留言板

尊敬的读者、作者、审稿人, 关于本刊的投稿、审稿、编辑和出版的任何问题, 您可以本页添加留言。我们将尽快给您答复。谢谢您的支持!

姓名
邮箱
手机号码
标题
留言内容
验证码

2020年  第46卷  第2期

显示方式:
2020年, 第46卷, 第2期
icon下载 (25262) 976 icon预览
论文
含内热源的多孔方腔自然对流非正交MRT-LBM模拟
张莹, 包进, 过海龙, 连小龙, 黄逸宸, 李培生
2020, 46(2): 241-251. doi: 10.13700/j.bh.1001-5965.2019.0218
摘要:

为了增强多孔方腔内流体流动与传热效果,采用非正交多松弛格子Boltzmann方法(MRT-LBM)对含有内热源的多孔方腔自然对流传热现象进行了数值模拟。研究了不同冷源布置方案(Scheme A~Scheme F)、内热源结构形式(Case 1、Case 2、Case 3)、内热源位置(ab)、Darcy数、Rayleigh数等对多孔方腔内流体流动与传热的影响。计算结果表明:冷源布置方案对腔内流体流动与传热具有重要影响,当冷源左右对称布置时,腔内温度场及流场亦对称分布;在高Rayleigh数下采用Scheme A的双上部冷源布置方案能明显提高腔内的传热强度;内热源的形状对腔内对流传热影响很大,高Rayleigh数下,Case 3的布置方式更好。内热源的位置ab对腔内的传热影响明显,提出了热壁面平均Nusselt数与位置a的拟合关系式,存在最佳的位置aa=0.25),使得腔内的对流传热最强;热壁面平均Nusselt数亦随b值变化表现出特定的变化规律。随着b值的增加,热壁面平均Nusselt数呈现先增后减再增的趋势。

空间多体系统轨道姿态及机械臂一体化控制
魏春岭, 袁泉, 张军, 王梦菲
2020, 46(2): 252-258. doi: 10.13700/j.bh.1001-5965.2019.0204
摘要:

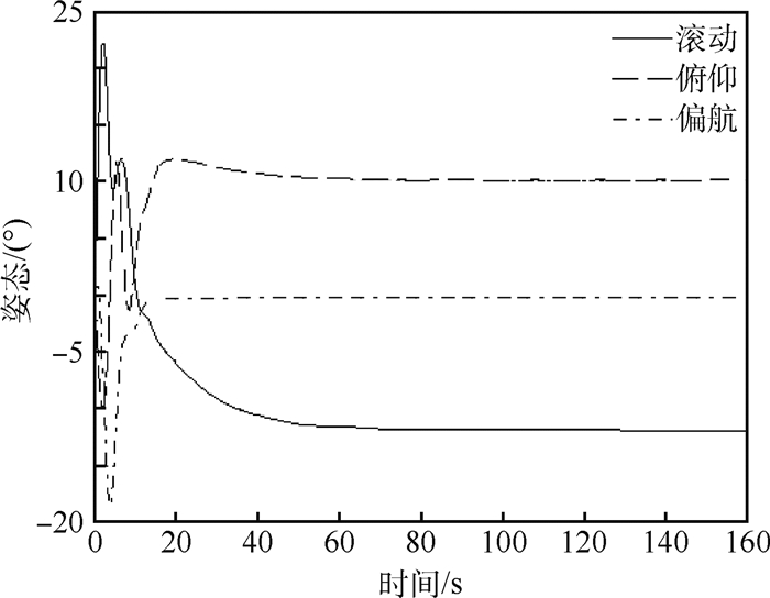
针对在轨服务等新型任务对航天器快速机动能力的大幅提高,研究了卫星基座和机械臂构成的空间多体系统的轨道、姿态和机械臂的一体化控制设计问题。首先,建立了空间多体系统的动力学模型;然后,基于退步控制思想,设计了卫星基座、姿态与机械臂一体化控制器,并证明了系统的稳定性,由于利用了空间多体系统的所有自由度,相比传统的基座停控或只控制基座姿态而轨道停轨的方法,极大地提高了系统的适应能力,可同时实现空间大范围的轨道转移、姿态机动,同时利用机械臂对目标进行精确操作控制。通过建立完整的空间多体系统仿真模型,对控制器进行仿真,达到了同时进行轨道、姿态及机械臂末端机动的控制目的,并验证了所提方法的有效性。

多级次孔结构ZnMn2O4微球负极的研究
任衍彪, 张世超, 张临财, 何小武, 赵金光
2020, 46(2): 259-265. doi: 10.13700/j.bh.1001-5965.2019.0190
摘要:

利用水热法合成了Zn-Mn氧化物前驱体,在温度400、500、600、700℃下,空气气氛中煅烧前驱体,以此来制备纳米片组装成的分级多孔结构的ZnMn2O4微球。其中,在500℃空气中煅烧前驱体制备的ZnMn2O4(ZMO-500)微球具有丰富的多级次孔结构,其作为锂离子电池负极材料,在500 mA/g的电流密度下,ZMO-500微球负极材料循环500次以后仍具有1 132 mAh/g高的放电比容量。ZMO-500负极材料优异的电化学性能得益于其分级多孔结构,不仅可以增加电极和电解质之间的接触面积以促进锂离子的迁移,而且还为循环过程中电极体积膨胀提供足够的缓冲空间。

面向低视角场面监视的移动目标速度测量
张天慈, 丁萌, 钱小燕, 左洪福
2020, 46(2): 266-273. doi: 10.13700/j.bh.1001-5965.2019.0234
摘要:

为构建有效的机场场面视觉监视系统,提出了一种基于特征点持续跟踪与分析的移动目标速度测量方法。首先,利用场面几何特征对摄像机进行标定;然后,基于光流场对图像运动区域的特征点进行持续跟踪,在此基础上通过特征点轨迹聚类区分不同移动目标;最后,根据特征点高度与运动距离完成速度测量。所提方法能够利用机场场面摄像机获取的低视角单目视频图像,对移动目标的运动速度进行准确测量。基于广州白云国际机场的场面运行视频进行了仿真分析,验证了所提方法在低视角速度测量方面的可行性与优势。

基于三维点云模型的空间目标光学图像生成技术
陆婷婷, 李潇, 张尧, 阎岩, 杨卫东
2020, 46(2): 274-286. doi: 10.13700/j.bh.1001-5965.2019.0189
摘要:

空间探测任务中大量先验图像数据的缺乏,使得基于光学图像的态势感知和导航算法无法被有效定量测试和评估。针对此问题,提出了一种基于三维点云模型和射影变换基本理论的空间目标光学图像生成方法。在完成对空间目标三维点云模型和仿真摄像机模型构建基础之上,利用射影变换基本理论依次计算像平面所有像素点与空间目标三维点云模型空间点的对应关系,并基于Lambertian漫反射模型和相对应空间目标三维点云模型空间点的光照方向,得到所有像素点的灰度值,从而生成给定空间目标的光学图像。大量仿真实验表明:与传统的基于解析模型的仿真图像生成方法相比,所提的空间目标光学图像生成技术能够以更快的速度生成更加真实的仿真图像,且生成的仿真图像可以广泛应用于椭圆拟合、陨石坑检测、着陆器视觉导航、航天器交会对接、空间目标跟踪等典型空间应用算法的定性与定量评估。

直接再入大气的月地转移轨道设计
本立言, 严玲玲, 谢祥华, 张锐, 王国际
2020, 46(2): 287-293. doi: 10.13700/j.bh.1001-5965.2019.0194
摘要:

针对从月球停泊轨道出发直接再入大气的月地转移轨道设计问题,提出了一种数值求解算法。该算法由初值设计和精确解求解两部分组成。首先,根据轨道设计的相应约束,采用伪状态理论,通过简单迭代求解高精度的初值。然后,考虑精确的动力学模型,通过数值积分计算真实轨道和状态转移矩阵,并利用微分修正方法搜索精确解。该算法通过设计高精度的初值,降低了月地转移轨道的设计难度。数值仿真表明:该算法求解效率高,具有良好的鲁棒性。

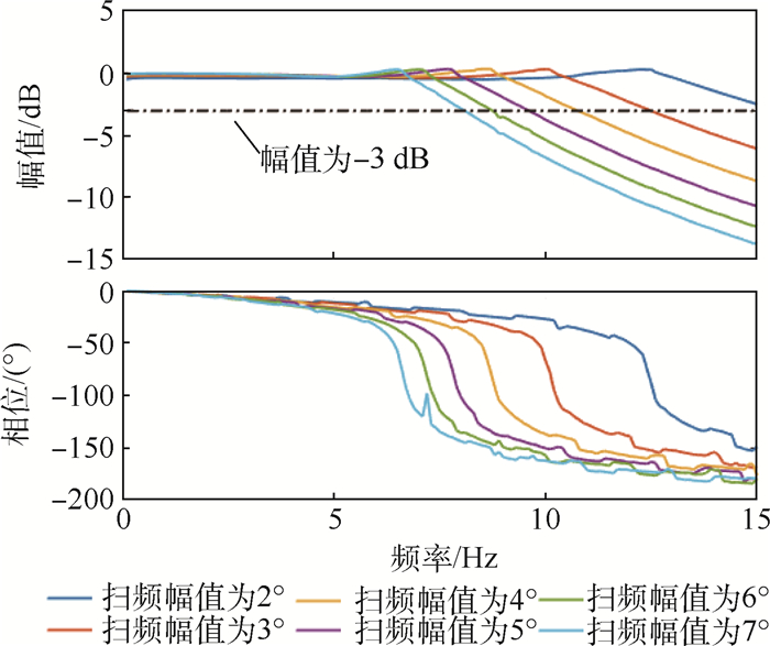
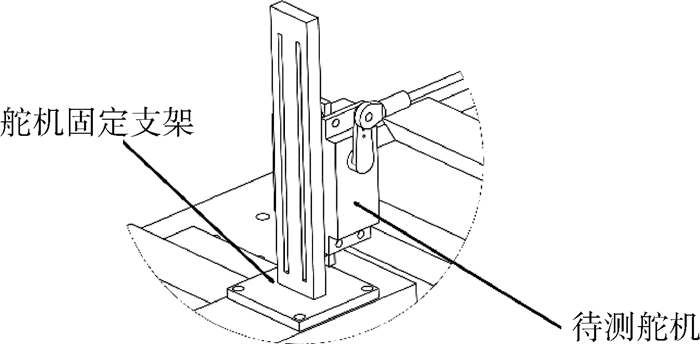
航模舵机的动态特性测试与系统辨识
孙玉凯, 张仁嘉, 吴志刚, 杨超, 杨阳
2020, 46(2): 294-303. doi: 10.13700/j.bh.1001-5965.2019.0202
摘要:

航模飞机受机体质量、机体空间和设计成本的限制,选用的小型航模舵机大多缺乏相应的频响特性指标,须在使用前完成频响特性测试。考虑舵面惯性载荷和气动载荷对舵机特性的影响,设计了舵机频响特性测试平台,可对大部分航模舵机和小型伺服电机进行空载或带载测试。针对常用的三款舵机进行频响特性测试,并采用子空间辨识获得舵机准确的数学模型。通过三款舵机频响特性对比得出,即使舵机的标称扭矩满足使用要求,负载增加也会改变舵机的幅频特性;舵机中存在的时滞时长随负载变化。而航模舵机常用的50 Hz PWM信号,也限制了舵机的带宽。

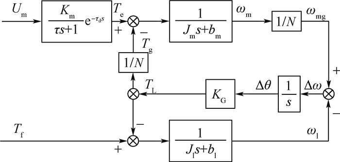
考虑绳阻尼的绳系并联机器人动力学特性分析
彭苗娇, 吴惠松, 林麒, 周凡桂, 柳汀, 王晓光
2020, 46(2): 304-313. doi: 10.13700/j.bh.1001-5965.2019.0205
摘要:

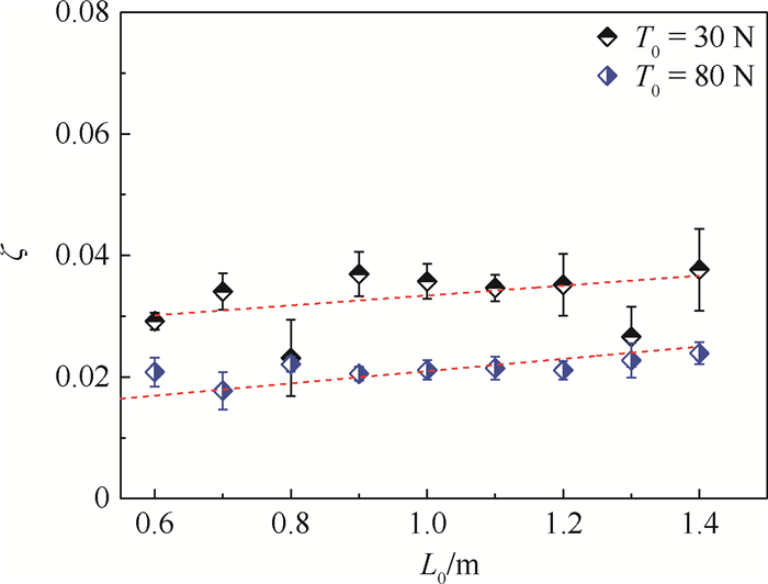
针对应用于风洞试验模型支撑的绳系并联机器人的设计需求,采用实验和理论建模相结合的方法,研究绳阻尼对绳系并联机器人动力学特性的影响。首先,为了准确地定量描述绳阻尼,设计了一套测量绳阻尼的实验装置,通过实验得到了不同参数下的绳阻尼比;其次,考虑了绳阻尼,对绳张力进行建模,并提出了考虑绳阻尼的绳系并联机器人的动力学建模方法;最后,分析了绳阻尼对绳系并联机器人动力学特性的影响。结果表明:绳阻尼对绳系并联机器人动力学响应的影响主要体现在响应幅值上,绳直径越大,绳阻尼对绳系并联机器人动力学响应的减振作用越明显。当绳阻尼系数大于0.6 N·s/m时,不论绳直径粗细如何,绳阻尼对绳系并联机器人动力学特性的影响不能忽略。研究结果可为绳系并联机器人的设计提供理论指导。

有向通信拓扑和时延条件下的无人机集群时变编队控制
何吕龙, 张佳强, 侯岳奇, 梁晓龙, 柏鹏
2020, 46(2): 314-323. doi: 10.13700/j.bh.1001-5965.2019.0206
摘要:

针对无人机(UAV)集群在有向通信拓扑和存在通信时延条件下的时变编队控制问题进行了研究。建立了无人机集群二阶离散时间系统模型,基于无人机自身实时信息和相邻无人机带通信时延的状态信息,设计了分布式编队控制协议。通过理论分析,得到了无人机集群能够实现时变编队的充要条件,给出了可行的期望编队的表达式。在集群通信拓扑有生成树的条件下,分析了控制协议中待定参数和状态更新周期满足的耦合约束条件,并给出了参数设计的流程。仿真结果表明:即使在较大的通信时延下,所设计的控制协议也能实现无人机集群时变编队控制,验证了理论分析的正确性和有效性。

基于矩独立重要度的电路系统容错设计方法
卢震旦, 陈云霞, 金毅, 何小斌
2020, 46(2): 324-330. doi: 10.13700/j.bh.1001-5965.2019.0233
摘要:

电路系统在运行过程中不可避免会发生失效,而容错设计可以有效降低失效风险。传统的电路系统容错方法主要是根据设计人员经验认知对电路系统进行分析改进,但是通常难以准确确定对系统性能影响显著的重要元器件。因此,提出了一种基于重要度分析的电路系统容错设计方法。首先,提出了电路系统矩独立重要度定义与计算方法,以对电路系统中各元器件的矩独立重要度进行计算和排序;然后,给出了冗余系数与冗余次数的定量关系,并提出重要度-冗余系数的映射准则,以此为基础即可实现电路系统的最佳容错设计;最后,以某空间电源稳压器电路为案例,验证了所提方法的有效性。所提基于矩独立重要度的电路系统容错设计方法对改进电路系统容错能力、提高电路系统可靠性有重要意义。

航空发动机传感器与执行机构信息重构算法
孙浩, 郭迎清, 赵万里
2020, 46(2): 331-339. doi: 10.13700/j.bh.1001-5965.2019.0240
摘要:

为实现航空发动机传感器与执行结构在故障情形下的故障幅值估计及信息重构,缓解故障对发动机性能的影响,在已有故障检测和故障隔离算法的基础上,提出一种基于修正的广义似然比(GLR)方法的信息重构算法。针对某型民用涡扇发动机的传感器与执行机构发生恒偏差与漂移故障的情形下进行了仿真验证。结果表明:基于修正的GLR方法对传感器和执行机构恒偏差和漂移故障的故障幅值估计具有较高的精度,两种故障情形下故障幅值的估计值的均方根误差均不超过0.005,故障部件信息重构后故障对系统性能的影响得到有效缓解。

具有控制时滞的电动加载系统迭代学习复合控制
代明光, 齐蓉
2020, 46(2): 340-349. doi: 10.13700/j.bh.1001-5965.2019.0249
摘要:

针对无人机前轮转向操纵系统中机电作动器的负载模拟需要,设计了一种用于复杂交变载荷模拟的电动加载系统。为了降低电动加载系统的控制时滞和多余力矩对系统精度的影响,提出了一种PID控制与迭代学习控制相结合的加载力矩复合控制策略。介绍了电动加载系统的主要组件并给出其数学模型,分析了电动加载系统多余力矩产生的原因,提出了系统控制延时时间的测量方法,设计了基于迭代学习控制与传统PID控制的复合控制器,分析了迭代学习控制器的收敛条件,分别通过多余力矩抑制和动态力矩加载实验验证了控制策略的有效性。与传统的反馈控制加前馈补偿方法相比,所提方法能够消除控制时滞和多余力矩对加载系统的影响,保证电动加载系统的力矩加载精度。

重叠网格中隐式装配策略的改进
宣传伟, 韩景龙
2020, 46(2): 350-358. doi: 10.13700/j.bh.1001-5965.2019.0260
摘要:

作为重叠网格技术的重要组成部分,隐式装配没有显式的“挖洞”过程,仅需在搜索贡献单元的同时通过对比不同单元的品质来分类单元。通过对传统隐式装配过程进行改进,提出了一种更高效的隐式装配策略,减少了贡献单元的搜索次数;同时,提出了一种基于笛卡儿网格映射的局部贡献单元搜索法,提高了网格装配效率。首先,针对每一个子网格,在计算其到自身物面的最短物面距离的同时也计算到其他所有物面的最短物面距离;然后,通过比较同一单元到不同物面的最短物面距离来控制洞边界的位置;最后,仅对插值单元进行局部的贡献单元搜索,避免了针对所有单元进行全局贡献单元搜索的过程。通过3个典型复杂流动算例验证了所提方法的准确性与高效性。

结冰风洞实验中的相似理论
田永强, 蔡晋生, 张正科, 杨磊磊
2020, 46(2): 359-370. doi: 10.13700/j.bh.1001-5965.2019.0340
摘要:

相似性是风洞实验的一项基本要求,结冰风洞实验也不例外。为了系统性地研究结冰风洞实验中的相似性问题,首先,通过对飞行结冰问题进行分析和总结,找出了其中涉及的各种变量,并分析了其物理意义和量纲。其次,采用相似理论分析方法对结冰问题进行分析,得到了若干无量纲参数,并分析了这些无量纲参数的意义。再次,通过忽略一些不重要的影响因素,减少无量纲参数,并对飞行结冰中涉及的影响因素进行了合理地简化,最终得出了结冰实验的相似准则。最后,结合结冰风洞的运行参数,按照相似准则的要求得到了缩比模型结冰实验运行参数选取方法,并采用CFD方法进行了验证。结果表明:得到的缩比模型结冰实验运行参数选取方法是可行的。

基于离散正弦调频变换的中段多微动目标分离
陈帅, 冯存前, 张蓉
2020, 46(2): 371-378. doi: 10.13700/j.bh.1001-5965.2019.0128
摘要:

弹道导弹在飞行中段形成目标群,窄带雷达无法从距离上将弹道目标分离。为使窄带雷达具备分离弹道目标的能力,对弹道目标的微动特性进行研究。对振动目标的信号回波进行建模,分析其在离散正弦调频变换(DSFMT)中的聚敛特性。利用多分量信号在变换域中的聚敛特性,实现不同信号分量的分离,并估计出目标的振动频率。仿真实验表明,在信噪比-10 dB下,多个振动目标散射点的窄带雷达回波在DSFMT域上具有明显的聚敛特性,分辨出了不同的振动散射点,振动频率估计均方根误差小于-2.5 dB。

机械振动对平面触觉感知特性的影响
宋瑞, 孙晓颖, 刘国红
2020, 46(2): 379-387. doi: 10.13700/j.bh.1001-5965.2019.0193
摘要:

触摸屏上的触觉再现技术增加了人机交互的真实感和丰富性。在触觉再现中,掩蔽效应改变了触觉感知特性(绝对阈值和分辨阈值),影响了触觉渲染模型的准确性及触觉再现效果的真实性。基于机械振动、空气压膜与静电力三元融合的触觉再现装置,采用“三下一上”的实验方法,研究5种不同幅度的机械振动触觉反馈作为掩蔽刺激时,空气压膜触觉反馈感知特性的变化。与静电力触觉反馈作为目标刺激时感知特性的变化进行比较,得出如下结论:在绝对阈值方面,当机械振动驱动电压幅度由0 V增加到100 V时,空气压膜绝对阈值由34.30 V增加到46.41 V,增加了35.31%,增长幅度为静电力绝对阈值增长幅度的14.95%;在分辨阈值方面,当机械振动驱动电压幅度由0 V增加到100 V时,空气压膜分辨阈值在(15.21±0.67)V范围内浮动,变化趋势与静电力触觉反馈基本相同。

基于改进GRA-TOPSIS的空战威胁评估
奚之飞, 徐安, 寇英信, 李战武, 杨爱武
2020, 46(2): 388-397. doi: 10.13700/j.bh.1001-5965.2019.0207
摘要:

针对在确定空战威胁评估指标权重时,未考虑指标间的耦合性以及客观赋权法不能从逻辑视角体现指标相对评价对象真正的重要程度的问题,提出了一种基于灰色关联度、灰色关联深度的极大熵模型初步确定权值,再根据指标间灰色关联度以及确定的解耦阈值修正权值的方法。为了克服灰色关联分析法(GRA)和理想点接近法(TOPSIS)的缺点,提出了一种基于GRA-TOPSIS的目标威胁评估方法。首先,通过实例对比分析了指标采用数学模型与模糊处理后,对目标威胁评估结果的影响;其次,对比分析了采用GRA、TOPSIS以及GRA-TOPSIS、数学模型得出的目标威胁评估结果;最后,考虑不同决策者的主观偏好,得出不同的目标威胁评估结果。通过仿真验证了所提方法的有效性以及科学性。

两阶段变阈值关联竞争退化建模
王乾元, 袁宏杰, 徐如远
2020, 46(2): 398-406. doi: 10.13700/j.bh.1001-5965.2019.0215
摘要:

机电产品在使用过程中,存在磨损退化失效和环境引起的冲击失效。通常认为自身退化与冲击失效是相互独立的或存在冲击造成自身退化突增的局部关联现象。本文考虑冲击会影响退化过程,同时退化也会影响冲击,当自身退化量达到一定值后不仅会影响冲击失效的失效率,还会使产品冲击失效阈值降低,造成产品的抗冲击能力下降,使产品的冲击失效过程呈现两阶段现象,在自身退化与冲击失效相互关联相互竞争的情况下,建立了失效率与失效阈值改变的可靠性模型,解决了传统竞争退化建模考虑因素不完整的问题。

机器人旋转超声钻削铝合金叠层构件毛刺特性
胡力闯, 郑侃, 董松, 薛枫, 束静, 苗迪迪
2020, 46(2): 407-413. doi: 10.13700/j.bh.1001-5965.2019.0221
摘要:

针对铝合金叠层构件机器人制孔容易产生钻削毛刺,严重影响飞机装配精度和效率等问题,提出基于弱刚度环境下机器人旋转超声制孔毛刺高度的计算方法。首先,通过实验验证了高频的振动冲击对毛刺高度的影响规律,建立了机器人旋转超声钻削铝合金叠层构件的钻削力经验公式。然后,结合经典薄板弯曲理论和能量法,分析了超声振动及钻削位置刚性对机器人钻削铝合金叠层板毛刺形成的影响机制。实验结果显示:所提计算方法的相对误差在13%以内,具有较高的精度。

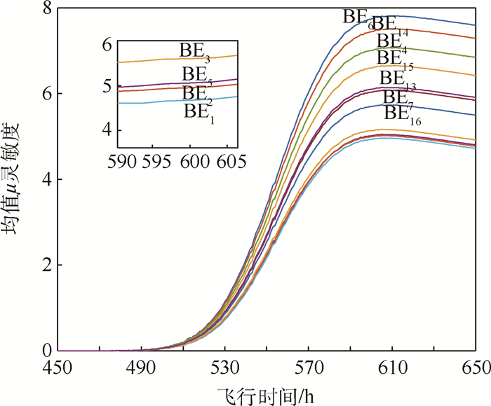
不确定条件下航空不安全事件灵敏度分析的Monte-Carlo方法
陈浩然, 崔利杰, 任博, 张贾奎
2020, 46(2): 414-421. doi: 10.13700/j.bh.1001-5965.2019.0242
摘要:

为解决不确定条件下航空不安全事件灵敏度分析的难题,基于Bow-tie模型提出了多模式下航空安全性指标及其灵敏度测度,以轮胎爆破事件为例,采用Monte-Carlo方法计算得到安全性指标、基本事件的全局灵敏度及其分布参数的局部灵敏度。根据轮胎爆破事件仿真结果,两类灵敏度指标均随着飞行时间的增加而发生变化,尤其是在500~600 h时变化最为显著,但灵敏度重要性排序保持不变;基本事件类型是影响灵敏度的一个主要因素,电子类基本事件灵敏度测度远远小于机械类基本事件;同类型基本事件中,平均故障间隔时间不是主导因素,灵敏度大小还与失效传递的逻辑关系密切相关。算例结果表明:航空安全水平随着飞行时间逐步下降,应重点关注飞行时间为500~600 h时航空组件失效导致事故发生的可能性;航空组件的灵敏度重要性不会随着飞行时间变化,提高灵敏度较高的基本事件的可靠性水平是防范航空事故的关键。

近程动态范围激光雷达测距系统设计及误差分析
王皓, 罗沛, 李小路
2020, 46(2): 422-429. doi: 10.13700/j.bh.1001-5965.2019.0244
摘要:

针对脉冲激光雷达测距精度受限于距离动态变化导致的行走误差和时刻抖动误差的问题,设计了一种基于自动增益控制(AGC)技术及恒比定时鉴别(CFD)技术的激光雷达测距系统,可适应进程动态范围的测量目标,并提高测距精度。激光雷达测距系统在10~100 m的静态测距实验中,测距精度达到厘米级别。在动态三维扫描实验中,室内测量得到11.4~31.2 m范围内靶标的平面拟合均方根误差为2.05~4.35 cm,室外测量得到距离15.97 m处目标平面拟合均方根误差为3.54 cm。

电磁层析成像中传感器阵列的优化设置
岳远里, 刘泽, 武建利, 苗宇, 刘向龙, 王嘉伟
2020, 46(2): 430-438. doi: 10.13700/j.bh.1001-5965.2019.0246
摘要:

电磁层析成像(EMT)中传感器阵列的设置决定了获得的感应电压测量值的数量,对成像的效果有着重要的影响。为了探究传感器设置对成像质量的影响规律,通过改变传感器阵列中线圈的数量及相对位置对传感器阵列进行优化。在COMSOL Multi-physics中建立不同线圈数量的传感器阵列模型,采用不同的成像算法进行成像并比较成像效果,发现适当增加传感器的个数可以提高成像质量,但增加到一定数量则成像效果下降;同时在传感器阵列固定的情况下将传感器阵列按照一定规则进行旋转,发现旋转之后叠加的复合成像效果要优于未旋转的成像效果。该结果对下一步EMT系统设计中传感器阵列的设置具有一定的指导意义。

燃料电池无人机动力系统半实物仿真
戴月领, 刘莉, 张晓辉
2020, 46(2): 439-446. doi: 10.13700/j.bh.1001-5965.2019.0250
摘要:

针对燃料电池无人机(UAV)动力系统飞行测试困难的问题,为了提升动力系统设计与开发水平,以燃料电池、锂电池、DC/DC功率转换器、电子调速器和直流无刷电机组成的动力系统作为实物介入,无人机动力学、自动驾驶仪、螺旋桨、飞行环境等数学模型为软件部分,无人机的油门信号控制及飞行过程中电机的载荷等为模拟仿真部分,以信号发生器、测功机及扭矩加载装置为软硬件接口,设计并搭建了燃料电池无人机动力系统半实物(HIL)仿真平台。面向典型任务剖面,基于状态机管理策略,对燃料电池/锂电池电动无人机的动力系统进行了半实物仿真研究,分析了半实物仿真平台和管理策略的有效性和实用性。

纤维增强型软体夹持器变形及末端接触力
顾苏程, 王保兴, 刘俊辰, 李巍, 曹毅
2020, 46(2): 447-456. doi: 10.13700/j.bh.1001-5965.2019.0251
摘要:

针对目前软体机器人缺乏变形和接触力方面理论研究的问题,以软体夹持器为研究对象,开展了纤维增强型软体夹持器变形及末端接触力的研究。首先设计了气动软体夹持器,该夹持器由纤维增强型单向弯曲驱动器、接触气囊以及单元的连接装置组成;其次基于Yeoh模型、Neo-Hookean模型分别建立了弯曲驱动器驱动压强与弯曲变形圆心角的非线性数学模型和弯曲驱动器末端接触力理论模型;然后开展了软体夹持器变形和末端接触力的仿真及实验,结果证明了理论模型的正确性;最后进行了纤维增强结构对软体夹持器变形和末端接触力影响的研究,实验结果表明:纤维增强结构能大幅度提高软体夹持器的变形和末端接触力。上述研究为其他纤维增强型软体夹持器变形及末端接触力的研究提供了理论基础。

常见问答