-
摘要:
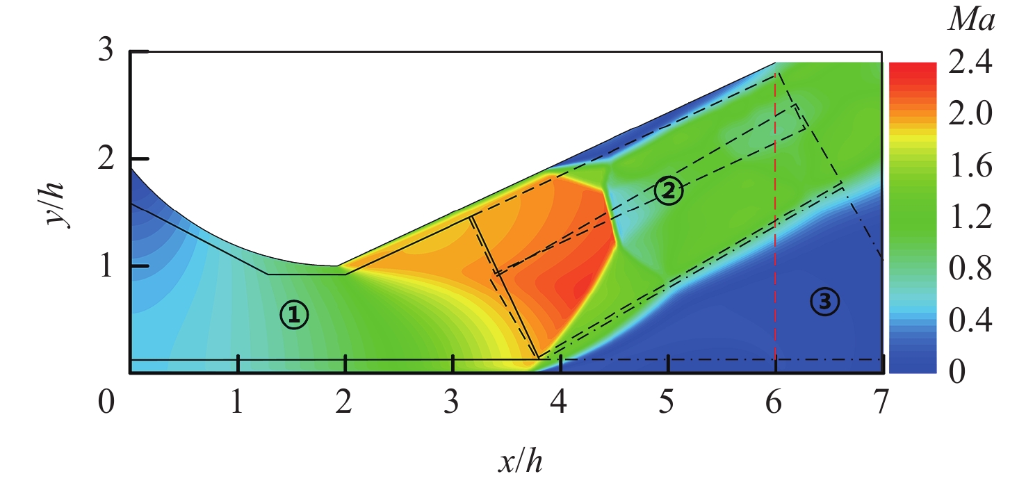
冲压发动机喷管推力系数的准确测量十分重要。传统的测力天平受环境噪声等外界因素的影响较大,因此,考虑通过测量喷管出口截面的速度、压力和密度分布,直接根据定义获得推力系数。以典型过膨胀状态下单边膨胀喷管的复杂超声速内流场为研究对象,提出一套基于粒子图像测速(PIV)的多物理场和推力系数的非接触式重构测量方法。通过PIV虚拟实验,综合评估了所提方法的理论精度。结果表明:基于PIV测得的多物理场,利用定义式直接测得的喷管推力系数约为0.779,相比于参考值0.771,相对误差仅为1.04%,从而验证了所提方法的可行性和准确性。
Abstract:Accurate measurement of the thrust coefficient of ramjet nozzles is crucial. Traditional force balances are highly susceptible to external factors such as ambient noise and signal interference. Therefore, the paper proposed directly obtaining the thrust coefficient based on the definition by measuring the velocity, pressure, and density distributions at the nozzle outlet. A non-intrusive reconstruction measurement scheme based on particle image velocimetry (PIV) was proposed for multiple physical fields and the thrust coefficient of a typical single expansion ramp nozzle under over-expansion conditions. The theoretical accuracy of the reconstruction scheme was comprehensively evaluated using synthetic PIV experiments. The results indicate that the thrust coefficient of the nozzle, measured using the reconstructed multi-physical fields from PIV, is about 0.779, with a relative error of only 1.04% compared to the reference value of 0.771. This confirms the feasibility and accuracy of the proposed method.
-
-
[1] LV Z, XU J L, YU K K, et al. Experimental and numerical investigations of a scramjet nozzle at various operations[J]. Aerospace Science and Technology, 2020, 96: 105536. doi: 10.1016/j.ast.2019.105536 [2] 汪丰, 徐惊雷, 汪阳生. 并联式TBCC排气系统模态转换过程的流场特性研究[J]. 实验流体力学, 2019, 33(3): 68-75. doi: 10.11729/syltlx20190037WANG F, XU J L, WANG Y S. Study of flow field characteristics of an over-under TBCC exhaust system during mode transition process[J]. Journal of Experiments in Fluid Mechanics, 2019, 33(3): 68-75(in Chinese). doi: 10.11729/syltlx20190037 [3] HOHN O M, GÜLHAN A. Experimental investigation of sidewall compression and internal contraction in a scramjet inlet[J]. Journal of Propulsion and Power, 2017, 33(2): 501-513. doi: 10.2514/1.B36054 [4] TANI K, KANDA T, KUDOU K J. Aerodynamic performance of scramjet inlet models with a single strut[J]. Journal of Propulsion and Power, 2006, 22(4): 905-912. doi: 10.2514/1.17774 [5] SMART M K. Experimental testing of a hypersonic inlet with rectangular-to-elliptical shape transition[J]. Journal of Propulsion and Power, 2001, 17(2): 276-283. doi: 10.2514/2.5774 [6] FLOCK A K, GÜLHAN A. Experimental investigation of the starting behavior of a three-dimensional scramjet intake[J]. AIAA Journal, 2015, 53(9): 2686-2693. doi: 10.2514/1.J053786 [7] RAFFEL M, WILLERT C E, SCARANO F, et al. Particle image velocimetry: a practical guide[M]. Berlin: Springer, 2018. [8] XU J L, SHA J, SHI Z Y, et al. PIV experimental study and numerical simulation of the over-expanded SERN exit jet[C]//Proceedings of the 46th AIAA Aerospace Sciences Meeting and Exhibit. Reston: AIAA, 2008. [9] XU J L, LIN C F, SHA J. Particle image velocimetry study of the impinging height effect on an overexpanded supersonic impinging free jet at Ma = 1.754. Part 1: global coherent structure[J]. Proceedings of the Institution of Mechanical Engineers, Part G: Journal of Aerospace Engineering, 2012, 226(1): 64-73. doi: 10.1177/0954410011406834 [10] VAN OUDHEUSDEN B W. PIV-based pressure measurement[J]. Measurement Science and Technology, 2013, 24(3): 032001. doi: 10.1088/0957-0233/24/3/032001 [11] BAUR T. PIV with high temporal resolution for the determination of local pressure reductions from coherent turbulence phenomena[C]//Proceedings of the 3rd International Workshop on PIV. Berlin: Springer, 1999: 101-106. [12] GURKA R, LIBERZON A, HEFETZ D, et al. Computation of pressure distribution using PIV velocity data[C]//Proceedings of the 3rd International Symposium on Particle Image Velocimetry. Bristol: Measurement Science & Technology , 1999, 2: 1-6. [13] ANDERSON J D. Fundamentals of aerodynamics[J]. AIAA Journal, 2010, 48(12): 2983-2983. [14] VAN OUDHEUSDEN B W. Principles and application of velocimetry-based planar pressure imaging in compressible flows with shocks[J]. Experiments in Fluids, 2008, 45(4): 657-674. doi: 10.1007/s00348-008-0546-9 [15] LIU S, XU J L, YU K K. MacCormack’s technique-based pressure reconstruction approach for PIV data in compressible flows with shocks[J]. Experiments in Fluids, 2017, 58(6): 64. doi: 10.1007/s00348-017-2354-6 [16] LIU S, XU J L. Assessment of pressure field and performance parameter reconstruction from velocity data for ramjet inlet[J]. Aerospace Science and Technology, 2021, 110: 106454. doi: 10.1016/j.ast.2020.106454 [17] LIU S, XU J L, GONG H, et al. Assessment of streamline-based pressure reconstruction for PIV data in supersonic flows with shock waves[J]. Experiments in Fluids, 2020, 61(7): 161. doi: 10.1007/s00348-020-02999-3 [18] YU Y, XU J L, MO J W, et al. Principal parameters in flow separation patterns of over-expanded single expansion RAMP nozzle[J]. Engineering Applications of Computational Fluid Mechanics, 2014, 8(2): 274-288. doi: 10.1080/19942060.2014.11015513 [19] THIELICKE W, SONNTAG R. Particle image velocimetry for MATLAB: accuracy and enhanced algorithmsin PIVlab[J]. Journal of Open Research Software, 2021, 9(1): 12. doi: 10.5334/jors.334 -


下载: