2. 西安现代控制技术研究所, 西安 710065
2. Xi'an Modern Control Technology Research Institute, Xi'an 710065, China
巡飞弹是小型无人机技术和传统导弹技术的有机结合,能在目标区域上方巡弋飞行,执行侦察与毁伤评估、精确打击、中继通信和空中警戒等作战任务[1-3]。巡飞弹属于一类固定翼飞行器,从总体参数设计角度来看,与小型无人机相似。巡飞弹一般采用长航时巡飞动力系统,巡飞时间通常在10 min以上,甚至可长达数小时。例如,美国的LAM、LOCASS和以色列的Delilah均采用微型涡喷发动机;英国的Fire Shadow、以色列的Harpy、德国的TaiFun和美国的LOCPAD、Quicklook、Dominator均采用活塞式螺旋桨发动机;美国的Switchblade、WASP、以色列的SKYLARK系列、韩国的Devil Killer和意大利的Horus均采用直流无刷电动发动机(由螺旋桨或者涵道风扇产生推力);俄罗斯的R-90巡飞子弹药采用脉动喷气发动机[4-7]。从能量来源与推力产生机理来看,巡飞弹的动力型式可分为3类:活塞式螺旋桨动力系统、喷气式动力系统(微型涡喷与脉冲喷气)与电动力系统(螺旋桨推进与涵道推进)。
重量估算是开展巡飞弹总体设计最为关键的第一步,而动力系统选型是影响巡飞弹战技指标的关键因素之一。在总体参数设计方法方面,Raymer[8]面向传统燃油动力飞机推导出一种总体参数确定方法,被广泛使用;刘斌等[9]推导了一种小型电动无人机总体参数设计方法;康桂文等[10]从飞行性能角度提出了一种超轻型电动飞机的电动力系统的参数匹配方法。但是,上述研究的重点均是某类动力型式飞机,没有同时针对活塞式螺旋桨动力系统、喷气式动力系统与电动力系统的固定翼飞机发展一套通用的设计方法,没有对比分析这3类动力型式飞机总体参数的差别,也没有归纳出顶层设计阶段动力型式设计指导原则。
因此,本文将以能量供给平衡为基础,推导出适用于3类动力型式巡飞弹的总体参数控制方程,包括动力系统重量系数及其燃料重量系数的表达式,对比分析不同动力型式下巡飞弹的航时、巡飞速度、航程以及任务载荷重量系数变化规律,总结出不同动力型式与不同作战使用的适配性规律,为巡飞弹总体参数顶层设计与动力系统选型提供参考。
1 总体参数控制方程 1.1 发射质量估算巡飞弹的发射总质量m0可以表示为
|
(1) |
式中:mstrut为巡飞弹结构质量,包括弹身、弹翼及其折叠机构等;mp为巡飞弹动力系统质量;me为巡飞弹燃料质量(动力电池或者燃油);mavn为飞控系统、数据链和供电模块等弹载航电系统质量;mpld为巡飞弹的任务载荷质量,包括侦察装置或导引头、战斗部及引信等。
为了便于开展对比分析,假定弹载航电系统与任务载荷自带供电模块或者其功耗相对飞行功耗可以忽略。
一般来说,由作战使用决定的顶层设计指标给出mavn与mpld,式(1)可写为另外一种形式:
|
(2) |
式中:fstrut为结构重量系数,为结构质量与发射总质量之比;fp和fe分别为动力系统重量系数和燃料重量系数。
mavn表示为重量系数favn的形式,式(1)又写为任务载荷重量系数fpld形式:
|
(3) |
以巡飞态为单设计点,电动巡飞弹在整个任务飞行过程中总质量不发生变化,可推导出电池重量系数(fe)bat为
|
(4) |
式中:(me)bat为储能电池质量;Pcrus为巡飞态下的平飞需用功率;ηbp为电动力系统的组合效率;t为设计指标中的航时;κbat为动力电池比能量(已考虑电池放电深度的影响);K为巡飞弹的升阻比;g为重力加速度;V为巡飞速度。
电动力系统的重量系数(fp)bat可表示为
|
(5) |
式中:(mp)bat为电动力系统质量;Pbp.max为电动力系统的最大持续功耗,与电动巡飞弹的攻击、突防或机动能力等有关;ξbp为电动巡飞弹的最大持续功耗与巡航功耗之比;σbp为电动力系统的功重比。
对于以上参数,电动力螺旋桨与电动力涵道对总体参数匹配的影响规律相近,本文将仅针对电动力螺旋桨系统开展研究。
1.3 活塞式螺旋桨动力型式的燃油及系统质量活塞式螺旋桨动力系统均使用功率参数估算,巡飞状态下的巡飞弹瞬时质量变化率可推导为
|
(6) |
式中:(me)pst为活塞式螺旋桨动力系统的燃油质量;Cpower为活塞式螺旋桨动力的单位耗油率,即单位时间内单位功率所耗燃油质量;ηpp为螺旋桨推进效率。
由式(6)可得活塞式螺旋桨动力系统的燃油重量系数(fe)pst为
|
(7) |
参考电动力系统质量估算方法,活塞式螺旋桨动力系统的重量系数(fp)pst可表示为
|
(8) |
式中:下标pp与pst均代表活塞式动力系统,各变量的物理意义与式(5)一致。
1.4 喷气式动力型式的燃油及系统质量喷气式动力系统(包括微型涡喷与脉冲喷气)由推力参数估算,巡飞状态下的瞬时质量变化率可推导为
|
(9) |
式中:Tcrus为巡飞状态下的需用推力;(me)jet为喷气式动力系统的燃油质量;CT为喷气式动力系统的单位耗油率,即单位时间内单位推力所耗燃油质量。
由式(9)可得喷气式动力系统的燃油重量系数(fe)jet为
|
(10) |
由喷气式动力巡飞弹的总体参数推重比ξjp(即最大持续推力Tmax与发射总重m0g之比)可推导喷气式动力系统的重量系数(fp)jet为
|
(11) |
式中:(mp)jet为喷气式动力系统质量;σjp为喷气式动力系统的推重比。
至此,已完成各动力型式巡飞弹的燃料重量系数与动力系统重量系数的公式推导。
2 以任务载荷重量系数为核心的总体参数分析一般来说,任务载荷重量系数fpld愈高,发射总质量m0愈小,意味着实现同样作战任务的费效比愈低,作战效能具备更大的提升空间,因此下面将着重研究各动力型式的性能参数对fpld的影响程度。
由于巡飞弹与小型无人机的总体参数规律相同,在开展总体参数敏度分析之前,先借鉴研究成果较多的小型无人机总体参数统计值,给出相关参数取值。这些参数取值在后续研究工作中具有通用性,不失规律的一般性。
1) 结构重量系数fstrut。电动巡飞弹的fstrut可参考作战使用以及尺寸相近的小型电动无人机,一般在0.20~0.35范围内取值[9],这里暂取0.35;考虑到燃油动力系统的油箱质量等,活塞式螺旋桨、微型涡喷与脉冲喷气发动机巡飞弹的fstrut暂取0.45。
2) 依据设计经验,弹载航电系统重量系数favn暂且统一取0.10。
3) 不同动力型式的巡飞弹升阻比K统一取12。
4) 依据设计经验,电动力螺旋桨巡飞弹的最大持续功耗与巡航功耗之比ξbp暂取2.5;活塞式螺旋桨巡飞弹的最大持续功耗与巡航功耗之比ξpp暂取2;微型涡喷动力与脉冲喷气动力巡飞弹的全弹推重比ξjp暂统一取0.15。
2.1 电动力螺旋桨系统电动力螺旋桨系统组合效率为无刷电机、电调和螺旋桨等各部件效率之积。一般来说,电动巡飞弹的螺旋桨直径较小、转速高,依动力系统匹配优劣而定,巡飞弹用高转速、小直径电动力螺旋桨系统的组合效率ηbp可在35%~55%范围内取值[11-12]。依据其功重比统计值,σbp可在500~1 000 W/kg范围内取值[11]。巡飞弹用电动力螺旋桨系统的动力电源一般需具备大倍率放电能力,例如聚合物锂离子电池,现阶段其比能量κbat统计值为100~250 Wh/kg[11]。依据巡飞弹作战使用与战技指标要求,电动巡飞弹的巡飞速度V暂在15~35 m/s范围内取值。
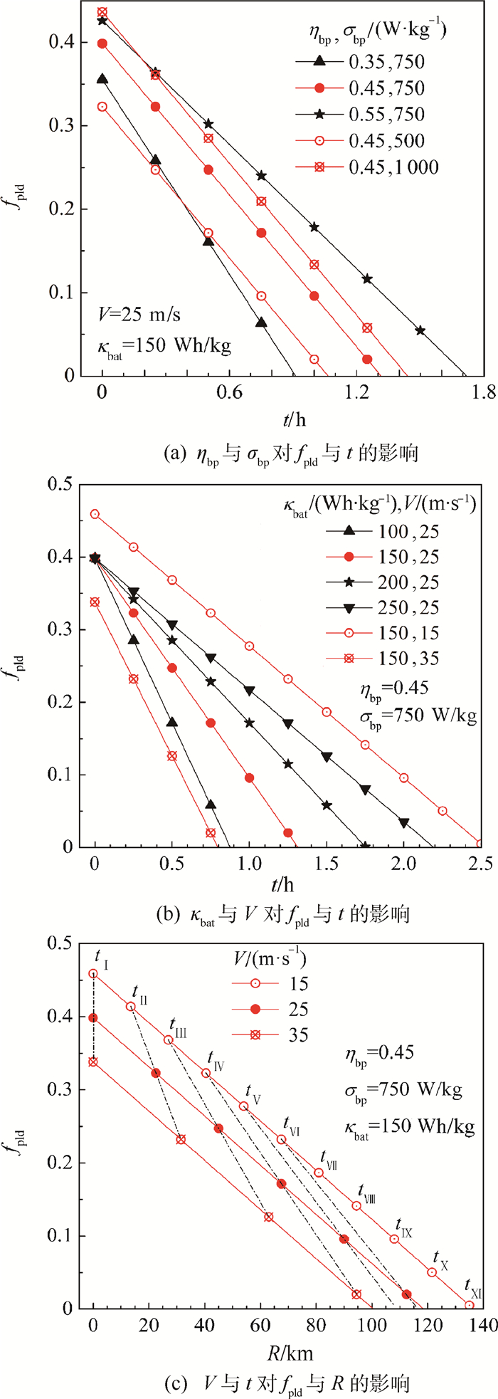
上述各电动力螺旋桨系统性能参数对巡飞弹任务载荷重量系数fpld、航时t与航程R的影响情况如图 1所示。
|
| 图 1 电动力螺旋桨系统各参数对fpld、t与R的影响 Fig. 1 Influence of parameters of electric-motor propeller propulsion systems on terms fpld, t and R |
图 1(a)为ηbp与σbp对fpld与t的影响,此时V与κbat分别取25 m/s与150 Wh/kg。当其他设计输入参数给定时,fpld随着t的增加而线性减小。此处,定义Δfpld/Δt为fpld随着t的变化斜率,单位为h-1,定义(fpld)t=0为t=0时的fpld。ηbp愈高,fpld愈高,且Δfpld/Δt愈小;当σbp=750 W/kg时,对于ηbp为0.35、0.45与0.55,(fpld)t=0分别为0.36、0.40与0.43,Δfpld/Δt分别为-0.39、-0.30与-0.25。σbp愈高,fpld愈高,但Δfpld/Δt不变;当ηbp=0.45时,对于σbp为500、750与1 000 W/kg,(fpld)t=0分别为0.32、0.40与0.44,Δfpld/Δt均为-0.30。
图 1(b)为κbat与V对fpld与t的影响,此时ηbp与σbp分别为0.45与750 W/kg。当其他设计输入参数给定时,fpld随着t的增加而线性减小。κbat愈高,fpld愈高,且Δfpld/Δt愈高;当V=25 m/s时,对于κbat为100、150、200与250 Wh/kg,Δfpld/Δt分别为-0.45、-0.30、-0.23与-0.18,但是(fpld)t=0均为0.40。V愈高,fpld愈低,且Δfpld/Δt减小;当κbat=150 Wh/kg,对于V为15、25与35 m/s,Δfpld/Δt分别为-0.18、-0.30与-0.42,(fpld)t=0分别为0.46、0.40与0.34。
图 1(c)为V与t对fpld与R的影响,其中tI~tXI对应航时,tI=0 h,间隔为0.25 h。当其他设计输入参数给定时,V愈高,则fpld愈低,但Δfpld/ΔR保持不变。在给定设计航程R下,V愈高,t愈短,fpld愈低。基于图 1(a)~图 1(c)的设计输入参数的左右边界值,当要求fpld=0.10时,电动巡飞弹的航时约0.18~5.50 h,航程约22~300 km。
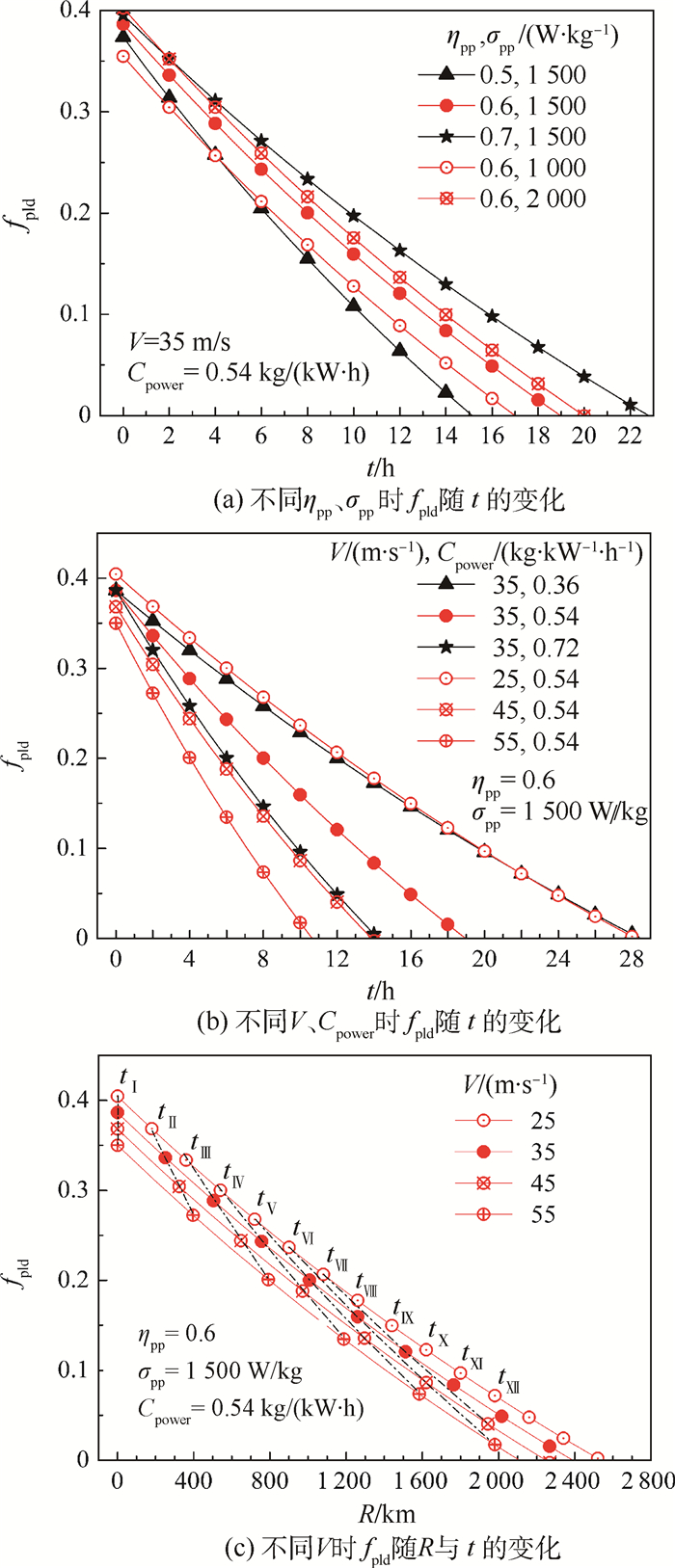
2.2 活塞式螺旋桨动力系统巡飞弹用活塞式螺旋桨动力系统一般包括活塞发动机与螺旋桨,较少使用减速器。通过统计功率与尺寸相近的活塞式螺旋桨动力系统的螺旋桨效率、功重比以及耗油率的统计值,螺旋桨效率ηpp可在50%~70%[12-13]范围内取值,σpp可在1 000~2 000 W/kg[14]范围内取值,耗油率Cpower可在0.36~0.72 kg/(kW·h)[14]范围内取值;参考作战使用与巡飞弹类似的小型无人机巡飞速度,V可在25~55 m/s范围内取值。
上述各活塞式螺旋桨动力系统的性能参数对巡飞弹任务载荷重量系数fpld、航时t与航程R的影响情况如图 2所示。
|
| 图 2 活塞式螺旋桨动力系统各参数对fpld、t与R的影响 Fig. 2 Influence of parameters of piston-motor propeller propulsion systems on terms fpld, t and R |
由图 2可知,活塞式螺旋桨动力系统各性能参数对巡飞弹的任务载荷重量系数fpld、航时t以及航程R的影响趋势与电动力螺旋桨系统类似。螺旋桨效率ηpp愈高,动力系统功重比σpp愈高,巡飞速度V愈低,活塞发动机耗油率Cpower愈低,一定t对应的fpld愈高,且Δfpld/Δt愈高;当其他参数给定时,随着t的增加,fpld减小,呈现小幅“下凹”规律。基于图 2(a)~图 2(c)的设计输入参数左右边界值,当要求fpld=0.10时,活塞式螺旋桨动力系统的巡飞弹航时约5.3~37.0 h,航程约1 050~3 300 km,远超过电动力螺旋桨系统的巡飞弹续航能力。
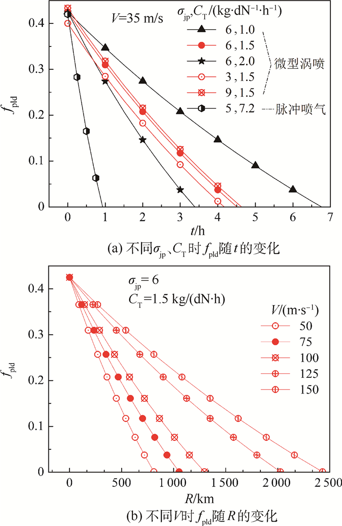
2.3 喷气式动力系统在小速度(10 m/s)范围内,暂且忽略喷气式动力系统耗油率随速度的变化。通过统计微型涡喷与脉冲喷气动力系统的推重比、耗油率的统计值,微型涡喷的推重比σjp可在3~9范围内取值[15],脉冲喷气的推重比σjp可暂取5[14],微型涡喷的耗油率CT可在1.0~2.0 kg/(dN·h)范围内取值[15],而脉冲喷气的耗油率CT可暂取7.2 kg/(dN·h)[14]。
上述各微型涡喷或脉冲喷气动力系统的性能参数对巡飞弹的任务载荷重量系数fpld、航时t与航程R的影响情况如图 3所示。
|
| 图 3 喷气式动力系统各参数对fpld、t与R的影响 Fig. 3 Influence of parameters of jet-motor propulsion systems on terms fpld, t and R |
图 3(a)为σjp与CT对fpld与t的影响,此时V取35 m/s。当其他设计输入参数给定时,fpld随着t的增加而减小,呈现小幅“下凹”趋势。当CT=1.5 kg/(dN·h)时,对于σjp为3、6与9,(fpld)t=0分别为0.400、0.425与0.433,Δfpld/Δt均为-0.088 7 h-1。当σjp=6时,对于CT取1.0、1.5与2.0 kg/(dN·h),(fpld)t=0均为0.425,Δfpld/Δt分别为-0.063、-0.094与-0.129 h-1。对于脉冲喷气动力系统,当CT=7.2 kg/(dN·h)、σjp=5时,(fpld)t=0为0.420,Δfpld/Δt为-0.476 h-1。
由图 3(b)可知,相同航程下,巡飞速度愈高,航时愈短,任务载荷重量系数愈高(这一点与电动力螺旋桨系统与活塞式螺旋桨动力系统不同)。
基于图 3(a)~图 3(b)的设计输入参数的左右边界值,当要求fpld=0.10时,微型涡喷动力系统的巡飞弹航时约2.2~5.0 h,航程与巡飞速度成正比;脉冲喷气动力系统的巡飞弹航时约0.67 h,航程与巡飞速度成正比。
2.4 不同动力型式下的对比分析为分析各动力型式对巡飞弹战技指标影响差异的实质缘由,本文提出了用来衡量各动力的物理量燃料能量密度,即等效比能量,用Θ表示,单位为Wh/kg。
依据式(4)、式(7)与式(9),可得电动力螺旋桨、活塞式螺旋桨与喷气式动力系统的等效比能量分别为
|
(12) |
活塞式螺旋桨与喷气式动力系统的等效比能量如图 4所示。动力电池惯用比能量来衡量其储能能力,单位一般为Wh/kg,与等效比能量Θ的一致。
|
| 图 4 不同动力型式的等效比能量对比 Fig. 4 Comparison of equivalent energy density among different propulsion systems |
从现有技术水平来看,当活塞发动机的Cpower与ηpp分别取0.54 kg/(kW·h)与0.5,Θpst为1 100 Wh/kg;当微型涡喷、脉冲喷气的CT分别取1.5与7.2 kg/(dN·h),在来流速度50、100、150 m/s下,微型涡喷的Θjet分别为335、670、1 005 Wh/kg,脉冲喷气的Θjet分别为70、140、210 Wh/kg;当电动力螺旋桨系统的κbat和ηbp分别为0.5与150,Θbat为75 Wh/kg。对比分析可知:①由于喷气式发动机的耗油率在亚声速的较大范围内变化较小,从持续做功的角度来看,巡飞速度愈快,Θjet愈高;②当巡飞速度较低时(0.1~0.3 Ma),Θpst约是Θjet的2~3倍,但这一优势随着巡飞速度的增加而逐渐削弱;③从等效比能量的角度来看,Θpst约是Θbat的14倍,微型涡喷的Θjet约是Θbat的4.5~13.5倍(V=50~150 m/s),脉冲喷气的Θjet约是Θbat的0.93~3.00倍(V在50~150 m/s范围内)。
3 结论通过对比分析3类动力系统对巡飞弹总体参数的影响形式,可以发现它们的共同点:为了提高电动力、活塞式螺旋桨以及喷气式动力型式巡飞弹的任务载荷重量系数、航时和航程等性能指标,首当其冲地可以通过提高与燃料储存率或转化率有关的性能参数,如电动力系统的储能电池比能量与组合效率,活塞式螺弦桨动力系统的耗油率与螺旋桨效率,微型涡喷与脉冲喷气动力系统的耗油率。
引入等效比能量的概念后,可以发现各动力型式巡飞弹性能差异的根源,然后据此综合作战使用初步给出巡飞弹动力型式的选配原则:
1) 电动力螺旋桨或者涵道系统更为适用于低速(约15~35 m/s)、小区域范围较短时间内的巡飞察打,且动力系统复杂度与成本最低,但可用推力受大气密度影响。
2) 活塞发动机更为适用于低速(约25~100 m/s)、大区域范围内的超长时间巡飞察打,但动力系统复杂度最高,工作稳定性、耗油率以及可用推力受大气密度影响较大。
3) 脉冲喷气发动机更为适用于较短时间内的较大区域的巡飞察打,一般巡飞速度不超过100~150 m/s,且动力系统复杂度与成本偏低。
4) 微型涡喷发动机更为适用于大区域内的快速巡飞察打,尤其是在高亚声速范围内,但是动力系统复杂度与成本偏高。
| [1] | AKRAM G. Loitering munitions:Revolutionizing indirect fire support[J]. RUSI Defence Systems, 2008 (2) : 36 –38. |
| [2] | 郭美芳, 范宁军, 袁志华. 巡飞弹战场运用策略[J]. 兵工学报, 2006, 27 (5) : 944 –947. GUO M F, FAN N J, YUAN Z H. Battlefield operational strategy of loitering munition[J]. Acta Armamentarii, 2006, 27 (5) : 944 –947. (in Chinese) |
| [3] | 庞艳珂, 韩磊, 张民权, 等. 攻击型巡飞弹技术现状及发展趋势[J]. 兵工学报, 2010, 31 (Suppl.2) : 149 –152. PANG Y K, HAN L, ZHANG M Q, et al. Status and development trends of loitering attack missiles[J]. Acta Armamentarii, 2010, 31 (Suppl.2) : 149 –152. (in Chinese) |
| [4] | 彭翠枝, 郭美芳, 樊琳, 等. 巡飞弹用动力装置与技术发展初探[J]. 飞航导弹, 2011 (10) : 84 –88. PENG C Z, GUO M F, FAN L, et al. Preliminary exploration on dvelopment of propulsion systems of loitering munitions[J]. Cruising Missiles, 2011 (10) : 84 –88. (in Chinese) |
| [5] | 秦楠, 马亮, 秦庚申. "弹簧折刀"新型潜射无人机的出现与启示[J]. 舰船电子工程, 2013, 33 (11) : 11 –13. QIN N, MA L, QIN G S. Emergence of new submarine-launched UAV switchblade and its revelations[J]. Ship Electronic Engineering, 2013, 33 (11) : 11 –13. (in Chinese) |
| [6] | FOSS C F. R-90 thrusts smerch into reconnaissance[J]. Jane's Defence Weekly, 1997 (1) : 15 . |
| [7] | ZUGEL K.Loiter attack munition flight test program:AIAA-2003-6644[R].Reston:AIAA, 2003. |
| [8] | RAYMER D P. Aircraft design:A conceptual approach[M]. Reston: AIAA, 1999 : 11 -100. |
| [9] | 刘斌, 马晓平, 王和平, 等. 小型电动无人机总体参数设计方法研究[J]. 西北工业大学学报, 2005, 23 (3) : 396 –400. LIU B, MA X P, WANG H P, et al. Design analysis methodology for electric-powered mini-UAV[J]. Journal of Northwestern Ploytechnical University, 2005, 23 (3) : 396 –400. (in Chinese) |
| [10] | 康桂文, 胡雨, 李亚东, 等. 超轻型电动飞机电动力系统的参数匹配[J]. 航空动力学报, 2013, 28 (12) : 2641 –2647. KANG G W, HU Y, LI Y D, et al. Parameters matching of ultra-light electric aircraft propulsion system[J]. Journal of Aerospace Power, 2013, 28 (12) : 2641 –2647. (in Chinese) |
| [11] | NOTH A.Design of solar powered airplanes for continuous flight[D].Zurich:Swiss Federal Institute of Technology, 2008:17-66. http://www.researchgate.net/publication/251502667_Design_of_Solar_Powered_Airplanes_for_Continuous_Flight |
| [12] | 刘沛清. 空气螺旋桨理论及其应用[M]. 北京: 北京亚洲成人在线一二三四五六区出版社, 2006 : 56 -59. LIU P Q. Theory and application of aerodynamic propeller[M]. Beijing: Beihang University Press, 2006 : 56 -59. (in Chinese) |
| [13] | 赵阳旭, 陈伟博, 刘晓凌, 等. 航空活塞发动机高空台试验性能分析[J]. 航空工程进展, 2013, 4 (3) : 364 –368. ZHAO Y X, CHEN W B, LIU X L, et al. Altitude simulation test analysis for a piston aero-engine[J]. Advanced in Aeronautical Science and Engineering, 2013, 4 (3) : 364 –368. (in Chinese) |
| [14] | 《世界无人机大全》编写组. 世界无人机大全[M]. 北京: 航空工业出版社, 2004 : 1 -116. Write Group of the World's UAVs. The world's UAVs[M]. Beijing: Aviation Industry Press, 2004 : 1 -116. (in Chinese) |
| [15] | 谭汉清. 国外微型涡喷发动机应用现状及未来发展趋势[J]. 飞航导弹, 2013 (3) : 76 –80. TAN H Q. Application situation and developing trends of foreign micro jet[J]. Cruising Missiles, 2013 (3) : 76 –80. (in Chinese) |


