留言板

尊敬的读者、作者、审稿人, 关于本刊的投稿、审稿、编辑和出版的任何问题, 您可以本页添加留言。我们将尽快给您答复。谢谢您的支持!

姓名
邮箱
手机号码
标题
留言内容
验证码

2023年  第49卷  第2期

显示方式:
2023年, 第49卷, 第2期
icon下载 (35452) 1471 icon预览
多网络约束下NNS分布式融合估计器设计
赵国荣, 顾昊伦, 韩旭, 高超
2023, 49(2): 229-241. doi: 10.13700/j.bh.1001-5965.2021.0225
摘要:

针对节点量测增益衰减、节点能量受限与系统模型不确定3种网络约束下具有随机通信时滞和非固定丢包率的组网导航系统(NNS)分布式状态融合估计问题,将增益衰减程度描述为统计特性已知的随机变量,将模型不确定描述为系统矩阵中的乘性有色噪声,将减小能耗描述为降低节点数据传输率。分别在邻节点端和目标节点端引入2种不同的线性编码器以解决丢包与时滞问题。建立丢包率与同时传输信息的节点数目之间的函数关系,将邻节点在过去有限个时刻的量测值进行线性编码后再传输,以补偿丢包与降低传输率导致的信息损失。目标节点把在同一采样周期内获取的来自同一邻节点的多个量测值按时间戳进行线性编码,以解决通信时滞导致的信息多余。基于2次线性编码建立增广系统模型,设计最小方差意义下局部无偏估计器,利用最优矩阵加权融合法得到全局融合估计器,推导得到融合估计误差协方差收敛的充分条件及次优传输率。通过算例仿真验证所提算法的有效性。

基于飞行冲突网络最优支配集的冲突调配策略
吴明功, 毕可心, 温祥西, 孙继昆
2023, 49(2): 242-253. doi: 10.13700/j.bh.1001-5965.2021.0233
摘要:

针对空中交通流量逐年上升、管制压力增大、飞行冲突难调配的问题,以航空器为节点,基于航空器之间的速度障碍关系建立飞行冲突网络。定义最优支配集的概念,通过移除飞行冲突网络的最优支配集节点,快速消解网络中的冲突,降低网络的复杂性。在使用粒子群(PSO)算法对网络最优支配集进行求解的过程中,引入免疫机制,设置节点和连边2种类型的抗原,保证对关键航空器和高风险冲突的优先调配。实验仿真表明:所提冲突调配策略相较于传统方法能够快速识别网络中的关键航空器节点,并对高风险的冲突连边具有较好的灵敏性,可为管制员和管制系统提供更加准确、可靠的信息和建议,在宏观上辅助进行飞行冲突的调配。

多尺度特征和注意力融合的生成对抗壁画修复
陈永, 陈锦, 陶美风
2023, 49(2): 254-264. doi: 10.13700/j.bh.1001-5965.2021.0242
摘要:

针对现有深度学习图像修复算法修复壁画时,存在特征提取不足及细节重构丢失等问题,提出了一种多尺度特征和注意力融合的生成对抗壁画修复深度学习模型。设计多尺度特征金字塔网络提取壁画中不同尺度的特征信息,增强特征关联性;采用自注意力机制及特征融合模块构建多尺度特征生成器,以获取丰富的上下文信息,提升网络的修复能力;引入最小化对抗损失与均方误差促进判别器的残差反馈,从而结合不同尺度的特征信息完成壁画修复。通过对真实敦煌壁画数字化修复的实验结果表明,所提算法能够有效保护壁画图像的边缘和纹理等重要特征信息,并且主观视觉效果及客观评价指标均优于比较算法。

基于改进联合稀疏EIT算法的CFRP材料检测
马敏, 于洁, 范文茹
2023, 49(2): 265-272. doi: 10.13700/j.bh.1001-5965.2021.0244
摘要:

针对应用电阻抗层析成像技术(EIT)对碳纤维增强复合材料(CFRP)损伤检测的高度病态性问题,提出了一种联合L1L2范数的稀疏正则化泛函模型,并在迭代过程中通过构建一种新的约束项来优化求解。仿真结果表明,与传统算法相比,改进联合稀疏EIT算法能够有效改善损伤图像的电极伪影,提高损伤边缘清晰度,增强损伤辨识定位准确度。CFRP层压板检测实验结果表明,改进联合稀疏EIT算法能够提高图像重建的抗干扰能力,具有良好的鲁棒性及适用性。

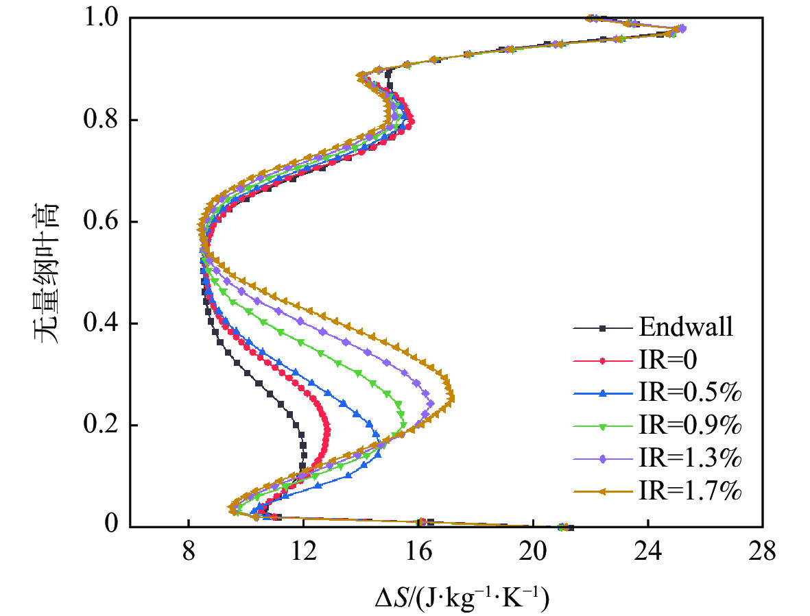
轮缘密封影响下的动叶通道内非定常流动研究
何振鹏, 周佳星, 辛佳, 刘明远, 黎柏春, 张桂昌
2023, 49(2): 273-283. doi: 10.13700/j.bh.1001-5965.2021.0223
摘要:

为了研究涡轮转静盘腔间轮缘封严结构对下游动叶通道内流动的影响,对无封严结构、无封严气流及采用不同封严流量时涡轮动叶通道内流场分布和气动损失进行了数值模拟。结果表明:封严腔出口位置气流受静叶与动叶相对位置变化的影响呈现较强的非定常特性,变化与动叶运动周期保持一致。动叶入口位置非定常波动受到封严气流与前缘势场共同作用,封严气流引起周向、径向速度变化的同时也造成了强烈的非定常效应。动叶通道内封严气流引起的端区气流偏转改变了前缘马蹄涡滞止点位置,增强了马蹄涡压力面分支,动叶吸力面一侧剪切诱导涡改变了轮毂通道涡的形成机制和吸力面侧相对低压区的位置。

非完备信息下的超视距空战双机协同战术识别
孟光磊, 张慧敏, 朴海音, 周铭哲
2023, 49(2): 284-294. doi: 10.13700/j.bh.1001-5965.2021.0251
摘要:

针对超视距(BVR)空战过程中,受探测装置性能限制和敌方干扰等原因,导致目标信息易缺失,从而难以实时准确地识别敌方协同空战战术的问题,提出了一种基于动态贝叶斯网络(DBN)与参数学习的超视距空战双机协同战术识别方法。分析了超视距空战条件下的双机协同战术特征,根据长机和僚机的职能分工、当前态势及机动动作,构建了识别网络模型;为提高模型对双机协同战术的识别概率,采用期望最大参数学习方法优化网络参数;基于自回归模型对缺失目标信息进行修补,提出非完备信息下的双机协同战术识别推理算法。通过开展空战对抗仿真实验,验证了双机协同战术识别方法对于非完备信息下的超视距空战双机协同战术具有较高的识别概率和较好的实时性。

一种FPGA实现的复杂背景红外小目标检测网络
周海, 侯晴宇, 卞春江, 冯水春, 刘一腾
2023, 49(2): 295-310. doi: 10.13700/j.bh.1001-5965.2021.0221
摘要:

红外(IR)小目标检测算法具有检测率高、虚警率低、实时性好等优点在红外遥感领域有重要的应用价值。由于复杂背景下小目标对比度低和信噪比(SNR)低,传统红外小目标检测算法难以保证检测性能。在强鲁棒性的红外小目标检测网络(RISTDnet)基础上,面向更为多样的目标结构特征和更高的实时处理性能要求,提出一种增强型红外小目标检测网络(EISTDnet)与其基于现场可编程逻辑门阵列(FPGA)高性能并行处理的算法。EISTDnet构造了手工特征算法与卷积神经网络相结合的多尺度小目标特征提取框架,采用多级展开思路对卷积核尺寸进行归一化设计,并通过数据深度复用和多维循环并行展开有效提高推理阶段实时处理性能。实验结果表明:采用单片FPGA实现的EISTDnet能够快速实时检测复杂背景下不同大小、低信噪比的小目标,与现有5种算法相比在10−3低虚警率下平均检测率提升49.5%,与RISTDnet相比,在实时处理速度提高1.33倍的优势下,对低信噪比条状小目标检测率提升29.4%,所提算法具有更好的有效性和鲁棒性。

一种准确识别损失场景的STPA
钟德明, 宫浩原, 孙睿
2023, 49(2): 311-323. doi: 10.13700/j.bh.1001-5965.2021.0226
摘要:

“系统理论事故模型与过程”(STAMP)理论认为系统安全是系统的涌现属性,因此,更准确地揭示了现代复杂系统的危险成因。依据该理论构建的“系统理论过程分析”(STPA)是一种新型危险分析方法,得到越来越多的关注,目前已被多份国际标准所采纳。但STPA仍以人工分析为主,当系统较复杂时,损失场景呈现涌现特性,STPA难以识别这类损失场景。提出改进的STPA,澄清了不安全控制动作(UCA)、损失场景、过程模型等概念,利用状态机构建识别UCA和损失场景所需要的全部行为,利用模型检测技术识别时间相关或不相关UCA的损失场景,改进后的STPA具备准确识别涌现损失场景的能力,可以减少“漏报”或“误报”。

脉冲压缩在钢板腐蚀电磁超声SH导波检测中的应用
石文泽, 黄祺凯, 卢超, 邱发生, 陈尧, 陈果
2023, 49(2): 324-334. doi: 10.13700/j.bh.1001-5965.2021.0229
摘要:

将Barker码脉冲压缩技术应用于水平剪切(SH)导波电磁超声换能器( EMAT),对提高在役钢板腐蚀检测回波的信噪比(SNR)和空间分辨率,以及实现大范围在线快速扫查具有重要的工程应用价值。建立基于Barker码信号激励的钢板SH导波传播有限元模型,结合实验分析与数值计算,分析了Barker码序列长度、码元长度、EMAT设计参数、提离等因素对脉冲压缩后缺陷回波的信噪比和波包宽度的影响,并与传统单一频率脉冲串激励方式进行对比实验。结果表明:与单一频率脉冲串激励方式相比,采用Barker码脉冲压缩技术,可以将缺陷波的SNR提高5.8 dB;当EMAT提离为3.0 mm时,经过脉冲压缩后的缺陷回波SNR>8.7 dB,而采用单一频率脉冲串激励方式对应的SNR接近于0 dB;当Barker码信号序列长度为13位、码元长度为15 μs时,能检测深度为1 mm、直径为20 mm的圆孔,且SNR>25.4 dB。

基于有限存储空间的分布式传感器融合估计器
韩旭, 王元鑫, 程显超, 王小飞
2023, 49(2): 335-343. doi: 10.13700/j.bh.1001-5965.2021.0240
摘要:

研究具有信息传输模型不确定性、随机时间延迟和数据丢包的网络化多传感器分布式融合估计问题。模型的不确定性刻画为系统矩阵中的非高斯非白噪声干扰,在远程处理中心处设置有限长度的存储空间用来存储各个传感器延迟到达的测量值。在最小方差原则下设计了一种利用测量值到达变量的最优常增益局部估计器,利用协方差交叉加权方法得到最优分布式融合估计器并推导得到使得估计器有界的条件。最后,通过某电源系统计算实例仿真验证所提融合估计器的有效性。

基于组合优化算法的空面导弹全空域弹道优化
祝雯生, 吕先敬, 侯振乾, 张顺家, 毕鹏, 仲康
2023, 49(2): 344-352. doi: 10.13700/j.bh.1001-5965.2021.0252
摘要:

针对空面导弹全空域弹道优化问题,提出基于多岛遗传算法和序列二次规划法的组合优化算法,充分发挥多岛遗传算法对初值不敏感、全局收敛性强及序列二次规划法收敛速度快、精度高等特点。采用代理模型技术,在保证拟合精度的前提下,极大的降低了全空域弹道优化的计算量。算例结果表明:组合优化算法收敛速度较快,可以得到高精度的全局最优解;代理模型拟合精度较高,可以满足工程要求;且优化结果和所建立的代理模型可以为全空域制导律设计提供有力的支撑。

曲线纤维壁板屈曲/后屈曲建模与快速分析方法
王泽溪, 万志强, 王晓喆, 杨超
2023, 49(2): 353-366. doi: 10.13700/j.bh.1001-5965.2021.0259
摘要:

曲线(VAT)纤维复合材料壁板相比广泛应用的直线纤维形式具有更优的面内稳定性,作为机翼壁板,在同等质量时具有更高的抗屈曲潜力。为深入研究纤维路径对于曲线纤维壁板稳定性的影响规律,从各向同性薄板的理论出发,推导曲线纤维壁板在面内载荷下的稳定性分析方法;通过Airy应力函数和拉格朗日乘子描述边界条件,建立曲线纤维壁板适用于任意位移及载荷边界条件的单一变分方程,避免了非线性平衡方程和非线性相容方程间由于反复迭代对求解速度的制约。基于冯卡门大变形方程发展了曲线纤维壁板后屈曲状态下的非线性稳定性问题求解模型,并采用瑞利-里兹法建立了屈曲/后屈曲一体化半解析快速求解框架,该框架的求解精度与商用软件MSC.Nastran一致,但求解时间远低于商业软件;利用此优势,可以快速分析给定任意位移边界条件下的曲线纤维壁板屈曲响应特性,并得到纤维路径的影响规律。

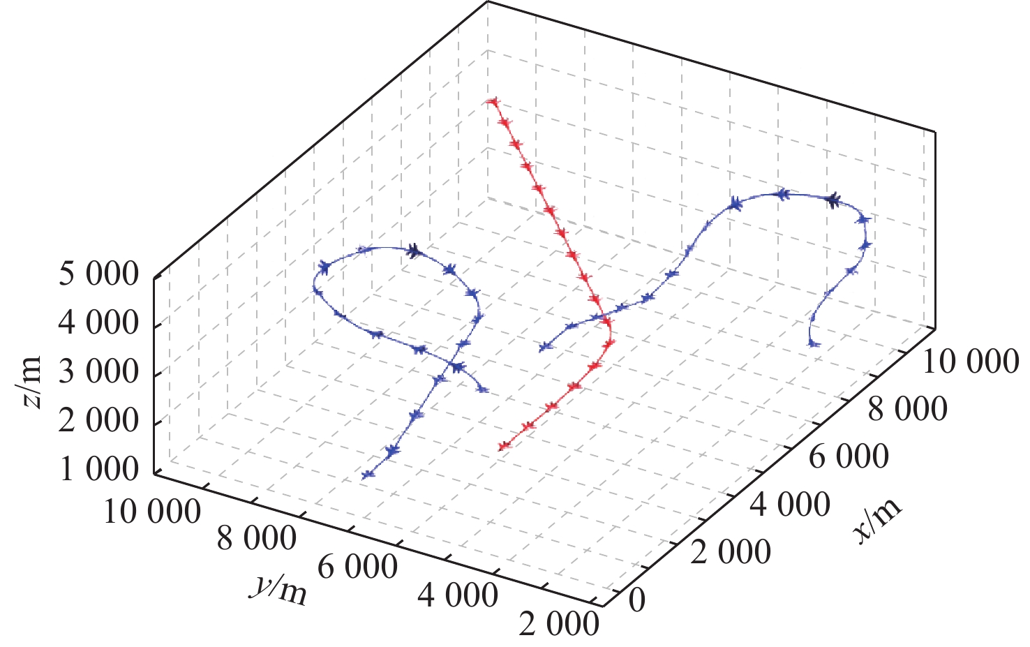
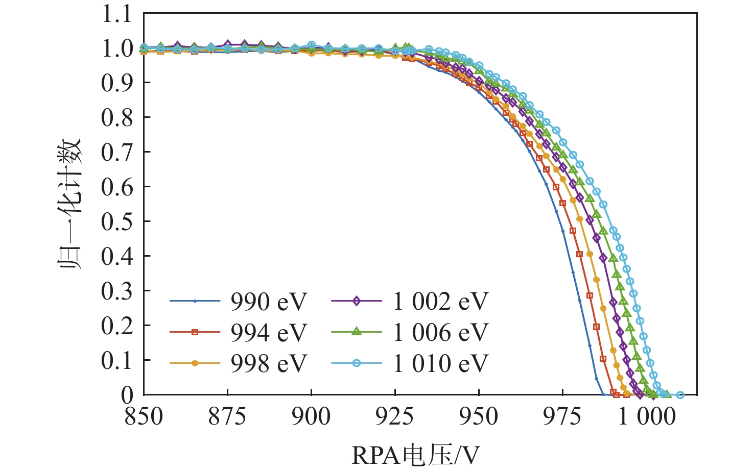
一种外日球层拾起离子探测器的设计与仿真
高天丰, 孔令高, 苏斌, 张爱兵
2023, 49(2): 367-377. doi: 10.13700/j.bh.1001-5965.2021.0243
摘要:

针对外日球层低速、低密度、低温的拾起离子(PUIs)的高分辨探测需求,以带顶盖超环面静电分析器、阻滞势分析器和线性场飞行时间系统为基础设计了一种新型高分辨拾起离子探测器。经过有限元仿真分析,探测器可实现离子(氢)的速度范围15.7 ~1072.2 km/s,密度范围0.0001 ~100 cm−3,温度高于474.9 K的探测,同时可实现典型拾起离子(氢、氦、碳、氮、氧、氖)的成分分辨,质谱分辨率(M/ΔM)大于40。

穿透性损伤对钛合金蜂窝口盖壁板面内压缩性能影响
杨昊, 谢宗蕻, 杨海波, 袁培毓, 岳喜山, 赵伟
2023, 49(2): 378-387. doi: 10.13700/j.bh.1001-5965.2021.0249
摘要:

钛合金蜂窝口盖壁板在实际服役过程中可能会产生穿透性损伤,从而影响口盖壁板面内压缩性能。采用试验和有限元计算相结合的方法研究了穿透性损伤对钛合金蜂窝口盖壁板面内压缩性能的影响。结果显示:含穿透性损伤的钛合金蜂窝口盖壁板的面内压缩破坏载荷要略高于无损伤钛合金蜂窝口盖壁板,且面内压缩破坏载荷随穿透性损伤直径增大而增大;有限元模型预测的破坏模式与试验结果一致,预测的破坏载荷与试验结果的最大偏差为9.33%,两者吻合较好。研究结果可以为钛合金蜂窝口盖壁板的设计及面内压缩性能的预测提供数据支持和研究方法参考。

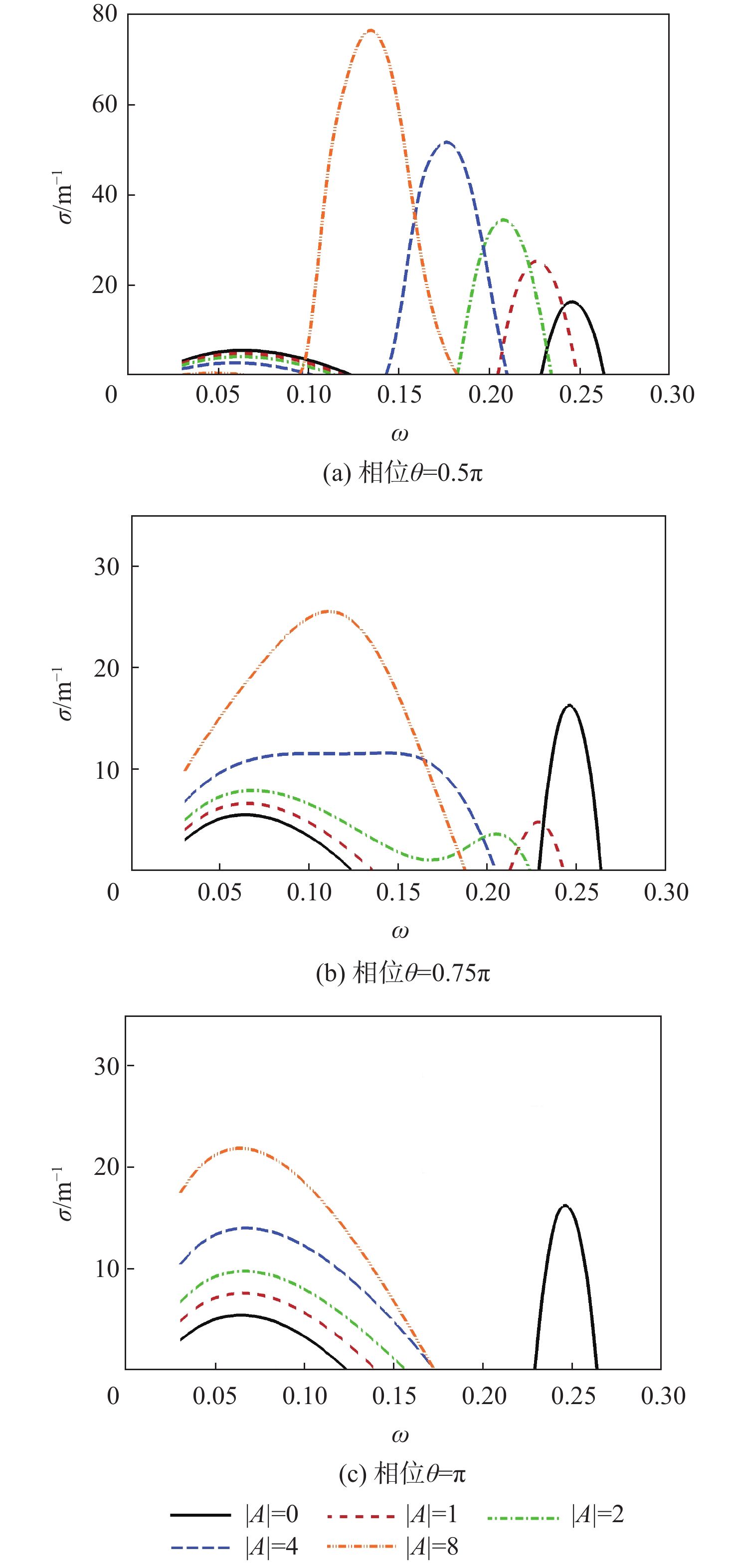
声学超表面抑制高速边界层内宽频不稳定模态研究
王蔚彰, 孔维萱, 严昊, 赵瑞
2023, 49(2): 388-396. doi: 10.13700/j.bh.1001-5965.2021.0235
摘要:

以声学超表面为研究对象,使用线性稳定性理论(LST),研究了声学超表面导纳相位与幅值对超声速平板边界层内宽频不稳定模态的影响规律。结果表明:当导纳相位$ \theta $接近0.5$ \text{π}$时,第1模态被抑制的同时第2模态会被激发,且在较低频率范围内导纳幅值的增大能够使第1模态更加稳定;当导纳相位$ \theta $接近$ \text{π} $时,可抑制第2模态但同时激发第1模态;整体上,导纳幅值越大,对不稳定模态的抑制或激发效果越明显。在此基础上,结合缝隙几何参数对导纳的影响,提出一种可实现性宽频抑制方案,通过分段设计声学超表面微结构的几何尺寸,实现了同时抑制第1模态和高频第2模态的目标,并使用$ {\mathrm{e}}^{N} $方法验证了转捩抑制效果。

横向联邦学习环境基于身份认证及密钥协商协议
任杰, 黎妹红, 杜晔, 尹李纶谨
2023, 49(2): 397-405. doi: 10.13700/j.bh.1001-5965.2021.0217
摘要:

近年来,联邦学习受到多个领域的广泛关注,而认证及会话密钥协商是保证通信实体之间安全传输、可靠通信的关键技术和基本的安全保障。根据横向联邦学习参与方数据特征,提出一种基于身份的无证书轻量级认证及密钥协商协议;参与方在密钥生成中心(KGC)完成注册后,利用公共参数计算各自的临时密钥和长期密钥完成认证、计算会话密钥;最后,采用扩展的CK(eCK)模型对所提协议进行安全性证明。性能分析表明:所提协议在计算性能和通信开销方面可以有效地控制成本,适用于单服务器下横向联邦学习的训练环境。

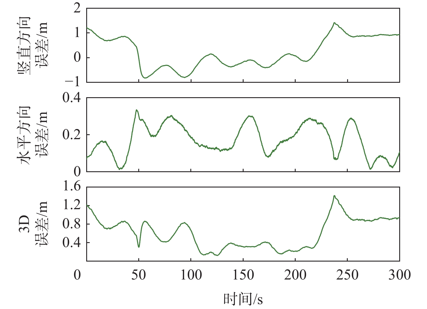
基于自适应噪声方差的卫星定位故障检测法
陈含智, 孙蕊, 邱明, 毛继志, 胡浩亮, 张立东
2023, 49(2): 406-421. doi: 10.13700/j.bh.1001-5965.2021.0222
摘要:

不同观测环境的实际观测噪声可能存在较大差别,因此,固定的噪声方差矩阵可能使基于卡尔曼滤波故障检测法的故障检测效果下降。对此,提出自适应噪声方差的卫星定位故障检测算法,利用滑动窗内的历史新息实时估计观测噪声方差矩阵,在此基础上构建故障检测量与识别量对故障进行检测与识别,利用不含故障的新息更新状态向量并解算出定位结果。实验结果表明:所提算法在静态模式下,可100%检测和识别的最小单阶跃故障为3 m,对持续时间为100 s、斜坡故障增长速率为0.2 m/s的斜坡故障识别比率为51.4%,可100%检测和识别的最小多故障为4 m;在动态模式下,可100%检测和识别的最小单阶跃故障为10 m,对持续时间为200 s、斜坡故障增长速率为0.2 m/s的斜坡故障识别比率为66.25%,可100%检测和识别的最小多故障为12 m。所提算法性能优于基于最小二乘和卡尔曼滤波的故障检测法。

火星进入舱配平翼机构展开冲击动力学分析
杨智杰, 王刚, 赵瑞杰, 王春洁, 赵军鹏
2023, 49(2): 422-429. doi: 10.13700/j.bh.1001-5965.2021.0234
摘要:

在着陆巡视器进入火星大气的过程中,配平翼机构会根据指令由收拢状态展开,并在到达指定位置后锁定,进而将进入舱配平攻角降至合理范围内,因此,其展开动力学性能对后续任务的成败至关重要。以配平翼机构功能的顺利实现为背景,研究复合材料构件的冲击动力学分析方法,建立了其有限元分析模型并基于隐式动力学算法对其展开过程进行了仿真。通过与地面试验结果对比,验证了展开动力学分析模型的正确性。在此基础上,对配平翼机构进入火星大气过程中的2种气动载荷工况下的展开过程进行了分析;基于Hashin理论对碳纤维蒙皮翼板的强度进行了校核,在2种气动载荷工况下各铺层的纤维拉伸、纤维压缩、基体拉伸及基体压缩4种失效模式所对应的失效因子均处于安全范围。可对类似机构的展开冲击问题研究提供参考。

基于Transformer模型的滚动轴承剩余使用寿命预测方法
周哲韬, 刘路, 宋晓, 陈凯
2023, 49(2): 430-443. doi: 10.13700/j.bh.1001-5965.2021.0247
摘要:

准确的滚动轴承剩余使用寿命(RUL)预测对保证机械安全运行和减小维修损失起着至关重要的作用。为提高滚动轴承RUL预测准确率,提出一种基于Transformer模型的轴承RUL预测方法,充分利用其自注意力机制与编码器-解码器结构的优势,解决轴承RUL预测中序列过长而导致的记忆力退化问题,挖掘出输入特征与轴承RUL之间复杂映射关系。同时,采用三角函数变换与累积变换来修正输入特征的单调性与趋势性,使其能更好地表征滚动轴承的退化过程。在PHM2012数据集上的实验结果表明:所提方法相比于对比方法平均绝对误差分别降低了9.25%、28.63%、34.14%,平均得分分别提高了2.78%、19.79%、29.38%;在XJTU-SY数据集上的实验结果表明,所提方法相比于对比方法均方根误差降低了17.4%,平均得分提高了18.6%,进一步证明了其可行性与优越性。

智能化舰船要害检测、轨迹预测与位姿估计算法
李晨瑄, 李湉雨, 李梓正, 曾维贵, 胥辉旗
2023, 49(2): 444-456. doi: 10.13700/j.bh.1001-5965.2021.0253
摘要:

准确检测与打击舰船要害部位可有效提升反舰导弹毁伤效能。针对舰船要害部位检测精度低、导引误差解算精度不足等问题,提出基于深度学习的舰船要害关键点检测、轨迹预测与导引头位姿估计算法。融合深层语义信息与浅层定位信息,采用SoftPool池化保留细粒度特征,提升多角度多尺度舰船要害部位检测精度;将关键点检测结果与舰船空间结构建立映射,解算导引头三维位姿;引入长短期记忆网络挖掘要害打击点时空特征,实现多尺度舰船要害动态轨迹预测。实验结果表明:所提算法对舰船要害部位检测与轨迹预测精度高,导引头位姿估计结果较准确,满足自主突防视角反舰导弹对复杂海战场的态势感知需求。

FBMC/OQAM系统中改进的峰均比抑制方法
李磊, 薛伦生, 陈西宏, 邹兵
2023, 49(2): 457-463. doi: 10.13700/j.bh.1001-5965.2021.0254
摘要:

针对偏移正交幅度调制的滤波器组多载波(FBMC-OQAM)系统中峰值平均功率比(PAPR)过高会引起失真且对信道估计性能造成影响的缺点,提出了一种基于相位旋转的干扰消除法(ICM-P)。该方法产生不同的相位序列,与传输数据相乘得到多组数据序列,分别计算其PAPR,并选择PAPR最低的一组进行传输。仿真验证与分析表明:所提方法能有效降低系统过高的峰值平均功率比,误码率不高,且信道估计性能较原ICM方法没有明显下降。

基于滑动截获和信号相关的对流层散射频谱感知
米新平, 陈西宏, 刘强, 曹宇飞, 张爽, 宋新成
2023, 49(2): 464-471. doi: 10.13700/j.bh.1001-5965.2021.0255
摘要:

为提高对流层散射频谱感知的性能,提出了适应对流层散射多径衰落信道的频谱感知方案。针对对流层散射频谱感知性能低下的问题,在分集接收的基础上,分析对流层散射信道的时域扩散特性,提出滑动截获的方式截获信号,计算其最佳截获长度。同时,为降低噪声对检测性能的影响,利用信号的相关性,求出各截获窗内信号的相关矩阵,构造统计量,分别推导在Nakagami-m衰落信道模型下不同分集数时的检测概率和检测门限。通过仿真实验分析,验证在不同条件下所提频谱感知算法的性能,与传统算法相比,所提算法在对流层散射信道中适应性更好、性能更强。

多应力耦合条件下氧气浓缩器退化建模
潘晋新, 景博, 焦晓璇, 王生龙, 黄崧琳, 方玲
2023, 49(2): 472-481. doi: 10.13700/j.bh.1001-5965.2021.0260
摘要:

耦合应力条件下的建模是故障预测与健康管理领域的难点问题。以氧气浓缩器地面试验退化建模为例,针对试验中2种应力线性相关且耦合作用于氧气浓缩器退化的问题,提出了一种机理模型与数据驱动联合的偏微分方程建模方法。基于退化机理分析建立偏微分方程的基本形式,利用数据驱动的方法确定方程具体参数。通过偏微分方程建模,对2种应力进行解耦分析,确定引气湿度的增加会加快氧气浓缩器的退化速率,发现随着氧气浓缩器工作性能的退化,氧气浓缩器氧分压对引气压力的敏感性减弱,确定氧分压随引气压力变化斜率为健康因子。通过卡尔曼滤波器模式识别,确定氧气浓缩器退化可分为平稳阶段与退化阶段,与实际服役环境下氧气浓缩器退化数据对比,验证了氧气浓缩器两阶段退化特性。

飞翼布局飞行器结构拓扑优化设计
王一为, 雷锐午, 汪辉
2023, 49(2): 482-490. doi: 10.13700/j.bh.1001-5965.2021.0262
摘要:

飞翼布局飞行器由于具有气动效率高的优势,将成为未来航空飞行器发展的主流方向,然而结构质量限制了其性能的进一步提升,结构优化是实现结构减重的重要技术。以飞翼布局飞行器内部结构为研究对象,建立拓扑优化模型,以柔顺度作为目标函数,探究飞翼布局飞行器全机内部结构的最优布置方式,分析弯曲梁构件在飞翼布局飞行器结构优化中的作用和减重机制,根据拓扑优化结果建立重构模型,同时依据Boeing第二代结构设计建立标准模型,使用尺寸优化评估重构模型相较于标准模型的减重效果。结果表明:在等柔顺度时,重构模型相比标准模型质量减少14.53%;在等质量时,重构模型相比标准模型全机柔顺度降低47.90%,并减少了44.87%的z向最大位移,拓扑优化减重和增加刚度效果显著,验证了弯曲梁构件的减重作用。研究结果可为飞翼布局飞行器结构减重优化奠定基础,建立的优化评估机制可为飞翼布局飞行器的内部结构设计提供参考。

一种基于伪影估计的低剂量CT图像降噪方法
韩兴隆, 上官宏, 张雄, 韩泽芳, 崔学英, 王安红
2023, 49(2): 491-502. doi: 10.13700/j.bh.1001-5965.2021.0263
摘要:

低剂量CT(LDCT)包含丰富组织结构、病理信息和分布极其不规律的噪声伪影,这2种信息的幅度值分布规律相似。因此,LDCT降噪任务易出现特征提取不充分、网络对噪声伪影方向特性敏感度不足及降噪结果过度平滑等问题。为此,应用U-Net网络作为去噪网络的基本模型,设计了一种基于伪影估计的LDCT降噪网络。所提网络模型主要包括主特征提取网络和方向敏感注意力子网络2部分。为充分利用不同尺度特征之间的差异性,提高特征提取有效性,在编解码U-Net结构基础上增加了一个稠密特征增强模块;为提高降噪网络对噪声伪影方向特征的敏感度,设计了一个方向敏感注意力子网络;为保障网络训练稳定性,设计了多种损失函数来共同优化网络训练过程。实验结果表明:与目前主流的LDCT降噪方法相比,所提方法降噪结果的视觉效果与量化指标均表现最佳。

常见问答