控电液位置伺服系统数学模型。其次,针对泵控电液伺服系统工况的复杂性及外负载干扰问题,设计了扩张状态观测器对系统干扰在线观测,同时该观测器还可以对活塞杆的位置和速度信号进行估计。然后,利用观测到的干扰信号及速度信号,基于滑模控制理论设计了滑模变结构控制算法,对所提出的控制策略的稳定性进行了理论分析。最后,利用MATLAB/Simulink和AMESim仿真平台,搭建了泵控电液伺服系统的联合仿真模型,对算法的可行性及有效性进行了仿真验证。仿真结果表明,所设计的扩张状态观测器能对干扰进行精确估计,基于扩张状态观测器的滑模控制策略的位置跟踪性能显著优于PID控制器和传统滑模控制器,且对外部干扰力具有较强的鲁棒性,提高了泵控电液伺服系统的控制性能。

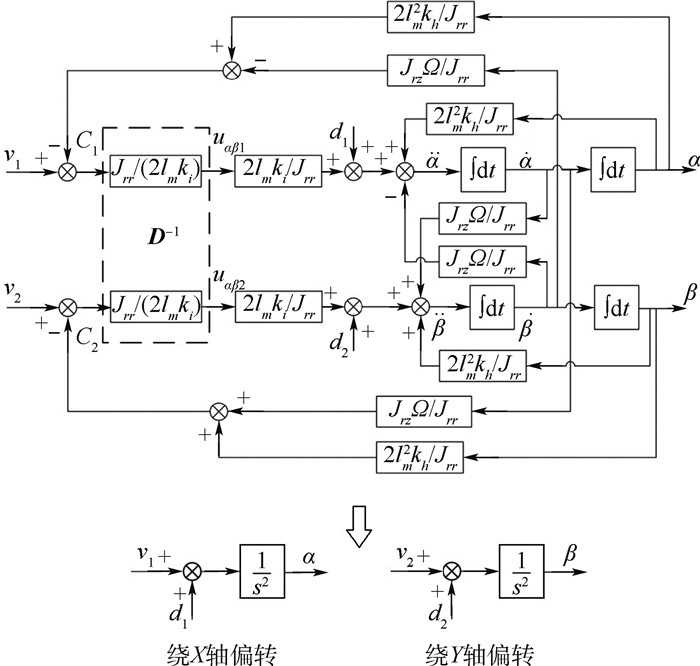
六自由度压电隔振平台面向控制的模态分析与动力学建模
于帅彪, 张臻, 周克敏
2020, 46(6): 1169-1176. doi: 10.13700/j.bh.1001-5965.2019.0402
摘要:

六自由度压电隔振平台各通道之间存在的强耦合性以及压电作动器固有的迟滞非线性都对系统动力学建模提出了挑战。为此,基于模态分析技术对六自由度压电隔振平台开展面向控制的非线性动力学建模研究。在充分考虑压电作动器的迟滞非线性后,采用模态坐标变换方法建立了隔振平台Hammerstein非线性动力学模型,包含了输入端的静态迟滞非线性子系统、解耦的模态方程组以及模态正/反变换矩阵。通过实验测量方法辨识得到模态方程中的参数,采用MPI模型辨识得到静态迟滞非线性子系统,并经过逆补偿控制实验验证了迟滞模型的正确性。基于迟滞逆补偿策略辨识得到模态反变换矩阵。最终建立了平台的动力学模型,为后续的控制奠定了良好的基础。

一种基于自适应滤波的GPS滚转角估计方法
刘阳, 李怀建, 杜小菁
2020, 46(6): 1177-1183. doi: 10.13700/j.bh.1001-5965.2019.0414
摘要:

全球定位系统(GPS)测姿技术主要是利用GPS载波相位和信号功率2种方法,但是测量信息单一且独立,针对旋转载体的测姿问题,提出一种基于自适应滤波的GPS滚转角估计方法,通过融合GPS接收机天线信号功率和多普勒频率信息测量载体滚转角和滚转角速度。利用当前统计模型对滚转角和滚转角速度测量进行系统建模,根据滚转角预测估计值选取量测量,并提出自适应滤波,采用滚转角加速度估计自适应滤波算法,实现了对系统噪声方差阵的自适应调整,避免了滚转角加速度最值的选取问题,降低了噪声的影响。通过仿真验证了基于自适应滤波的GPS滚转角估计方法的可行性,结果表明该方法的测量精度高于无迹卡尔曼滤波(UKF)。

基于改进型YOLO算法的遥感图像舰船检测
王玺坤, 姜宏旭, 林珂玉
2020, 46(6): 1184-1191. doi: 10.13700/j.bh.1001-5965.2019.0394
摘要:

目标检测算法在PASCAL VOC等数据集中取得了非常好的检测效果,但是在大尺度遥感图像中舰船目标的检测准确率却很低。因此,针对可见光遥感图像的特点,在YOLOv3-Tiny算法的基础上增加了特征映射模块,为预测层提供丰富的语义信息,同时在特征提取网络中引用残差网络,提高了检测准确率,从而有效提取舰船特征。实验结果表明:优化后的M-YOLO算法检测准确率为94.12%。相比于SSD和YOLOv3算法,M-YOLO算法的检测准确率分别提高了11.11%和9.44%。

一种基于PCA的面向对象多尺度分割优化算法
蒋晨琛, 霍宏涛, 冯琦
2020, 46(6): 1192-1203. doi: 10.13700/j.bh.1001-5965.2019.0398
摘要:

多尺度分割是图像面向对象分类的基础,针对不同区域特征最优分割尺度确定的主观性以及采用聚类算法时聚类中心确定的随机性,提出了一种联合降维与聚类算法的面向对象多尺度分割优化算法。该算法首先利用主成分分析法(PCA)降维排序后的结果产生初始聚类中心;然后采用K-means聚类和度量每一个像素点合并的概率,从而得到适应不同研究区域内不同尺度地物的分割结果。采用多个影像数据库,通过引入聚类评价指标(内部评价指标和外部评价指标)、分割评价指标(分割精度、过分割率和欠分割率)并结合现有的图像分割方法及原始的K-means算法、与PCA降维后的K-means聚类对比分析。研究结果表明:经过降维处理后进行的聚类算法稳定性更高;与传统的聚类算法相比,结合PCA降维更能自动识别最优分割尺度;降维技术和聚类算法联合之中,目视和定量评价指标表明经过降维预处理后的聚类能得到更高质量的分割结果。

管制-飞行状态相依网络模型及特性分析
李昂, 聂党民, 温祥西, 王泽坤
2020, 46(6): 1204-1213. doi: 10.13700/j.bh.1001-5965.2019.0400
摘要:

管制员和航空器是管制系统的关键所在,两者紧密关联、相互依存,分析其间的相互关系,能够加深对管制系统的理解,更好地维护其运行效率。为此,首先构建了一种由飞行状态网络和管制网络相耦合所组成的相依网络模型。其中,飞行状态网络由空中的航空器和彼此之间位置关系决定;管制网络由管制扇区及其之间的移交关系确定。然后根据管制员对航空器的调配难度确定依存边的权重。最后依据构建原则模拟生成人造网络,对该网络的节点度、点强和加权聚类系数以及网络效率和鲁棒性进行了分析。分析结果表明:所构建的相依网络模型能够反映管制员和航空器之间的相互关系,管制节点重要程度高于航空器节点。

武装直升机在杀爆弹打击下的易损性及防护策略
胡诤哲, 李向东, 周兰伟, 陈兴
2020, 46(6): 1214-1220. doi: 10.13700/j.bh.1001-5965.2019.0427
摘要:

为研究武装直升机对小口径杀爆(HE)弹的防护策略,建立了某型武装直升机在小口径杀爆弹打击下的易损性模型,计算了典型受攻击方向的武装直升机易损面积,并将武装直升机底面划分为不同区域,计算了各区域的防护效率。计算表明,武装直升机最易损方向为其右后下方,此方向的易损面积为6.97 m2,结合武装直升机的外形特征,得出底面和侧面应当优先防护。对于武装直升机底面,前后燃油箱所在的2个区域的防护效率均达到50%以上,在布置装甲重量有限的条件下可优先防护该区域。另外,在主机身与机尾舱之间增加隔板可阻挡弹丸爆炸后横向飞散的破片,与直接防护武装直升机尾部相比,其防护效率由2.93%提高至11.07%。

基于FRFT的多分量LFM信号检测与参数估计方法
宋耀辉, 黄仰超, 张衡阳, 秦智康, 高维廷
2020, 46(6): 1221-1228. doi: 10.13700/j.bh.1001-5965.2019.0430
摘要:

针对传统方法搜寻效率低的问题,采取瞄准搜寻策略,提出一种快速精确地检测和估计多分量线性调频(LFM)信号参数的方法。推导出LFM信号的分数阶长度和旋转角度间的近似关系;利用分数阶幅度随旋转角度变化规律,提出一种高效搜寻最优旋转角度的算法,分析得出该算法的计算量较小,相比于传统算法具有较大优势。在低信噪比情况下,进行两次S-G滤波可显著提高检测概率。仿真结果表明,所提方法在低信噪比和存在分量间信号干扰的情况下,能可靠检测和精确估计多分量LFM信号参数。

基于线性编码补偿方法的非固定丢包率下的分布式融合估计器
韩旭, 赵国荣, 王康
2020, 46(6): 1229-1236. doi: 10.13700/j.bh.1001-5965.2019.0348
摘要:

为解决无线信道非固定丢包率建模和丢包补偿问题,研究了具有非固定丢包率的网络化多传感器融合估计问题。假定无线信道丢包率是非固定的,利用对过去得到的有限个测量值进行线性编码的方法对丢包进行补偿,针对系统矩阵中存在的非高斯非白噪声随机干扰,首先设计了一种利用每一时刻数据包到达变量的局部最优估计器,其次推导出融合估计误差协方差与传感器传输概率之间的函数关系。最后通过算例仿真验证所提方法的有效性。

常见问答