留言板

尊敬的读者、作者、审稿人, 关于本刊的投稿、审稿、编辑和出版的任何问题, 您可以本页添加留言。我们将尽快给您答复。谢谢您的支持!

姓名
邮箱
手机号码
标题
留言内容
验证码

2018年  第44卷  第6期

显示方式:
2018年, 第44卷, 第6期
icon下载 (29310) 1053 icon预览
论文
基于卷积神经网络的手势动作雷达识别方法
王俊, 郑彤, 雷鹏, 张原, 樵明朗
2018, 44(6): 1117-1123. doi: 10.13700/j.bh.1001-5965.2017.0397
摘要:

随着手势动作识别技术在人机交互、生活娱乐及医疗服务等应用领域的逐步深入, 其对非接触、微光条件下的稳健测量与识别能力提出更高要求。针对该问题, 研究了一种基于线性调频连续波(LFMCW)雷达距离-多普勒(RD)信息和卷积神经网络(CNN)的典型手势动作识别方法。首先, 对于LFMCW雷达回波, 通过去斜、快时间域快速傅里叶变换和相干积累, 获取手势目标的二维RD像数据; 其次, 以RD像幅度矩阵作为CNN输入样本, 利用2层卷积与池化处理构建特征空间, 从而通过全连接与softmax分类器实现对手势动作的有效识别; 最后, 在此基础上, 采用24 GHz工业雷达传感器设计手势测量实验系统, 形成关于4种典型手势动作的LFMCW雷达回波数据库。实验结果表明, 将24 GHz LFMCW雷达回波RD处理与CNN结合能够实现对典型手势动作的有效识别。

基于FRFT域特征差异的压制干扰检测与分类算法
王国宏, 白杰, 张翔宇, 孙殿星
2018, 44(6): 1124-1132. doi: 10.13700/j.bh.1001-5965.2017.0423
摘要:

针对干信比未知情况下有源压制干扰分类识别结果可信度较低的问题, 提出了一种基于FRFT域特征差异的压制干扰检测与分类算法。首先, 通过FRFT域峰值阶次的序贯判决算法, 进行压制干扰的存在性检测, 以保证压制干扰分类识别在较高的干信比条件下进行; 然后, 在此基础上, 分别提取回波信号在FRFT域的极值阶次标准差和峰值阶次标准差作为分类识别特征量, 同时, 为避免硬判决造成的分类错误, 采用模糊判决的方法得到基于不同特征参数的分类识别结果; 最后, 按一定准则将2种分类识别结果进行融合, 以进一步提高分类识别正确率。仿真结果表明, 与现有压制干扰分类识别算法相比, 该算法较好地解决了分类识别结果可信度较低的问题, 同时具有较高的分类识别正确率。

新型单轴柔性铰链拓扑结构设计与柔度分析
邱丽芳, 陈海翔, 吴友炜
2018, 44(6): 1133-1140. doi: 10.13700/j.bh.1001-5965.2017.0388
摘要:

采用基于三维连续体拓扑优化理论的变密度法,以柔性铰链柔度比最大为目标,建立了单轴柔性铰链的拓扑优化模型。首先,借助OptiStruct软件设计出一种具有全新三维拓扑结构的单轴柔性铰链;其次,结合卡氏第二定理和能量法对该新型柔性铰链的转动性能进行理论分析,推导出该新型柔性铰链的柔度矩阵,通过16组实例的理论计算和有限元仿真分析,得到其相对误差在6.35%以内,验证了该新型柔性铰链柔度矩阵理论公式的正确性;最后,分析了具有相同切口轮廓的圆弧型柔性铰链和新型柔性铰链的柔度差异。结果表明:新型柔性铰链具有更大的柔度,其柔度性能提升300%。使用三维连续体拓扑优化方法,可为单轴柔性铰链的设计提供一个新思路。

Co和P掺杂对α-Fe2O3光电化学催化分解水的影响
朱珊, 俞有幸, 郝维昌
2018, 44(6): 1141-1146. doi: 10.13700/j.bh.1001-5965.2017.0444
摘要:

在众多光阳极材料中,纳米结构材料α-Fe2O3由于其光吸收显著、化学稳定性好、储量丰富等优势,被认为是最有前途的材料之一。利用水热法制备了具有良好光解水性能的Co和P掺杂α-Fe2O3纳米材料。经过掺杂后α-Fe2O3纳米材料仍为纳米棒状形貌,纳米棒的粒径增加。实验发现,Co掺杂α-Fe2O3制成的电极在标准光照射下的最大光生电流密度为0.453 mA/cm2,是未掺杂样品的20.6倍,P掺杂α-Fe2O3制成的电极在标准光照射下的最大光生电流密度为0.276 mA/cm2,是未掺杂样品的12.5倍,具备了高效光解水性能。同时通过SEM、TEM、XRD、UV-Vis和Mott-Schottky测试等方法,结合形貌与结构表征,研究了α-Fe2O3的光电化学分解水性能影响机理。

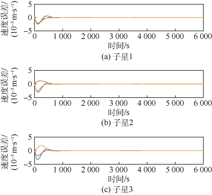
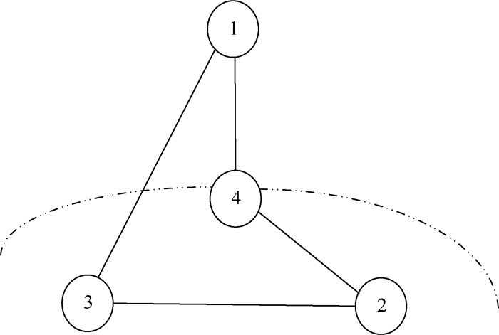
基于Cartwheel构型的微推力卫星高精度编队系统
杨博, 赵晓涛, 苗峻, 刘旭辉, 龙军
2018, 44(6): 1147-1155. doi: 10.13700/j.bh.1001-5965.2017.0463
摘要:

近距离协同工作的微推力器卫星编队能更好地完成高精度空天卫星编队任务。但摄动等干扰因素会导致编队卫星间保持特定的几何构型和相对运动关系发生不确定性变化,因此有必要设计一种编队构型和信息拓扑结构以实现卫星编队的长期高精度保持。同时微推力器的作用环境要求卫星编队系统更高的可靠性和快速性。为此,基于Cartwheel构型对微推力卫星编队系统进行了研究,设计了一种能够满足系统性能要求的拓扑网络结构,并据此对卫星编队构型进行修正。提出了基于粒子群优化(PSO)算法的在线轨迹优化算法,并将其应用于卫星编队保持控制系统之中,实现了高精度、低能耗的快速稳定控制。

结构输出响应概率密度估计中分数矩求解方法
李宝玉, 张磊刚, 师娇, 余雄庆
2018, 44(6): 1156-1163. doi: 10.13700/j.bh.1001-5965.2017.0664
摘要:

鉴于概率不确定性背景下基于分数矩极大熵准则的结构可靠性分析方法具有较大的效率与精度优势,综合研究并给出了可以用于极大熵准则中约束条件输出响应分数矩求解的3种分数矩求解方法,包括降维积分(DRI)方法、稀疏网格积分(SGI)方法和无迹变换(UT)方法。阐述了分数矩求解原理及过程,给出了方法的计算效率,并分析了方法的适用性。3种分数矩求解方法在确保计算精度的同时可以很大程度减少结构输入-输出模型的调用次数,大幅提高统计分析效率。通过与Monte Carlo仿真分析法对比,验证了3种分数矩求解方法的正确性与高效性。

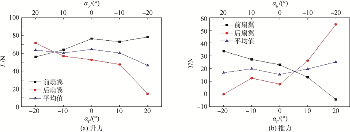
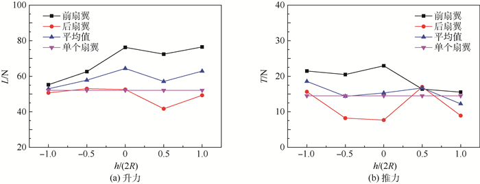
纵列式双扇翼气动特性数值模拟与试验
杜思亮, 唐正飞, 赵文静, 陈荟, 王英宇
2018, 44(6): 1164-1175. doi: 10.13700/j.bh.1001-5965.2017.0393
摘要:

扇翼飞行器是一种新概念新原理飞行器, 尤其是其具有独特空气动力学原理。扇翼能够同时产生升力和推力, 为了进一步改善扇翼的气动特性, 在不改变扇翼基本几何参数的前提下, 沿机身纵向布置前后2个扇翼, 组成了纵列式双扇翼飞行器。通过数值模拟的方法, 计算了前后扇翼间距、高度和安装角变化时的扇翼升力和推力值, 分析了前后扇翼气动特性相互影响的规律。此外还设计了纵列式双扇翼的风洞试验模型, 将获得的风洞试验结果与数值计算结果进行了初步的对比验证。结果表明, 在一定前后扇翼间距、高度和安装角下, 纵列式双扇翼的气动力相比单个扇翼更具优势。因此, 纵列式双扇翼布局的飞行器具有很好的发展前景和应用优势。

基于干扰重构和峭度最大化的SMSP干扰抑制方法
李欣, 王春阳, 原慧, 金珊珊
2018, 44(6): 1176-1184. doi: 10.13700/j.bh.1001-5965.2017.0421
摘要:

频谱弥散(SMSP)干扰是一种针对线性调频(LFM)信号的相参压制干扰。根据SMSP干扰子脉冲的周期特性,提出了一种基于干扰重构和峭度最大化的干扰抑制方法。首先,利用自相关方法估计干扰子脉冲的周期,并根据干扰的产生原理确定子脉冲调频斜率,即可重构相位未知的干扰子脉冲;其次,对重构的干扰子脉冲分别设定不同的相位,并与接收信号做共轭相乘,根据相乘的结果确定干扰信号的初相位;最后,利用峭度最大化原理,确定干扰抑制因子,实现干扰抑制。仿真结果表明,本文方法能够有效实现干扰抑制,经过干扰抑制后的信干比可达20 dB以上,并且在存在噪声和相位误差的情况下,仍能够保持较高的信干噪比增益。

基于仿射变换S盒的轻量级杂凑函数
杜培, 王维克, 何展宏, 李林, 王翔
2018, 44(6): 1185-1193. doi: 10.13700/j.bh.1001-5965.2017.0311
摘要:

针对轻量级杂凑函数的线性层结构单一易受统计饱和攻击的问题,提出一种以海绵结构为主体,内部置换函数为仿射变换S盒结构的轻量级杂凑函数。仿射变换后的S盒继承了原S盒良好的密码特性,同时在很大程度上弥补了线性层结构过于简单的不足。根据最优4 bit最优S盒仿射等价类的具有最大差分概率的差分对个数、具有最优线性逼近关系的掩码个数及最大分支数确定了仿射变换S盒原型;通过差分及线性密码分析、统计饱和攻击分析了内部置换结构的安全性;设计了仿射变换结构的控制逻辑及算法整体的串/并行硬件实现方案,并在Design Compiler上进行了综合验证。结果表明,基于仿射变换S盒的轻量级杂凑函数在只加入了一些简单控制逻辑的情况下,提高了统计饱和分析中追踪特定比特位扩散路径的难度,即仿射变换结构增加了线性扩散层的混淆性,优化了其抗统计饱和攻击的能力。

磁屏蔽装置与磁场模拟器的耦合分析
吕志峰, 张金生, 王仕成, 宋忠国, 席晓莉, 李婷
2018, 44(6): 1194-1202. doi: 10.13700/j.bh.1001-5965.2017.0399
摘要:

地磁导航半实物仿真是地磁导航从理论走向工程应用的关键环节,而地磁场环境仿真技术是地磁导航由计算机仿真过渡到半实物仿真的桥梁。针对地磁场环境仿真系统中磁屏蔽装置与其内部磁场模拟器的耦合问题,采用仿真分析与实验验证相结合的方法,利用Ansoft Maxwell仿真软件设计仿真实验对二者的耦合关系进行了探索性研究,并基于小型地磁场环境仿真系统对仿真得到的结论进行了实验验证。仿真和实验结果均表明:磁场模拟器在大电流强磁场的工作情况下会对磁屏蔽装置造成严重的磁化,进而会影响其屏蔽效果;磁屏蔽装置不会影响磁场模拟器的线性度和均匀性,但是会增大轴线中心点附近的磁场值;磁屏蔽装置会使磁场模拟器的电感增大,从而使实时性变差。研究结论可以为地磁场环境仿真系统的设计提供理论依据。

直升机尾桨完全失效后自转着陆轨迹优化
严旭飞, 陈仁良
2018, 44(6): 1203-1212. doi: 10.13700/j.bh.1001-5965.2017.0459
摘要:

为了研究直升机尾桨完全失效后自转着陆的最优轨迹和操纵过程,建立相应的飞行动力学模型并采用最优控制方法进行计算分析。建立直升机6自由度刚体飞行动力学模型,在模型中加入可以描述尾桨完全失效和自转着陆阶段发动机出轴功率以及旋翼转速变化的相关方程,并将直升机尾桨完全失效后的自转着陆问题转换为非线性最优控制问题进行求解。以某型号单旋翼带尾桨直升机为样机,计算空中停车自转着陆过程,并与飞行试验数据进行对比,验证了所建模型和最优控制方法的准确性。计算分析该型号直升机在以巡航速度下前飞时,尾桨完全失效后自转着陆的最优轨迹和操纵过程。从结果可以看出:尾桨完全失效时,直升机在旋翼反扭矩的作用下会产生较大的偏航角速度和侧滑角变化,进而产生复杂的耦合运动,驾驶员在关闭发动机进行自转着陆操作的同时,还需要通过操纵横向周期变距稳定滚转角,并以侧滑的方式来稳定横航向的姿态角,最后安全着陆。计算得到的最优轨迹和操纵过程,与工程试飞得出的定性的结论和建议相符。

自适应FLP滤波在激光陀螺IMU标定中的应用
卢兆兴, 房建成, 王仕成, 李建利, 党鹏飞
2018, 44(6): 1213-1220. doi: 10.13700/j.bh.1001-5965.2017.0462
摘要:

激光陀螺的高频机抖使得激光陀螺惯性测量单元(IMU)的测量数据包含较大的随机噪声。传统标定方法通过延长测量时间消除对随机噪声的影响,降低了标定效率。提出了应用自适应前向线性预测(FLP)滤波对激光陀螺IMU的标定数据进行降噪,在较小标定数据量情况下提高系统的标定精度。首先通过四方位正反速率标定试验获得原始标定数据;然后通过自适应FLP滤波器对标定数据进行噪声抑制;最后利用降噪后的数据计算标定参数。试验结果表明,该方法能够有效抑制标定数据中的随机噪声,提高信号的信噪比(SNR),从而在标定数据量较小的情况下得到较高精度的标定参数,提升系统的导航精度。

不同增长机制下航空网络自愈特性
傅超琦, 王瑛, 李超, 孙贇
2018, 44(6): 1221-1229. doi: 10.13700/j.bh.1001-5965.2017.0485
摘要:

结合复杂网络理论,从能量的角度分析了航空网络的功能自愈机理,并研究了航空网络在不同增长机制下的自愈特性。首先,将网络结构划分为自愈结构与耦合结构,并针对航空网络3种增长机制进行了分析和抽象建模;然后,从网络全局角度出发研究了美国航空网络在遭受蓄意攻击造成全网功能瘫痪的情况下,网络功能的恢复鲁棒性和网络增长对网络自愈能力的影响。研究表明,美国航空网络具有较好的恢复鲁棒性,接近80%的机场在受到能量冲击造成的短暂失效后具有功能自愈能力。航空网络不同的增长机制对网络的自愈能力有着不同的影响。结果证实,为完善航空网络而建立的机场群,由于其较大的连接需求,加大了网络区域密度,复杂了网络拓扑结构,降低了网络的自愈能力;而小型机场的增加不会影响网络整体的自愈能力。

基于单胞有限元的波纹板等效刚度特性
王远, 臧勇, 管奔, 秦勤
2018, 44(6): 1230-1238. doi: 10.13700/j.bh.1001-5965.2017.0698
摘要:

为了得到波纹板的宏观刚度特性及其与表面形貌结构参数的关系,基于单胞有限元的方法对波纹板的等效刚度特性进行了研究。首先,基于单胞有限元的周期性边界条件,计算了具有周期性排布特点的波纹板的等效刚度;然后,计算了典型形貌波纹板的等效刚度特性,并进行了分析和验证;最后,运用单胞有限元的方法分析了波纹板结构参数对等效刚度特性的影响。分析结果表明:采用单胞有限元的方法可以有效计算波纹板的等效刚度;波纹板相较于基础薄板具有更高的弯曲刚度,但拉伸刚度和剪切刚度较低。当基础薄板厚度固定时,随着波纹板相对厚度的增加,拉伸刚度和剪切刚度降低,弯曲刚度升高;随着波纹板波纹相对周期间距的增加,拉伸刚度和剪切刚度升高,弯曲刚度降低。

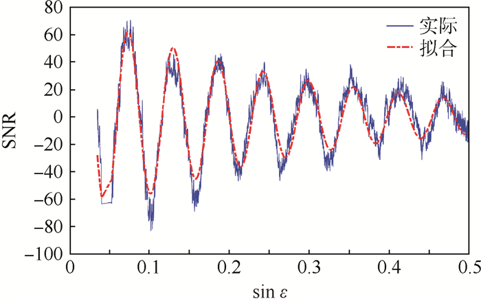
GNSS多径信号模型及测高方法
李惟, 朱云龙, 王峰, 杨东凯
2018, 44(6): 1239-1245. doi: 10.13700/j.bh.1001-5965.2017.0417
摘要:

提出利用全球导航卫星系统反射信号的干涉方法(GNSS-IR)进行测高。深入分析全球导航卫星系统反射信号的多径信号模型(GNSS-MR),在此基础上提出单天线测高模型,旨在获取多径信号信噪比(SNR)频率信息,从而反演出高度信息。Lomb-Scargle(LS)谱分析方法是单天线测高模型中常用的频率提取方法;提出了基于解析模型拟合的方法对多径信号信噪比数据提取频率,同样可以准确获取频率信息,从而反演出天线到地面的高度。在此基础上,讨论了单天线测高的最大测量高度和接收机需要满足的最小输出率。由实验数据分析得出:传统LS谱分析方法和拟合法在反演效果最优时,即LS谱分析方法在高度角上限为17°时,均方根误差为0.028 75 m;拟合法在高度角上限为21°时,均方根误差为0.024 85 m。通过比较不同高度角上限的均方根误差,可以获得最优化的高度反演条件,同时也表明了拟合法的可行性。

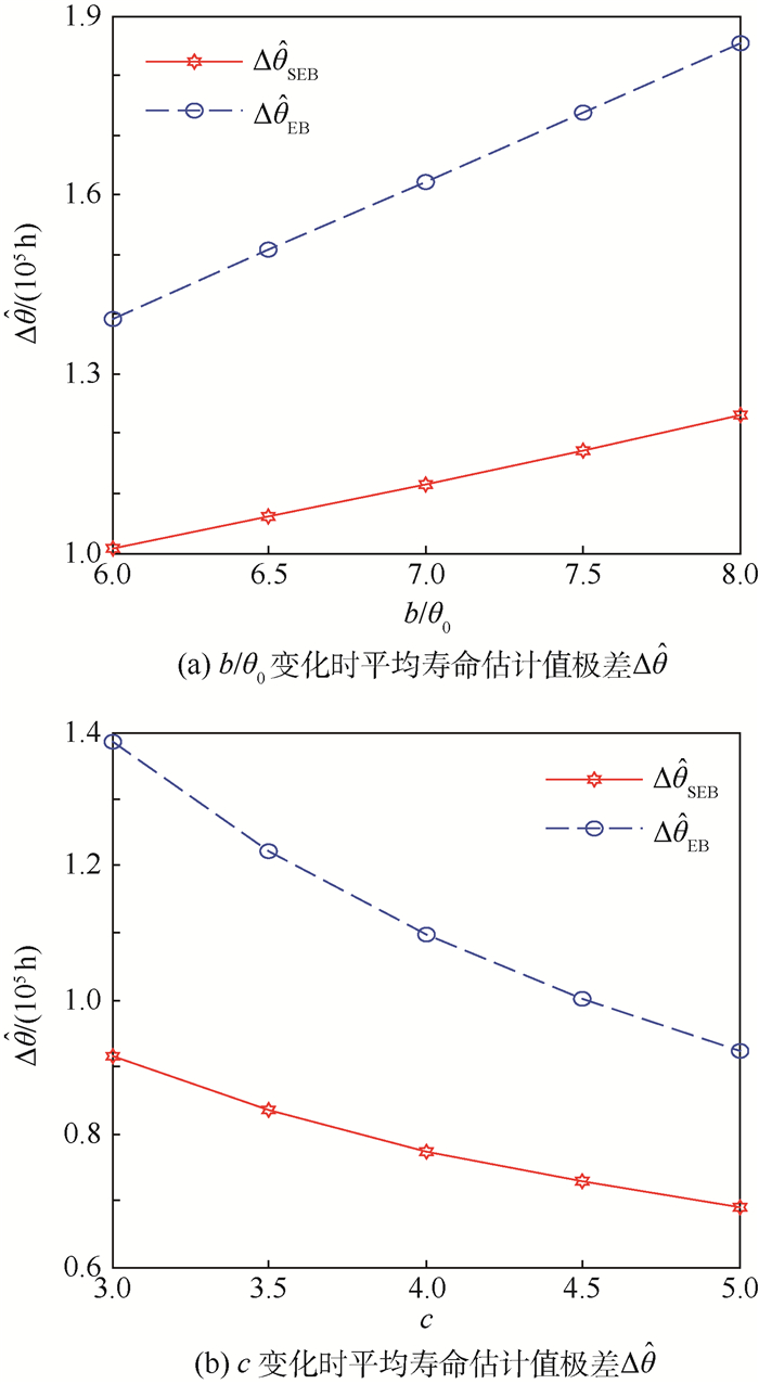
有替换Ⅰ型截尾试验无失效时设备可靠性分析
赵权, 葛红娟, 张璐, 陈舒文, 薛建良
2018, 44(6): 1246-1252. doi: 10.13700/j.bh.1001-5965.2017.0427
摘要:

针对航空电子设备有替换Ⅰ型截尾试验无失效的情形,提出了一种改进综合E-Bayesian方法用于可靠性参数的综合估计。该方法利用失效因子和自适应系数,并结合可靠性参数先验值及其经典E-Bayesian评估结果,引入失效数据,同时使用相对概率法构造失效权重模型。以航空电子设备平均寿命为目标,建立了平均寿命的改进综合E-Bayesian估计模型,并以某型变压整流器(TRU)为对象进行应用研究和方法比较分析。结果表明,提出的改进综合E-Bayesian方法具有更好的评估性能,并能够改善可靠性评定中可能出现的“冒进”问题。

一种疲劳损伤参数确定新方法
刘潇潇, 王依兵, 张铮
2018, 44(6): 1253-1257. doi: 10.13700/j.bh.1001-5965.2017.0448
摘要:

金属材料的疲劳断裂是工程结构中常见的失效模式。损伤力学将裂纹萌生视为渐进损伤过程,通过损伤演化方程描述并进行寿命预估。但损伤演化方程中的参数需要根据标准实验数据拟合得到,此过程通常需要多参数联合拟合,运算复杂,计算量大,物理意义不明确。为了避免上述问题,基于损伤力学的理论基础,提出了一种新的损伤演化方程参数确定方法,即根据损伤演化方程的性质,结合S-N曲线的特质,通过数学方法提出一种单一参数确定损伤演化方程的单参数方法。本文方法规避了多参数同时拟合的缺点,提高了计算速度计算精度,为工程分析提供了新的选择。通过具体算例验证了本文方法的使用效果。

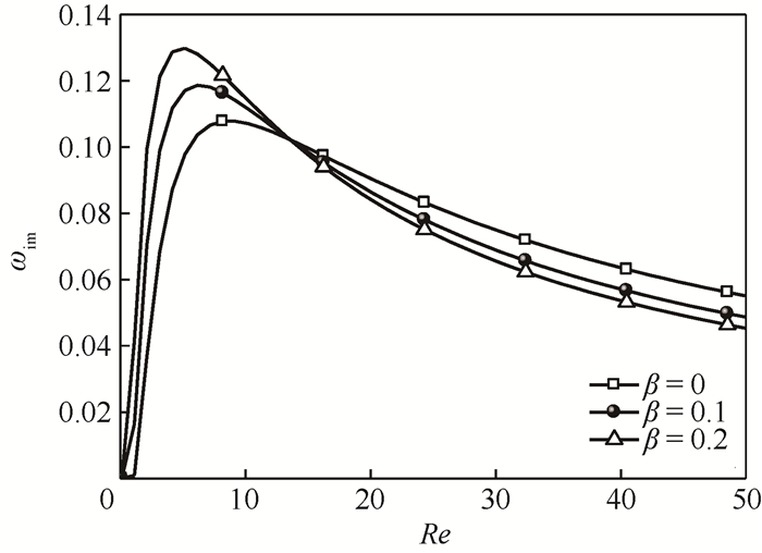
沿多孔壁面流动的液膜线性稳定性分析
赵越, 杨立军
2018, 44(6): 1258-1264. doi: 10.13700/j.bh.1001-5965.2017.0475
摘要:

针对沿多孔壁面流动的牛顿流体液膜进行线性稳定性分析,特别考虑中等雷诺数的情形。认为多孔壁面处的流动满足Beavers-Joseph滑移边界条件,采用动量积分方法,得到色散关系和中性稳定曲线。多孔壁面的渗透性促进了液膜流动的不稳定,加快了液膜表面波的移动。随着雷诺数增大,中等雷诺数范围的最大增长率呈现先增大后减小趋势。最大增长率极值和不稳定波数区域与壁面渗透性有关。通过能量分析探究多孔介质渗透性对流动稳定性的作用机理,多孔壁面滑移速度的存在使得平均流速增大,速度梯度减小,导致黏性耗散减小从而促进流动失稳。

预燃级旋流数对TeLESSⅡ燃烧室贫油熄火性能影响
肖荣洪, 林宇震, 张弛
2018, 44(6): 1265-1272. doi: 10.13700/j.bh.1001-5965.2017.0392
摘要:

北京亚洲成人在线一二三四五六区发展的TeLESSⅡ低排放燃烧室采用中心分级的布局方式,其中心为经典的旋流杯结构预燃级,为燃烧室提供稳定的点火源,预燃级外圈采用预混设计的单级轴向旋流器的主燃级以降低排放。研究了预燃级一级旋流器和二级旋流器的旋流数组合对燃烧室熄火性能的影响,研究表明预燃级的设计在中心分级低排放燃烧室火焰稳定中扮演重要角色。在常温常压条件下的单头部燃烧室上测量贫油熄火油气比,并通过数值计算对比分析不同方案在熄火时的气动热力特征。研究表明:回流区总温越高燃烧室贫油熄火油气比越低,二级旋流数减少有利于火焰和流场的耦合,从而提高回流区火焰稳定,拓宽贫油熄火边界。一级旋流数增加贫油熄火油气比不是随之降低。

基于Eshelby-Stroh公式各向异性弹性体接触问题研究
颜灯灯, 李成刚, 申景金, 王艳, 王春明, 宋伟山
2018, 44(6): 1273-1282. doi: 10.13700/j.bh.1001-5965.2017.0400
摘要:

针对线性各向异性弹性体小变形接触问题,将弹性体按是否与刚体压头发生接触进行划分,基于Eshelby-Stroh公式求解各个部分的位移函数和应力函数,进一步通过应力函数积分得到载荷值。考虑到求解结果存在交接处应力突变和非接触区域应力不近似于零的问题,采用整体位移约束法和线性叠加原理,通过迭代方式使位移函数和应力函数逼近理想解,解决了圆柱压头和倒圆角楔形压头与弹性体的接触问题。基于圆柱压头求得的载荷值接近弹性半空间法的求解结果,当级数总项数为400时,计算结果的相对误差仅为0.52%。基于圆柱压头和倒圆角楔形压头求得的载荷值与ABAQUS仿真结果较为吻合:圆柱压头载荷值的相对误差为0.67%;倒圆角楔形压头,对6个不同的圆角值进行计算,载荷的相对误差都小于2%。

临近空间环境下封闭方腔内耦合换热特性
字贵才, 贺卫亮
2018, 44(6): 1283-1293. doi: 10.13700/j.bh.1001-5965.2017.0412
摘要:

以临近空间浮空器载荷舱为应用背景,对复杂热边界条件下含热源的三维封闭方腔内自然对流、表面辐射和导热的耦合问题进行了数值模拟。综合考虑对流换热、长波辐射、太阳辐射等因素的影响,建立了临近空间热环境模型。通过Fluent软件用户自定义函数(UDF)引入外部非定常的辐射-对流耦合热边界条件,对腔内换热特性的昼夜变化进行研究,并分析了腔壁厚度、发射率和导热系数对其的影响。数值结果表明,腔内平均温度昼夜变化很小,约为12.9 K,但温度场分布随太阳方位变化而变化;腔内对流换热较弱,同一时刻最大温差约为71.3 K;腔壁热阻和发射率增加会削弱自然对流的强度。

连接界面变形对转子动力特性影响的力学模型
金海, 刘继兴, 张大义, 洪杰
2018, 44(6): 1294-1302. doi: 10.13700/j.bh.1001-5965.2017.0440
摘要:

针对航空发动机在工作过程中振动量增大且伴随有一定的界面磨损问题,在结构特征分析的基础上建立了三盘转子-支承系统动力学模型,并将接触端面同轴度偏差以及平行度偏差进行参数化描述,基于Lagrange方程得到考虑界面变形的高压刚性转子系统动力学微分方程。结果表明,界面变形将使得刚性转子系统产生附加激振力,同轴度偏差引起的附加激振力幅值与转速平方成正比,仅作用在相应自由度上;平行度偏差引起的附加激振力幅值仅与系统刚度和平行度偏差量有关,与转速无关,且其在支承自由度方向上存在一定分量。

非线性多项式模型结构与参数一体化辨识
贾伟州, 彭靖波, 谢寿生, 刘云龙, 李腾辉, 何大伟
2018, 44(6): 1303-1311. doi: 10.13700/j.bh.1001-5965.2017.0442
摘要:

针对非线性系统领域具有更广泛意义的线参数多项式组合模型,提出一种非线性多项式模型结构辨识和参数辨识一体化算法。该算法将结构辨识中基于贡献项的择优过程与基于冗余项的劣汰过程结合。在择优过程中,根据输出向量投影残差下降的最大化,采用基于输出向量残差化的递归改进Gram-Schmidt(RMGS)算法,在向量空间的全集中择优,并允许部分冗余非模型项选入。在劣汰过程中,为平等对待正交化向量的贡献,采用基于改进正交化次序的模型结构劣汰策略,在优选集合里逐个删除对实际输出贡献相对较小的结构项,以系统完备性指标为约束,确认结构与参数。2类典型非线性多项式模型辨识仿真算例对比验证了算法的有效性。

稀疏多小波时变系统辨识及脑电信号时频分析
雷梦颖, 魏彦兆, 李阳, 王丽娜
2018, 44(6): 1312-1320. doi: 10.13700/j.bh.1001-5965.2017.0449
摘要:

通过时变参数建模算法对非平稳时变系统的辨识问题进行了研究,并将其应用于脑电(EEG)信号时频特征提取分析。首先,将时变系统参数用具有良好局部逼近能力的多小波基函数进行展开,时变系统建模问题简化为时不变回归模型估计。其次,进一步结合正则化正交最小二乘(ROLS)算法,既降低模型复杂度,又避免模型过拟合问题,从而实现了时变参数的快速准确估计。仿真实例结果表明,与传统递归最小二乘(RLS)算法、经典正交最小二乘(OLS)算法结果相比,所提稀疏多小波建模算法能够更加准确跟踪时变参数的变化。最后,该算法用于运动想象任务下采集的真实EEG信号的时频特征分析,能够有效地得到α节律下高时频分辨率的事件相关去同步(ERD)及事件相关同步(ERS)分析结果,验证了本文算法的应用性。

激光测距传感器光束矢向和零点位置标定方法
曹双倩, 袁培江, 陈冬冬, 史震云
2018, 44(6): 1321-1327. doi: 10.13700/j.bh.1001-5965.2017.0450
摘要:

激光测距传感器常用于飞机壁板法向检测。为了解决激光测距传感器加工和安装误差导致的法向检测精度下降问题,提出和实施了一种利用几何数学模型和最小二乘法进行激光测距传感器光束矢向和零点位置标定的方法。首先,利用角度标定理论获取激光束与主轴进给方向的夹角。然后,借助激光跟踪仪建立坐标系,根据激光测距传感器射在与电主轴进给方向成不同夹角的平面上的测量值,利用几何数学模型计算出各激光点之间的相对坐标,运用最小二乘法拟合出激光束的空间方程,进而得到光束矢向和零点位置。最后,在航空制孔机器人平台上进行标定实验,并且根据标定结果进行了实验验证。实验结果证明:该方法能够较为准确地标定出激光测距传感器的光束矢向和零点位置,可使法向检测精度在0.18°内。

干扰观测器在一种非线性刚度驱动器中的应用
高冬, 宋智斌, 赵亚茹
2018, 44(6): 1328-1336. doi: 10.13700/j.bh.1001-5965.2017.0477
摘要:

基于“小负载,低刚度;大负载,高刚度”的非线性刚度驱动器(NSCA)优化了可变刚度驱动器(VSA)的工作区间,具有交互力小时力分辨率高,交互力大时响应速度快的优点。但在复杂的人机交互控制过程中,由于难以对干扰和噪声建立准确的数学模型,故而严重影响到系统的控制精度。因此,本文利用基于观测估计干扰并实施补偿的干扰观测器(DOB)解决非线性刚度驱动器的此类问题。首先,根据非线性刚度驱动器动力学模型建立了控制系统状态方程以及干扰观测器,利用李雅普诺夫方法分析系统稳定性并给出了稳定条件;然后,根据该稳定条件将干扰观测器算法应用于非线性刚度驱动器控制系统中得到实验数据。最后,实验结果表明,采用干扰观测器算法将非线性刚度驱动器在阻抗控制模式下的刚度误差降低了85.71%,大幅度提高了驱动器控制精度。

基于TruckSim的装载工况影响下弯道安全车速阈值
王传连, 胡月琦, 李平
2018, 44(6): 1337-1346. doi: 10.13700/j.bh.1001-5965.2017.0808
摘要:

为研究装载工况和路面条件对弯道路段安全车速阈值的影响,运用TruckSim仿真软件建立大型车辆整车动力学模型、道路场景模型和驾驶人控制策略模型,从装载质量和道路附着系数2个方面分别设计实验进行仿真,分析车辆在弯道路段发生侧滑、侧翻的影响因素及其影响程度。以陕西省某高速公路一弯道路段为例,研究了车辆在双因素影响下,通过弯道的安全车速阈值。结果表明:随着装载质量的增加,弯道安全车速阈值减小,安全车速阈值与装载质量之间为幂函数关系;道路附着系数在0.1~0.6范围内时,随着弯道路面附着系数的增加,弯道安全车速阈值减小,且二者为指数函数关系;当道路附着系数在0.6~1.1范围内时,随着弯道路面附着系数的增加,弯道安全车速阈值变化趋于平缓。根据模型仿真分析结果,针对超载超限问题,进一步对交通管理部门、装载人员和驾驶人提出相应的安全建议,旨在提高公路弯道行车主动安全性,也为公路安全运营研究提供理论及技术支持。

常见问答