纳米材料由于具有较大的表面积/体积比和量子效应而具有不同于体材料的优异性能。石墨烯作为一种较成功的层状材料,其优异的电子结构、电传导性和较大强度吸引了广大研究者们的注意。但是石墨烯的零带隙这一缺陷严重限制了它在某些领域中的应用。近年来,由于过渡金属硫化物材料(如二硫化钼、二硒化钼、二硫化钨、二硒化钨、二硫化铌等)具有半导体或超导性质,且在纳米级光电子学等领域广泛地应用,因而引起了广大研究者们的兴趣[1-3]。过渡金属硫化物层状材料不仅可应用于电子学领域(晶体管、逻辑元件、传感器和柔性电子学)、能源技术(太阳能电池、氢存储和电池)、先进工程材料(纳米复合材料),而且还可广泛地应用于自旋电子学领域。
当材料的尺寸变成纳米级时,低维材料表面的缺陷如边缘、角落将对材料的性能起主导作用,低维的过渡金属硫化物层状材料由于其具有低维性和量子尺寸效应而具有优异的电子和物理性能。由于过渡金属硫化物材料层与层之间是由弱的范德华力相连接的,因此可以通过实验手段从体材料中制备出低维的过渡金属硫化物材料。过渡金属硫化物体材料的性质是不活泼的,但当它们变成低维结构后显示出较活泼的化学反应性。这是因为其存在的边缘态具有活性位点,对材料的性能会产生显著的影响。
目前,也有许多文献报道了过渡金属硫化物层状材料的一些性能,但是目前仍没有文章系统全面地介绍过渡金属硫化物材料的制备方法、结构和性能。本文主要就过渡金属硫化物层状材料结构、制备及性能进行总结,综述了低维纳米过渡金属硫化物材料性能的特点,并提出边缘态的存在对材料性能的意义,介绍了边缘态磁性能的研究进展,本课题组也研究了二维过渡金属硫化物层状材料的磁性能。
1 过渡金属硫化物层状材料的制备与性能本节主要介绍过渡金属硫化物层状材料的结构、形态、制备方法以及性能。
二硫化钨的结构如图 1[4]所示。由图 1(a)和图 1(b)可见,过渡金属硫化物层状材料包含3个原子层,过渡金属层镶嵌在2个硫原子层中间。每一个过渡金属硫化物层都是六方晶格结构。相应地,通过堆叠单层的过渡金属硫化物材料构成体材料。层内是化学键相连接,层间是范德华力相连接。过渡金属硫化物通过硫族元素和过渡金属元素的组合可以形成40多种不同类型的材料。过渡金属硫化物层状材料的性能依赖于过渡金属原子M和硫族元素X(X=S, Se, Te)。
过渡金属硫化物层状材料具有半导体性、半金属磁性[5]和超导电性[6],因而广泛地应用于光电子学、自旋电子学、催化剂[7]、润滑剂[8]、化学和生物传感器、超级电容器[9]、太阳能电池和锂电池中。过渡金属硫化物层状材料可以衍生出不同形态的材料(纳米管、纳米条带、纳米团簇和纳米颗粒),不同形态具有不同的性能,因而过渡金属硫化物层状材料具有广泛的应用领域。其中,二硫化钼和二硒化钼纳米条带材料具有较高的电荷载流子迁移率[10-11]和较高的开/关比率[12-13]。目前,基于二硫化钼和二硒化钼的半导体器件已经成功制备出来[14-15]。较薄的二硫化钼载体运输对于化学吸附物非常敏感,这种特性使二硫化钼可以应用在化学传感器上[16-17]。
1.1 制备与表征 1.1.1 制备方法由于过渡金属硫化物材料层间是较弱的范德华力,可以沿着层间方向将层剥离。目前已经通过实验手段制备出单层的过渡金属硫化物层状材料,比如微机械剥离技术[18]、大块样品的化学剥离法[18]、物理气相沉积(PVD)[19]、化学气相沉积(CVD)[20],另外,利用水热合成方法[21]在基板上制备出超薄的二硫化钼薄膜[22],并使它们自由悬浮[23]。除此之外,一维的二硫化钼纳米条带可以通过两步电化学/化学方法制备得到[24]。
Novoselov等[25]证实了可以通过微机械剥离的方法制备出较薄的二硫化钼晶体,这是由于层与层之间存在较弱的相互作用和层间较强的相互作用。通过机械剥离法分离出来的二维过渡金属硫化物层状材料是没有点缺陷和扩展缺陷的,这为过渡金属硫化物层状材料大规模的应用提供了技术手段。Coleman等[26]提出了液相剥离的方法,这种方法能够制备出3~12 nm较薄的二硫化钼薄层,对应5~20个单分子层,但是单层的二硫化钼不能用此方法制备出。
将过渡金属硫化物材料分离成单层材料是一个关键的步骤,这关系到分离出来的材料是否具有优异的光学活性并且可否成功应用到器件中。Morrison等[27]报道了通过迫使水合作用可以使锂插入二硫化钼(LixMoS2)中并且分离出单层的二硫化钼,形成一种稳定的胶体悬浮液。虽然LixMoS2的剥离是一种比较简单的制备单层二硫化钼的方法,但是锂插入过程中伴随着相变,发生一些性能的改变。特别是,当锂插入二硫化钼,由于金属性的出现导致半导体性能的丧失。接着,可以克服这个缺点的化学剥离的方法[18]被提出,锂插入能够改变被剥离材料的性能,但是温和的热处理过程能够促使半导体相的恢复。当热处理温度达到300℃时,化学剥离的二硫化钼显示出显著的带隙光致发光性,半导体的性能能够被恢复。如图 1所示有研究者直接通过水热合成法来制备单层的二硫化钨薄膜[4, 28]。另外,声波降解法也大规模地应用在制备过渡金属硫化物层状材料中[26]。这些制备方法的成功应用使单层过渡金属硫化物材料的制备成为可能,因而可以扩大过渡金属硫化物材料的应用领域。
1.1.2 表征方法目前,实验中运用一些测量仪器来研究过渡金属硫化物层状材料的结构和性能。透射电子显微镜和扫描探针显微镜可以用来观察单层或者多层材料的形貌特征。Qiu等[29]利用高分辨透射显微镜对单层二硫化钼的结构进行观测,观察到由单晶二硫化钼剥离得到单层二硫化钼表面的空位缺陷。一些过渡金属硫化物材料比如单层的二硫化钼和二硫化钨是直接带隙的材料,具有荧光性,可以用荧光显微镜[30]来观察。扫描隧道显微镜表征主要倾向于研究过渡金属硫化物材料上面吸附的原子。原子力显微镜已经成为测量过渡金属材料层状材料厚度的一种有效的测量仪器。在一些研究中,拉曼光谱可以用来研究过渡金属硫化物层状材料性能和层数之间的关系。在1.2节、3.3节和3.4节内容的介绍中会涉及到利用测量仪器来研究过渡金属硫化物材料的性能,本节中就不过多介绍。
1.2 材料性能 1.2.1 电子性能第一性原理计算的过渡金属硫化物材料中有绝缘体、半导体、半金属和金属[31-35]。典型的例子是二硫化钼,它是一种半导体材料。体相中,它是一种间接带隙的材料,而它的单层材料却是一种直接带隙的材料[34, 36]。
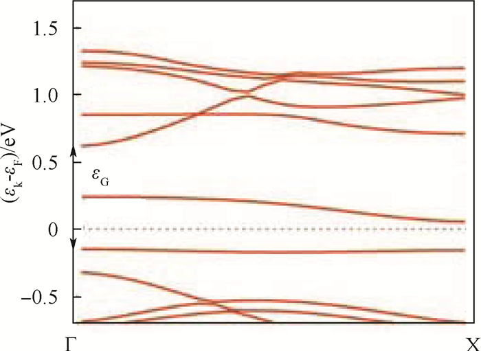
过渡金属硫化物层状材料的能带结构依赖于层数,当体材料厚度减少为多层或者单层时,层状材料的电子性能发生显著的变化。由于过渡金属硫化物材料具有量子效应,因而带隙会随着层数的变化而发生变化[34-37]。一些研究[30, 38]已经证实当二硫化钼材料厚度减少为单层时,间接带隙转变为直接带隙。Kuc等[34]研究了量子效应对单层和多层MS2(M=W,Nb, Re)电子结构的影响。研究发现WS2和MoS2相似,当层数减少时,显示出间接带隙(体材料)到直接带隙的转变。图 2[34]是MoS2和WS2的能带结构,图中箭头由价带顶指向导带底。而NbS2和ReS2是金属性的,其电子性能与层数无关。单层MoSe2和MoTe2也显示出间接带隙到直接带隙的转变,带隙(Δ)大小分别是1.44 eV和1.07 eV[39](1 hartree=27.211 4 eV)。
也有第一性原理研究发现,当材料层数减少时,会引起带隙能量的变化,当从体材料变成单层材料时,MoS2、WS2、MoSe2、WSe2、MoTe2和WTe2带隙能量分别变化了1.14、1.16、0.78、0.64、0.57和0.37 eV,说明过渡金属硫化物层状材料能带带隙是可调节的,这个发现使过渡金属硫化物层状材料可以更好地应用于光电子学器件中[40]。
在过渡金属硫化物材料的电子应用领域,需要通过调整带隙的大小来增加半导体器件的载流子迁移率或者发光二极管器件中的发射效率。这些都可以通过外加电场、化学功能化、纳米图案成形或者外加应变等手段实现,而外加应变是一种改变带隙的有效的手段。第一性原理计算证实二维过渡金属硫化物层状材料的带隙可以通过拉伸、压缩和纯剪切应变来调整[41-45]。理论计算表明,外加应力增大,MoX2和WX2 (X=S,Se,Te)单层和双层的材料能够由直接带隙转化为间接带隙[43, 46]。Yun等[46]运用线性增广平面波法发现拉伸应变能够减少隙能,而压缩应变能够增大隙能。Shi等[45]运用第一性原理计算方法发现二硫化钼的部分能态密度(Desity of States, DOS)图可以通过双轴拉伸来改变。如图 3[45]所示,钼原子d轨道的能态密度图可以通过外加应变显著地改变。此研究通过外加应变调节单层二硫化钼的电子性能,为制备高性能的电子器件提供了思路。另一种手段就是通过外加电场来改变带隙,根据第一性原理计算[47],在外加电场的作用下,带隙能够连续不断地降低到零(由半导体到金属的转变)。由于过渡金属硫化物层状材料是由表面构成的,吸附原子和表面缺陷也能够改变过渡金属硫化物材料的性能。通过对过渡金属硫化物层状材料的功能化,可以使过渡金属硫化物材料表面吸附原子或者产生表面缺陷,因而可以改善材料的性能且扩大其应用领域[48-50]。Ataca和Ciraci[48]研究了单层二硫化钼表面吸附原子的过程,发现吸附不同的原子对单层二硫化钼电子性能会产生不同的影响。进一步地,He等[49]发现吸附H、B、C、N和F原子能够使单层的二硫化钼产生磁矩。Yue等[42]则发现二硫化钼中的硫原子被非金属原子(H、B、N和F)和过渡金属原子(V、Cr、Mn、Fe和Co)取代后能够产生磁矩。通过外加应力、电场及材料功能化等手段,可以使过渡金属硫化物材料的性能发生显著的变化,从而应用到特定的领域。
基于电荷的输运和电子的自旋来制备出自旋电子和谷电子器件。“谷”状结构是指导带底和价带顶处的简并。过渡金属硫化物如二硫化钼由于具有自旋轨道耦合以及对称结构破缺,导致了K谷和K′谷对左旋和右旋圆偏振光的吸收具有选择性,因此在自旋电子学和谷电子学等领域具有广泛的应用。图 4[51]表示价带顶和导带底。在二硫化钼的第一布里渊区内,不同自旋(+和-)会和非等值点K+、K-发生耦合。
要制备出谷电子器件,关键是实现所谓的谷极化。迄今为止,通过产生特定的能谷来产生能谷极化是比较困难的。谷极化是通过圆偏振光激发, 由于光学选择性,给定的圆偏振光只能激发出自旋向上或者自旋向下的光子。Zeng等[52]对2层的二硫化钼进行实验,由于存在反转对称,在布里渊区K和K′处发生简并,所以没有谷极化出现,但在单层的二硫化钼中发现了谷的旋光选择性。Feng等[51]从实验和理论上证实了单层二硫化钼的谷选择圆偏振光吸收性质,这项研究表明单层二硫化钼的能带在六边形布里渊区的顶点附近拥有“谷”状结构(见图 4[51]),而相邻点的谷并不等价,它们分别吸收左旋光和右旋光,其选择性近乎完美。这项研究首次发现了材料中谷的旋光选择性,单层二硫化钼实现了谷极化,说明过渡金属硫化物材料在自旋电子学和谷电子学领域具有较好的发展前景。二硫化钼没有空间反演中心,第一性原理计算表明,自旋轨道耦合会使价带发生劈裂[53-54]。由于自旋-谷耦合,根据对称性,劈裂后的能带分为自旋向上和自旋向下,时间反演性决定了不同谷中的劈裂必然相反,价带顶的自旋劈裂决定了谷的旋光选择性依赖于自旋自由度[55]。自旋自由度和谷自由度的耦合图如图 5[55]所示。图 5中实线代表沿着面外自旋向下的能带,虚线代表沿着面外自旋向上的能带。
过渡金属硫化物材料具有优异的光学性能, 在光探测和光致发光等领域广泛地应用。研究发现体材料的二硫化钼光致发光性不明显,而单层的二硫化钼具有较强的光致发光性[18], 因而单层二硫化钼可以应用于太阳光电板、光电探测器和光电发射器中[38]。过渡金属硫化物材料的光致发光性与层厚度有密切的联系。有研究[30]发现随着过渡金属硫化物层状材料层数的降低,光致发光性增强,而单层的光致发光性是最强的。Zhao等[56]研究了不同层数(n=1, 2, …, 5)机械剥离的二硫化钨和二硒化钨的光吸收和光致发光性。图 6[56]中1L表示机械剥离成一层的二硫化钨,2L表示机械剥离成2层的二硫化钨,以此类推。二硫化钨在625和550 nm出现电子吸收峰(A和B),二硒化钨在760和600 nm处出现电子吸收峰(A和B),当层厚度降低时,所有的吸收峰逐渐蓝移。图 6(c)和图 6(d)表示机械剥离二硫化钨的荧光图像。从图 6(c)和图 6(d)中可以看出二硫化钨和二硒化钨从双层变为单层时,光致发光性增强。利用拉曼光谱研究单层二硫化钨的光致发光性,单层二硫化钨在1.9 eV和2.0 eV之间出现光致发光性峰,这与直接带隙转变产生的激发有关[57]。对于二硫化钨,有研究发现在单层的三角形边缘处光致发光性增强,强度比内部原子区域增强了25~40倍,这个发现促进了单层过渡金属硫化物材料光电性质调节的研究[28]。另外,过渡金属硫化物也广泛地应用在光探测器上,而对二硒化钨进行光探测的研究,发现响应比二硫化钼有3个数量级的提高,显示出巨大的优异性[58]。过渡金属硫化物优异的光学性质为其在光电子学领域的应用奠定了基础。
与石墨烯相似,二维过渡金属硫化物材料也是一种较薄的具有内在柔韧性的力学材料,从而在力学领域具有良好的前景。
Bertolazzi等[59]通过原子力显微镜对二硫化钼薄膜进行纳米压痕实验来测量单层和多层二硫化钼的强度和断裂强度。图 7[59]为悬浮二硫化钼板的纳米压痕。如图 7(a)和图 7(b)所示,在二氧化硅/硅基板上面通过转移较薄的二硫化钼片到一排微制备出来的圆形孔上面来制备出二硫化钼薄膜。如图 7(c)所示,在压痕实验中,原子力显微镜的尖端压在二硫化钼薄膜的中央,检测悬臂挠度,得到了力F和薄膜挠度δ的曲线。薄膜进一步被弯曲达到断裂点,检测到断裂发生时的力(见图 7(c))。在断裂发生时,在薄膜的中间会产生孔洞,也就是在原子力显微镜尖端刺破二硫化钼薄膜的位置。图 7(d)和图 7(e)是在拉伸和断裂实验前和后二硫化钼间歇接触的原子力显微照片。实验发现单层二硫化钼的弹性模量约为70 GPa, 高于钢铁的弹性模量(约为205 GPa),该研究结果说明单层二硫化钼可以应用于复合材料的增强体和柔性电子器件等领域。Li[41]通过第一性原理研究发现超薄的二硫化钼片弹性模量约为250 GPa,进一步说明过渡金属硫化物材料具有优异的机械性能。
1.2.5 摩擦性能由于过渡金属硫化物层状材料层内由较强的化学键相连接,层间由较弱的范德华力相连接,因而具有较低的剪切阻力和摩擦系数,像二硫化钼和二硫化钨纳米结构可以作为润滑剂。据报道二硫化钼的摩擦系数在超高真空条件下量级是10-3。在一般环境条件下,测量出的摩擦系数范围为0.01~0.1[60]。因此,过渡金属硫化物材料作为润滑材料可以广泛应用于超真空和车的动力系统中。
1.2.6 热性能对过渡金属硫化物材料热性能的研究有利于其在热学器件中的应用。过渡金属硫化物材料具有较优异的热学稳定性,在高温下依然能保持较好的热稳定性,不发生分解,因而可以应用于高温器件中。另外,过渡金属硫化物材料具有优异的热力学传导性,Varshney等[61]发现二硫化钼具有热力学传导性质,但是Yan等[62]发现二硫化钼的热力学传导性比石墨烯的要低。为了解决这个问题,Zhang等[63]构造二硫化钼/石墨烯纳米片板,发现热传导性比单独的二硫化钼材料要好, 此研究成果说明可以通过构造异质结结构来调节功能器件的热传导性。2014年Huang等[64]运用第一性原理研究了二硫化钼和二硒化钨的热电性能,其研究结果说明过渡金属硫化物材料是一种具有前景的热电材料。
1.2.7 储能性能储能器件像锂硫电池或者超级电容器,对于便携电子设备、电动汽车和智能电网具有重要的意义。而过渡金属硫化物材料像二硫化钼在能量储存方面已经显示出巨大的优异性。最近,锂硫电池由于具有低成本、较高的比容量(1 673 mA·h/g)和较高的理论比能量(2 600 W·h/kg)[65-66]可以用于便携电子设备和电子运输中[67]。但是,Li2S具有一些缺点,比如Li2S绝缘性质以及锂聚硫物(Li2Sm, m=4~8)会溶解于电解液中,导致能量的损失和低的库伦效率,为了解决这个问题,需要寻找一种传导性的材料将Li2S阴极材料封装起来。Cui课题组[68]首次证实了二维过渡金属硫化物由于与Li2S之间具有较强的相互作用,对锂硫电池的阴极材料来说是一种有效的封装材料,克服了以往碳基材料存在的缺陷,为过渡金属硫化物材料应用于高容量电极的封装材料提供了可能。但是位点与硫原子结合能之间的关系还不明确,理解晶体位点与探究晶体表面原子位点的活性以及暴露程度对于可循环能源储存具有重要的意义, 而研究聚硫和不同晶体位点的结合对于控制聚硫沉积十分关键,为容量损失的控制提供了思路。图 8[69]是Li2S沉积在二硫化钼不同位点的示意图。结合能是指Li2S与二硫化钼不同位点结合成键所产生的键能。Cui课题组[69]运用二维二硫化钼研究在锂硫电池和析氢反应中边缘的电化学选择性能。如图 8所示,二硫化钼钼边缘和硫边缘具有悬键而与Li2S相互作用比较强。该研究从理论和实验角度说明二维材料不同位点化学反应性的不同,为更好地提高理论电池的性能提供了途径。
在锂硫电池里引入粘结材料来改善电池的性能,而有研究发现过渡金属硫化物材料可以作为粘结材料[70]。但是目前还不能对粘结材料和Li2Sm间的相互作用进行微观观察,现阶段粘结材料的选择还是主要靠经验。虽然也有人利用简化的锂硫电池做过一些计算模拟,但是还不能对其作用机理做清晰的描述[71-72]。图 9[73]是Li-S化合物在6个不同的锂化阶段(S8、Li2S8、Li2S6、Li2S4、Li2S2和Li2S)于不同的锚定材料上的结合能(Eb)示意图。在吸附未锂化的S8时,相比于石墨烯上的吸附情况,这些锚定材料的结合能基本相同(0.75~0.85 eV)。但只要锂化过程一开始,不同的材料就会产生差别明显的锚定效果。根据结合能大小的不同,这些材料可被归类为3种:氧化物(V2O5、MoO3),硫化物(TiS2、ZrS2、VS2、NbS2和MoS2)和氯化物(TiCl2、ZrCl2),并可被分别视作具有强的、中等强度的和弱的相互作用的锚定材料,而它们的结合能分别处在2.0~4.2 eV、0.8~2.0 eV和0.4~0.8 eV的范围内。对于强的和中等强度的锚定材料,它们锂化过程中结合能的变化具有相同的趋势。对于强的锚定材料,结合能会随着锂化过程的进行而增大;对于中等强度的锚定材料,在Li2S6处结合能达到最小值,并在之后逐渐增大。强的和中等强度的锚定材料都显示出了具有与碳基石墨烯锂化过程结合能逐渐降低相反的趋势。另一方面,效果弱的锚定材料的锚定效果与石墨烯类似。Zhang课题组[73]研究了二维过渡金属硫化物层状材料对锂硫电池的粘结效应,对粘结材料与Li2Sm分子在不同锂化阶段的结合能进行了系统的计算模拟。从图 9[73]中可以看出,过渡金属硫化物材料结合能处于0.8~2.0 eV,为中等强度的粘结材料,其结合能在Li2S6处达到最低,之后逐渐增大。锂硫基团的分解意味着锂原子倾向于独立存在,而不是与硫原子成键,从而导致这2种元素的分离。这种结构上的破坏削弱了硫元素的作用,而硫元素是正极材料中的活性物质。锂硫键的削弱将会引起Li2Sm分子中锂原子和硫原子的分离,使它们分别形成Li+和S2-, 并最终使硫元素溶解在电解液中。因此,诸如V2O5和MoO3结合能大于2.0 eV,过强的粘结材料并不是较好的选择,相比较而言,过渡金属硫化物材料能够在结合强度和保持Li2Sm的完整性间取得平衡,是比较优异的粘结材料。该研究为之后锂硫电池性能的改善提供了理论支持。另一方面,在过渡金属硫化物材料层间插入碱离子(Li+、Na+和K+)可以改善过渡金属硫化物材料的性能,这种方法已经广泛地应用于能量储存领域[74]。Cui课题组[75]研究了在二硫化钼层间插入锂离子来调节二硫化钼化学和物理性能,重点介绍了通过调节层间锂原子的浓度来调节二硫化钼的性能,并解释锂化过程二硫化钼光学性能和电传导性能增强的原因。该研究有利于更好地理解锂插入过程和反复锂插入和脱嵌引起二硫化钼结构的改变,有力地解释了二硫化钼薄膜的容量损失,并阐明了基于二硫化钼能量储存器件性能提高的机理,反向研究提高过渡金属硫化物材料性能,为其在能量储存领域更好的应用提供了途径。
低维的纳米条带结构由于具有优异的性能和广泛的应用,引起了广大研究者的注意。过渡金属硫化物层状材料具有不同的形态,比如纳米管、纳米团簇、纳米条带、纳米片和类富勒烯的纳米颗粒等。由于过渡金属硫化物材料衍生出来的结构十分丰富,因而具有许多优异的性能,可以广泛地应用于各种领域。下面简要介绍一下过渡金属硫化物材料的几种形态。
2.1 过渡金属硫化物纳米管过渡金属硫化物纳米管和碳纳米管[74]的形态相似,在矿物质的沉积过程中[76]能够形成过渡金属硫化物纳米管的结构。第一个合成出来的过渡金属硫化物纳米管是Tenne等[77]于1992年合成出来的二硫化钨纳米管。有研究发现,过渡金属硫化物层具有较大的倾向形成纳米管的结构[78]。
2.2 过渡金属硫化物纳米团簇有限尺寸的纳米团簇可以合成或者从过渡金属硫化物材料中切割出来。有研究[18]发现在Au(111)上可以合成二硫化钼纳米团簇,成三角形形状。过渡金属硫化物材料不同于石墨烯,不是由同一种元素构成,所以不可能切割成矩形边缘以相同原子终止的纳米团簇,而三角形的纳米团簇结构是最简单的,而且能够具有同种边缘。实验上发现三角形纳米团簇以相同的边缘终止是最稳定的结构。体材料切割的六边形的二硫化钼团簇具有钼边缘和硫边缘的模型,如图 10[18]所示。三角形纳米团簇可以以钼边缘或者硫边缘终止,裸露的钼边缘具有悬键,能量上不稳定,而且从实验角度制备不出来具有裸露钼边缘的纳米团簇,在硫原子过量的情况下,硫原子可以饱和这些悬键,这样钼边缘可以具有50%的硫覆盖率或者100%的硫覆盖率。纳米团簇另一个特性就是特定尺寸的纳米团簇是比较稳定的。实验中,边缘钼原子的个数为偶数时的纳米团簇可以制备出来(l=6, 8, 10, 12)。这种特性是由于边缘上过多的硫原子饱和钼原子的悬键,过多的硫原子就会形成二聚体,导致边缘发生重构,而二聚体是以倍数增长的形式进行重构,所以只有当二聚体的个数为偶数时才能发生重构,每一个二聚体连接一个钼原子,所以钼原子的个数也为偶数[19]。
过渡金属硫化物纳米条带是宽度小于100 nm的条带结构。纳米条带的结构可以用于纳米器件的制造。近年来,有一些研究者研究了超薄纳米条带的制备方法。Liu等[79]通过电子束辐射制备出较窄的二硫化钼纳米条带。Helveg等[80]通过扫描电子显微镜发现Au(111)基体上可以生长出单层的二硫化钼。大量的研究报道发现纳米条带的性能依赖于边缘态,所以在第3节中,主要介绍边缘态对过渡金属硫化物纳米团簇或者纳米条带性能的影响。
3 过渡金属硫化物层状材料边缘态当过渡金属硫化物层状材料变成纳米条带或者三角形的纳米团簇的结构时,由于边缘态的存在,材料的性能发生显著的变化。
3.1 边缘态的稳定性图 11为二硫化钼纳米条带计算的边缘态能量[81]。图中:ac-u为不对称的扶手椅形二硫化钼边缘,ac-s为对称的扶手椅形二硫化钼边缘,zz-u为不对称的之字形二硫化钼边缘,zz-s为对称的之字形二硫化钼边缘,zz-Mo-u为不对称的以钼原子终止的之字形二硫化钼边缘,zz-Mo-s为对称的以钼原子终止的之字形二硫化钼边缘,zz-S-u为不对称的以硫原子终止的之字形二硫化钼边缘,zz-S-s为对称的以硫原子终止的之字形二硫化钼边缘。从图 11中可以看出纳米条带边缘态的稳定性依赖于手征性和对称性。根据第一性原理的计算,在不考虑氢饱和度的情况下,硫终止的之字形纳米条带是最稳定的,可以看出硫终止的具有对称性的之字形纳米条带的边缘态能量比其他的纳米条带的能量都要低,因而可以推测出硫原子终止方式可以稳定边缘态[81]。另外一种稳定边缘态的方式就是通过氢饱和边缘的悬键,来稳定纳米条带的边缘态。从图中可以看出氢饱和的纳米条带比没有氢饱和的条带能量更低,也更稳定。为了研究纳米条带稳定性和纳米条带宽度之间的关系,Li等[82]计算了纳米条带的键能,进而得到纳米条带的稳定性。图 12[82]给出了纳米条带键能和纳米条带宽度的曲线。图中:p为MoS2三角形条带边缘Mo原子的个数。之字形和扶手椅形纳米条带随着宽度的上升键能单调上升,而之字形纳米条带的结合能比扶手椅形纳米条带的高,进一步证实了Pan和Zhang[81]之字形二硫化钼纳米条带更稳定的结论。
过渡金属硫化物纳米条带的电子态依赖于它的边缘结构。从实验的角度,在金基板上三角形的二硫化钼纳米团簇边缘处在扫描电镜下呈现金属电子态[19, 80]。Bollinger等[83]通过扫描隧道显微镜(STM)发现单层的二硫化钼三角形纳米微粒(约为10 nm2)在边界呈现局域态。如图 13[83]所示,浅色的边缘具有金属性,在图中,对于比较连续的边缘态可以观察到纳米尺寸的金属性的封闭的线路。根据计算的能量[84],在H2S过量的情况下,Mo边缘吸附S原子二聚体最可能存在的均衡边缘结构。通过第一性原理对单层二硫化钼进行第一性原理的计算,发现是由于Mo边缘存在过多的S原子,所以单层二硫化钼呈现金属性。
另外,Li和Galli[85]计算得到堆叠起来多层的二硫化钼纳米线的边缘态具有金属性。而Ataca等[86]得到裸露的二硫化钼扶手椅形纳米条带具有半导体性质,且在氢气饱和的情况下带隙变大。Humberto等[28]计算了二硫化钨的部分能态密度图,结果发现边缘态是金属性的,而内部区域是半导体性。
需要特别强调的是,边缘态的性质对边缘态的结构非常敏感,根据第一性原理计算,钼边缘吸收硫单体呈现的是半导体性,而吸收的是硫二聚体则呈现为金属性。如图 14[37]所示,有研究已经发现电子结构受边缘的构型和覆盖率的影响,这为电子结构的调节又提供了一条思路[87]。
一些研究发现也证实了过渡金属硫化物层状材料的边缘态对性能具有重要的作用,且边缘态影响费米能附近的能带。由于边缘态的存在,过渡金属硫化物材料电子性能在外界刺激下会发生相应的变化。Dolui等[88]的研究表明了二硫化钼纳米条带边缘态的存在,其扶手椅形的带隙在外加横向电场作用下显著地下降,并且在特定的临界场值发生了金属-绝缘体的转变。
3.3 边缘态的催化活性加氢脱硫反应多年来一直是催化剂领域的一个研究热点。加氢脱硫反应是将精炼石油产物(汽油、喷气燃料和柴油)脱去硫的化学催化过程。过渡金属硫化物材料比如二硫化钼和二硫化钨可以广泛地应用于脱氢加硫反应[89]。而加氢脱硫反应研究的重点是确定催化剂结构和加氢脱硫活性之间的关系。一般认为活性位点位于边缘态并且和边缘上不饱和原子有关。通过原子力扫描隧道显微镜和第一性原理相结合的方法证实了二硫化钼存在化学反应活性是由于边缘态的存在[90]。运用一些原位技术,例如扩展X射线吸收精细结构来研究二硫化钼小的团簇,也发现了边缘态存在活性位点[91-92]。也有研究用氧气、一氧化碳和一氧化氮作为探针分子来探测到活性位点,也证实了活性位点位于二硫化钼结构的边缘[93-94]。
电化学析氢反应被看作是可持续生产氢气的手段[95]。在电催化反应中,发现二硫化钼纳米结构的边缘态在析氢反应中具有活性[96]。目前,二硫化钼被看作是一种可用于电催化析氢反应中具有前景性的材料[97]。虽然,应用比较广泛的电催化析氢反应的催化剂是铂,但是二硫化钼价廉、丰富,可以代替铂应用于电催化析氢反应中。二硫化钼体材料是一种催化性能较差,而低维的二硫化钼团簇在基体(如金[98]、石墨[99]、氧化石墨烯[100])是一种比较优异的电催化析氢反应的催化剂。二硫化钼已经被证实其边缘态在电催化析氢反应中具有反应活性。对于其他的过渡金属硫化物材料,像二硫化钨、二硒化钼和二硒化钨也有研究发现它们在类似的电催化析氢反应过程中具有活性[101-103]。这些研究成果的发现为过渡金属硫化物材料在催化剂领域的应用提供了可能。
3.4 边缘态的磁性能一些研究发现磁矩产生在二硫化钼纳米团簇、纳米颗粒和纳米条带中。一般来说,磁性产生主要有2种原因,一种是材料表面存在大量的点缺陷,另一种是材料具有边缘态。金属空位附近存在高密度的自旋态[39]。纳米团簇的磁性能分析得出磁性主要来源于边缘态的不饱和原子。
之前对非磁性过渡金属硫化物材料的研究主要集中在通过化学功能化[48]、对二维过渡金属硫化物层状材料施加应力[104]和外加电场[3]等手段来引发磁矩。另外也有研究发现过渡金属硫化物层状材料中产生空位也会导致磁矩的产生[105]。实验中运用一些外加手段可以在过渡金属硫化物层状材料中引起缺陷,像离子辐射能够在材料中引入大量的缺陷,进而改变材料的结构和磁学性能。研究发现[106],室温条件下二硫化钼在2 MeV质子束作用下能够显示出磁序,这个发现说明可以利用活性离子调节过渡金属硫化物材料的性能。
除了外界条件引发产生缺陷和空位外,边缘态的存在对磁性的影响也得到了广泛地研究。理论计算[107]表明三维的(MoS2)q中Mo6S8是具有磁性的。图 15 [108]是不同厚度和形态的磁滞回线,H为磁场强度。单晶二硫化钼在相似测试条件下显示出无磁性的状态,较厚的样本I具有较厚的边缘。而较薄的样本II是较薄的纳米片具有高密度边缘态。结果表明样本II比样本I具有较强的磁性强度。Zhang等[108]通过不规则的纳米晶体合成了二硫化钼薄膜,在室温条件下呈现出铁磁响应。作者认为滞后曲线非空矫顽磁场是由于纳米微粒边缘存在大量的自旋态。而这个结果说明边缘态的存在能够影响材料的电子、磁学和化学性能,因而纳米材料可以应用于更广泛的领域。Zhang等[108]还对三角形团簇不同覆盖率的模型进行了自旋计算,结果发现钼边缘0硫覆盖率和硫边缘100%硫覆盖率的情况具有磁性,而磁性的存在主要与边缘自旋态有关。Zhang等[108]的研究说明边缘态的种类和覆盖率都会对磁性产生影响。
实验中,由于磁力显微镜(MFM)具有和原子力显微镜类似的纳米尺度的分辨率,可以观察到纳米级的磁畴,所以运用磁力显微镜可以观察到微米级和纳米级的磁性和非磁性的响应。有研究者用磁力显微镜来表征机械剥离的单层和多层的二硫化钼和石墨烯纳米条带。通过分析相和振幅的改变发现单层或者多层的二硫化钼和石墨烯纳米条带具有磁信号响应,当二硫化钼和石墨烯的厚度超过一定值后,就会变成非磁性状态[109]。也有实验进一步指出是由于在二硫化钼材料中存在边缘态才会出现磁信号响应[110]。图 16[109]是二硫化钼和石墨烯纳米条带的磁力显微镜的相图。通过分析,二硫化钼和石墨烯的磁性响应依赖于层数。
除此之外,第一性原理计算[81-82]表明二硫化钼纳米条带之字形边缘呈现铁磁性,扶手椅形呈现非磁性,而有研究发现[111]扶手椅形纳米条带在氢饱和情况下呈金属性,且具有磁性。并且它们的磁性可以通过一些手段进行调整,比如外加电场、弹性力或者引入一些缺陷等[56, 88, 112-114]。进一步,有研究者对纳米条带的边缘用氢气进行钝化处理后,发现硫边缘在加氢脱硫反应的条件下仍然显示磁性[114]。Pan等[56]研究了应变效应对二硫化钼纳米条带磁性能的影响,在外加应变作用下,之字形边缘的磁性能提高,这为边缘态磁性能的调节提供了思路。随后,有研究者通过调整应力和电场的组合效应来调整二硫化钼之字形边缘的磁性能[113]。基于之前的研究,应力和电场的组合效应对扶手椅形二硫化钼纳米条带磁性的影响也被提出来[115]。
文献[105-108]的研究对象主要集中在二硫化钼材料上,文献[116]发现对化学气相沉积的方法制备出的具有边缘态的二硒化钼纳米片进行磁性能的研究,测试结果显示测试样品在室温条件下磁化强度为1.4 emu·g-1,磁滞行为达到了700 K说明其具有较强的铁磁性,且具有较高的居里温度。另外,作者也运用第一性原理自旋极化计算得到二硫化钼纳米片铁磁性磁矩是由于之字形边缘的存在。这个结果说明具有高密度边缘自旋的二硒化钼纳米片也可以用于制作自旋电子器件[116]。也有研究者[18]对制备出来的二硫化钨纳米层状材料进行研究,发现二硫化钨纳米层状材料具有铁磁性,室温下饱和磁化强度(MS)达到了0.005 8 emu·g-1,矫顽磁场为92 Oe。
文献[4, 116]已经比较全面地探究了磁性产生的原因,边缘态原子不饱和,配位不同于内层原子,因而边缘态原子呈现磁性。二硒化钼之字形边缘的自旋密度图 17[106]所示,从自旋密度分布图中可以看出磁矩主要产生在边缘的钼原子和硒原子上。图 18[28]是长方形二硫化钨纳米片之字形边缘的能态密度。对具有磁性的二硫化钨进行总能态密度分析,发现在费米能附近自旋向上和自旋向下不对称(如图 18(a)所示),因此说明二硫化钨纳米层状材料具有磁性。对边缘硫原子和钨原子进行分波态密度分析,如图 18 (b)和图 18(c)所示,发现在费米能附件硫原子的3p轨道和钨原子的5d轨道出现劈裂,进一步证实边缘原子对纳米层状材料的磁性有贡献[4]。另外,也有第一性原理计算[43]对边缘磁矩分布进行分析,发现磁性主要产生在边缘钼原子的4d轨道和硫原子的3p轨道。不饱和的自旋态主要集中在边缘的钼原子和硫原子上。
1)以二硫化钼为代表的过渡金属硫化物层状材料由于具有电子性能、光学性能和机械性能等而成为应用于纳米电子学和光电子学领域的新一代材料。
2)过渡金属硫化物层状材料纳米条带可以通过实验的方法得到,这使得纳米条带应用于更广的领域。
3)过渡金属硫化物材料可以衍生出不同形态的材料,因而具有更加广泛的应用。
4)边缘态的存在能够影响低维层状材料的性能,使其与体材料的性能具有明显的差异,因而引起广大研究者的注意。
本文介绍了过渡金属硫化物层状材料近年来的研究热点,重点放在低维纳米过渡金属硫化物层状材料边缘态对性能的影响,其中,边缘态磁性能的研究已经成为当今的研究热点,边缘态磁性能的研究为过渡金属硫化物材料应用于自旋电子学领域提供了支持。
| [1] | WOLF S A, AWSCHALOM D D, BUHRMAN R A, et al. Spintronics:A spin-based electronics vision for the future[J]. Science, 2001, 294 (5546) : 1488 –1495. DOI:10.1126/science.1065389 |
| [2] | HUANG J, DONG Z, LI Y, et al. MoS2 nanosheet functionalized with Cu nanoparticles and its application for glucose detection[J]. Materials Research Bulletin, 2013, 48 (11) : 4544 –4547. DOI:10.1016/j.materresbull.2013.07.060 |
| [3] | NOVOSELOV K S, GEIM A K, MOROZOV S V, et al. Electric field effect in atomically thin carbon films[J]. Science, 2004, 306 (5696) : 666 –669. DOI:10.1126/science.1102896 |
| [4] | HUO N, LI Y, KANG J, et al. Edge-states ferromagnetism of WS2 nanosheets[J]. Applied Physics Letters, 2014, 104 : 202406 . DOI:10.1063/1.4875582 |
| [5] | SHISHIDOU T, FREEMAN A J, ASAHI R. Effect of GGA on the half-metallicity of the itinerant ferromagnet CoS2[J]. Physical Review B, 2001, 64 (18) : 180401 . DOI:10.1103/PhysRevB.64.180401 |
| [6] | TAKADA K, SAKURAI H, TAKAYAMA-MUROMACHI E, et al. Superconductivity in two-dimensional CoO2 layers[J]. Nature, 2003, 422 (6927) : 53 –55. DOI:10.1038/nature01450 |
| [7] | MENG F, LI J, CUSHING S K, et al. Solar hydrogen generation by nanoscale p-n junction of p-type molybdenum disulfide/n-type nitrogen-doped reduced graphene oxide[J]. Journal of the American Chemical Society, 2013, 135 (28) : 10286 –10289. DOI:10.1021/ja404851s |
| [8] | LEE C, LI Q, KALB W, et al. Frictional characteristics of atomically thin sheets[J]. Science, 2010, 328 (5974) : 76 –80. DOI:10.1126/science.1184167 |
| [9] | FENG J, SUN X, WU C, et al. Metallic few-layered VS2 ultrathin nanosheets:High two-dimensional conductivity for in-plane supercapacitors[J]. Journal of the American Chemical Society, 2011, 133 (44) : 17832 –17838. DOI:10.1021/ja207176c |
| [10] | RADISAVLJEVIC B, RADENOVIC A, BRIVIO J, et al. Single-layer MoS2 transistors[J]. Nature Nanotechnology, 2011, 6 (3) : 147 –150. DOI:10.1038/nnano.2010.279 |
| [11] | PERERA M M, LIN M W, CHUANG H J, et al. Improved carrier mobility in few-layer MoS2 field-effect transistors with ionic-liquid gating[J]. ACS Nano, 2013, 7 (5) : 4449 –4458. DOI:10.1021/nn401053g |
| [12] | CHANG M H, CHEN C J, LAI M S, et al. Universal hepatitis B vaccination in Taiwan and the incidence of hepatocellular carcinoma in children[J]. New England Journal of Medicine, 1997, 336 (26) : 1855 –1859. DOI:10.1056/NEJM199706263362602 |
| [13] | LARENTIS S, FALLAHAZAD B, TUTUC E. Field-effect transistors and intrinsic mobility in ultra-thin MoSe2 layers[J]. Applied Physics Letters, 2012, 101 (22) : 223104 . DOI:10.1063/1.4768218 |
| [14] | CHAMLAGAIN B, LI Q, GHIMIRE N J, et al. Mobility improvement and temperature dependence in MoSe2 field-effect transistors on parylene-C substrate[J]. ACS Nano, 2014, 8 (5) : 5079 –5088. DOI:10.1021/nn501150r |
| [15] | WABG H, YU L, LEE Y H, et al. Integrated circuits based on bilayer MoS2 transistors[J]. Nano Letters, 2012, 12 (9) : 4674 –4680. DOI:10.1021/nl302015v |
| [16] | LI H, YIN Z, HE Q, et al. Fabrication of single-and multilayer MoS2 film-based field-effect transistors for sensing NO at room temperature[J]. Small, 2012, 8 (1) : 63 –67. DOI:10.1002/smll.201101016 |
| [17] | PERKINS F K, FRIEDMAN A L, COBAS E, et al. Chemical vapor sensing with monolayer MoS2[J]. Nano Letters, 2013, 13 (2) : 668 –673. DOI:10.1021/nl3043079 |
| [18] | EDA G, YAMAGUCHI H, VOIRY D, et al. Photoluminescence from chemically exfoliated MoS2[J]. Nano Letters, 2011, 11 (12) : 5111 –5116. DOI:10.1021/nl201874w |
| [19] | LAURITSEN J V, KIBSGAARD J, HELVEG S, et al. Size-dependent structure of MoS2 nanocrystals[J]. Nature Nanotechnology, 2007, 2 (1) : 53 –58. DOI:10.1038/nnano.2006.171 |
| [20] | ZHAN Y, LIU Z, NAJMAEI S, et al. Large-area vapor-phase growth and characterization of MoS2 atomic layers on a SiO2 substrate[J]. Small, 2012, 8 (7) : 966 –971. DOI:10.1002/smll.v8.7 |
| [21] | PENG Y, MENG Z, ZHONG C, et al. Hydrothermal synthesis and characterization of single-molecular-layer MoS2 and MoSe2 and MoSe2[J]. Chemistry Letters, 2001, 8 (772) : 773 . |
| [22] | SALVATORE G A, MVNZENRIEDER N, BARRAUD C, et al. Fabrication and transfer of flexible few-layers MoS2 thin film transistors to any arbitrary substrate[J]. ACS Nano, 2013, 7 (10) : 8809 –8815. DOI:10.1021/nn403248y |
| [23] | WU J, LI H, YIN Z, et al. Layer thinning and etching of mechanically exfoliated MoS2 nanosheets by thermal annealing in air[J]. Small, 2013, 9 (19) : 3314 –3319. |
| [24] | LI Q, NEWBERG J T, WALTE E C, et al. Polycrystalline molybdenum disulfide (2H-MoS2) nano-and microribbons by electrochemical/chemical synthesis[J]. Nano Letters, 2004, 4 (2) : 277 –281. DOI:10.1021/nl035011f |
| [25] | NOVOSELOV K S, JIANG D, SCHEDIN F, et al. Two-dimensional atomic crystals[J]. Proceedings of the National Academy of Sciences of the United States of America, 2005, 102 (30) : 10451 –10453. DOI:10.1073/pnas.0502848102 |
| [26] | COLEMAN J N, LOYTA M, O'NEILL A, et al. Two-dimensional nanosheets produced by liquid exfoliation of layered materials[J]. Science, 2011, 331 (6017) : 568 –571. DOI:10.1126/science.1194975 |
| [27] | JOENSEN P, FRINDT R F, MORRISON S R. Single-layer MoS2[J]. Materials Research Bulletin, 1986, 21 (4) : 457 –461. DOI:10.1016/0025-5408(86)90011-5 |
| [28] | GUTIÉRREZ H R, PEREA-LÓPEZ N, ELÍAS A L, et al. Extraordinary room-temperature photoluminescence in triangular WS2 monolayers[J]. Nano Letters, 2013, 13 (8) : 3447 –3454. DOI:10.1021/nl3026357 |
| [29] | QIU H, XU T, WANG Z, et al. Hopping transport through defect-induced localized states in molybdenum disulphide[J]. Nature Communications, 2013, 4 : 2642 –2647. |
| [30] | SPLENDIANI A, SUN L, ZHANG Y, et al. Emerging photoluminescence in monolayer MoS2[J]. Nano Letters, 2010, 10 (4) : 1271 –1275. DOI:10.1021/nl903868w |
| [31] | ATACA C, SAHIN H, CIRAC S. Stable, single-layer MX2 transition-metal oxides and dichalcogenides in a honeycomb-like structure[J]. The Journal of Physical Chemistry C, 2012, 116 (16) : 8983 –8999. DOI:10.1021/jp212558p |
| [32] | DING Y, WANG Y, NI J, et al. First principles study of structural, vibrational and electronic properties of graphene-like MX2 (M=Mo, Nb, W, Ta;X=S, Se, Te) monolayers[J]. Physica B:Condensed Matter, 2011, 406 (11) : 2254 –2260. DOI:10.1016/j.physb.2011.03.044 |
| [33] | KOBAYASHI K, YAMAUCHI J. Electronic structure and scanning-tunneling-microscopy image of molybdenum dichalcogenide surfaces[J]. Physical Review B, 1995, 51 (23) : 17085 –17095. DOI:10.1103/PhysRevB.51.17085 |
| [34] | KUC A, ZIBOUCHE N, HEINE T. Influence of quantum confinement on the electronic structure of the transition metal sulfide TS2[J]. Physical Review B, 2011, 83 (24) : 2237 –2249. |
| [35] | LIU L, KUMAR S B, OUYANG Y, et al. Performance limits of monolayer transition metal dichalcogenide transistors[J]. IEEE Transactions on Electron Devices, 2011, 58 (9) : 3042 –3047. DOI:10.1109/TED.2011.2159221 |
| [36] | LEBEGUE S, ERIKSSON O. Electronic structure of two-dimensional crystals from ab initio theory[J]. Physical Review B, 2009, 79 (11) : 115409 –115409. DOI:10.1103/PhysRevB.79.115409 |
| [37] | BOLLINGER M V, JACOBSEN K W, NФRSKOV J K. Atomic and electronic structure of MoS2 nanoparticles[J]. Physical Review B, 2003, 67 (8) : 283 –287. |
| [38] | KOM T, HEYDRICH S, HIRMER M, et al. Low-temperature photocarrier dynamics in monolayer MoS2[J]. Applied Physics Letters, 2011, 99 (10) : 102109 . DOI:10.1063/1.3636402 |
| [39] | MA Y, DAI Y, GUO M, et al. Electronic and magnetic properties of perfect, vacancy-doped, and nonmetal adsorbed MoSe2, MoTe2 and WS2 monolayers[J]. Physical Chemistry Chemical Physics, 2011, 13 (34) : 15546 –15553. DOI:10.1039/c1cp21159e |
| [40] | KUMAR A, AHLUWALIA P K. Electronic structure of transition metal dichalcogenides monolayers 1H-MX2 (M=Mo, W;X=S, Se, Te) from ab-initio theory:New direct band gap semiconductors[J]. The European Physical Journal B, 2012, 85 (6) : 1 –7. |
| [41] | LI T. Ideal strength and phonon instability in single-layer MoS2[J]. Physical Review B, 2012, 85 (23) : 235407 . DOI:10.1103/PhysRevB.85.235407 |
| [42] | YUE Q, KANG J, SHAO Z, et al. Mechanical and electronic properties of monolayer MoS2 under elastic strain[J]. Physics Letters A, 2012, 376 (12) : 1166 –1170. |
| [43] | JOHARI P, SHENOY V B. Tuning the electronic properties of semiconducting transition metal dichalcogenides by applying mechanical strains[J]. ACS Nano, 2012, 6 (6) : 5449 –5456. DOI:10.1021/nn301320r |
| [44] | SCALISE E, HOUSSA M, POURTOIS G, et al. Strain-induced semiconductor to metal transition in the two-dimensional honeycomb structure of MoS2[J]. Nano Research, 2012, 5 (1) : 43 –48. DOI:10.1007/s12274-011-0183-0 |
| [45] | SHI H, PAN H, ZHANG Y W, et al. Quasiparticle band structures and optical properties of strained monolayer MoS2 and WS2[J]. Physical Review B, 2013, 87 (15) : 155304 . DOI:10.1103/PhysRevB.87.155304 |
| [46] | YUN W S, HAN S W, HONG S C, et al. Thickness and strain effects on electronic structures of transition metal dichalcogenides:2H-MX2 semiconductors (M=Mo, W;X=S, Se, Te)[J]. Physical Review B, 2012, 85 (3) : 033305 . DOI:10.1103/PhysRevB.85.033305 |
| [47] | RAMASUBRAMANIAM A, NAVEH D, TOWE E. Tunable band gaps in bilayer transition-metal dichalcogenides[J]. Physical Review B, 2011, 84 (20) : 205325 . DOI:10.1103/PhysRevB.84.205325 |
| [48] | ATACA C, CIRACI S. Functionalization of single-layer MoS2 honeycomb structures[J]. The Journal of Physical Chemistry C, 2011, 115 (27) : 13303 –13311. DOI:10.1021/jp2000442 |
| [49] | HE J, WU K, SA R, et al. Magnetic properties of nonmetal atoms absorbed MoS2 monolayers[J]. Applied Physics Letters, 2010, 96 (8) : 082504 . DOI:10.1063/1.3318254 |
| [50] | KOH E W K, CHIU C H, LIM Y K, et al. Hydrogen adsorption on and diffusion through MoS2 monolayer:First-principles study[J]. International Journal of Hydrogen Energy, 2012, 37 (19) : 14323 –14328. DOI:10.1016/j.ijhydene.2012.07.069 |
| [51] | CAO T, WANG G, HAN W, et al. Valley-selective circular dichroism of monolayer molybdenum disulphide[J]. Nature Communications, 2012, 3 (2) : 177 –180. |
| [52] | ZENG H, DAI J, YAO W, et al. Valley polarization in MoS2 monolayers by optical pumping[J]. Nature Nanotechnology, 2012, 7 (8) : 490 –493. DOI:10.1038/nnano.2012.95 |
| [53] | RAMASUBRAMANIAM A. Large excitonic effects in monolayers of molybdenum and tungsten dichalcogenides[J]. Physical Review B, 2012, 86 (11) : 115409 . DOI:10.1103/PhysRevB.86.115409 |
| [54] | SALLEN G, BOUET L, MARIE X, et al. Robust optical emission polarization in MoS2 monolayers through selective valley excitation[J]. Physical Review B, 2012, 86 (8) : 081301 . DOI:10.1103/PhysRevB.86.081301 |
| [55] | XIAO D, LIU G B, FENG W, et al. Coupled spin and valley physics in monolayers of MoS2 and other group-VI dichalcogenides[J]. Physical Review Letters, 2012, 108 (19) : 196802 . DOI:10.1103/PhysRevLett.108.196802 |
| [56] | ZHAO W, GHORANNEVIS Z, CHU L, et al. Evolution of electronic structure in atomically thin sheets of WS2 and WSe2[J]. ACS Nano, 2013, 7 (1) : 791 –797. DOI:10.1021/nn305275h |
| [57] | PAN H, ZHANG Y W. Tuning the electronic and magnetic properties of MoS2 nanoribbons by strain engineering[J]. The Journal of Physical Chemistry C, 2012, 116 (21) : 11752 –11757. DOI:10.1021/jp3015782 |
| [58] | ZHU Z Y, CHENG Y C, SCHWINGENSHLÖGL U. Giant spin-orbit-induced spin splitting in two-dimensional transition-metal dichalcogenide semiconductors[J]. Physical Review B, 2011, 84 (15) : 153402 . DOI:10.1103/PhysRevB.84.153402 |
| [59] | BERTOLAZZI S, BRIVIO J, KIS A. Stretching and breaking of ultrathin MoS2[J]. ACS Nano, 2011, 5 (12) : 9703 –9709. DOI:10.1021/nn203879f |
| [60] | DALLAYALLE M, SÄNDIG N, ZERBETTO F. Stability, dynamics, and lubrication of MoS2 platelets and nanotubes[J]. Langmuir, 2012, 28 (19) : 7393 –7400. DOI:10.1021/la300871q |
| [61] | VARSHNEY V, PATNAIK S S, MURATORE C, et al. MD simulations of molybdenum disulphide (MoS2):Force-field parameterization and thermal transport behavior[J]. Computational Materials Science, 2010, 48 (1) : 101 –108. DOI:10.1016/j.commatsci.2009.12.009 |
| [62] | YAN R, SIMPSON J R, BERTOLAZZI S, et al. Thermal conductivity of monolayer molybdenum disulfide obtained from temperature-dependent Raman spectroscopy[J]. ACS Nano, 2014, 8 (1) : 986 –993. DOI:10.1021/nn405826k |
| [63] | ZHANG Z, XIE Y, PENG Q, et al. Thermal transport in MoS2/graphene hybrid nanosheets[J]. Nanotechnology, 2015, 26 (37) : 375402 . DOI:10.1088/0957-4484/26/37/375402 |
| [64] | HUANG W, LUO X, GAN C K, et al. Theoretical study of thermoelectric properties of few-layer MoS2 and WSe2[J]. Physical Chemistry Chemical Physics, 2014, 16 (22) : 10866 –10874. DOI:10.1039/c4cp00487f |
| [65] | JI X, LEE K T, NAZAR L F. A highly ordered nanostructured carbon-sulphur cathode for lithium-sulphur batteries[J]. Nature Materials, 2009, 8 (6) : 500 –506. DOI:10.1038/nmat2460 |
| [66] | BRUCE P G, FREUNBERGER S A, HARDWICK L J, et al. Li-O2 and Li-S batteries with high energy storage[J]. Nature Materials, 2012, 11 (1) : 19 –29. |
| [67] | YANG Y, ZHENG G, CUI Y. Nanostructured sulfur cathodes[J]. Chemical Society Reviews, 2013, 42 (7) : 3018 –3032. DOI:10.1039/c2cs35256g |
| [68] | SEH Z W, YU J H, LI W, et al. Two-dimensional layered transition metal disulphides for effective encapsulation of high-capacity lithium sulphide cathodes[J]. Nature Communications, 2014, 5 : 5017 –5017. DOI:10.1038/ncomms6017 |
| [69] | WANG H T, ZHANG Q F, YAO H B, et al. High electrochemical selectivity of edge versus terrace sites in two-dimensional layered MoS2 materials[J]. Nano Letters, 2014, 14 (12) : 7138 –7144. DOI:10.1021/nl503730c |
| [70] | SEH Z W, ZHANG Q, LI W, et al. Stable cycling of lithium sulfide cathodes through strong affinity with a bifunctional binder[J]. Chemical Science, 2013, 4 (9) : 3673 –3677. DOI:10.1039/c3sc51476e |
| [71] | LI W, ZHANG Q, ZHENG G, et al. Understanding the role of different conductive polymers in improving the nanostructured sulfur cathode performance[J]. Nano Letters, 2013, 13 (11) : 5534 –5540. DOI:10.1021/nl403130h |
| [72] | DAVID L, BHANDAVAT R, SINGH G. MoS2/graphene composite paper for sodium-ion battery electrodes[J]. ACS Nano, 2014, 8 (2) : 1759 –1770. DOI:10.1021/nn406156b |
| [73] | ZHANG Q, WANG Y, SEH Z W, et al. Understanding the anchoring effect of two-dimensional layered materials for lithium-sulfur batteries[J]. Nano Letters, 2015, 15 (6) : 3780 –3786. DOI:10.1021/acs.nanolett.5b00367 |
| [74] | IIJIMAIJ S. Helical microtubules of graphitic carbon[J]. Nature, 1991, 354 (6348) : 56 –58. DOI:10.1038/354056a0 |
| [75] | XIONG F, WANG H, LIU X, et al. Li intercalation in MoS2:In situ observation of its dynamics and tuning optical and electrical properties[J]. Nano Letters, 2015, 15 (10) : 6777 –6784. DOI:10.1021/acs.nanolett.5b02619 |
| [76] | HARRIS P J F. Carbon nanotubes and related structures:New materials for the twenty-first century[J]. American Journal of Physics, 2001, 72 (3) : 415 –415. |
| [77] | TENNE R, MARGULIS L, GENUT M, et al. Polyhedral and cylindrical structures of tungsten disulphide[J]. Nature, 1992, 360 (6403) : 444 –446. DOI:10.1038/360444a0 |
| [78] | TENNE R, RAO C N R. Inorganic nanotubes[J]. Philosophical Transactions of the Royal Society of London A:Mathematical, Physical and Engineering Sciences, 2004, 362 (1823) : 2099 –2125. DOI:10.1098/rsta.2004.1431 |
| [79] | LIU X, XU T, WU X, et al. Top-down fabrication of sub-nanometre semiconducting nanoribbons derived from molybdenum disulfide sheets[J]. Nature Communications, 2013, 4 (2) : 216 –219. |
| [80] | HELVEG S, LAURITSEN J V, LÆGSGAARD E, et al. Atomic-scale structure of single-layer MoS2 nanoclusters[J]. Physical Review Letters, 2000, 84 (5) : 951 –954. DOI:10.1103/PhysRevLett.84.951 |
| [81] | PAN H, ZHANG Y W. Edge-dependent structural, electronic and magnetic properties of MoS2 nanoribbons[J]. Journal of Materials Chemistry, 2012, 22 (15) : 7280 –7290. DOI:10.1039/c2jm15906f |
| [82] | LI Y, ZHOU Z, ZHANG S, et al. MoS2 nanoribbons:High stability and unusual electronic and magnetic properties[J]. Journal of the American Chemical Society, 2008, 130 (49) : 16739 –16744. DOI:10.1021/ja805545x |
| [83] | BOLLINGER M V, LAURITSEN J V, JACOBSEN K W, et al. One-dimensional metallic edge states in MoS2[J]. Physical Review Letters, 2001, 87 (19) : 196803 –196804. DOI:10.1103/PhysRevLett.87.196803 |
| [84] | BYSKOV L S, NФRSKOV J K, CLAUSEN B S, et al. DFT calculations of unpromoted and promoted MoS2-based hydrodesulfurization catalysts[J]. Journal of Catalysis, 1999, 187 (1) : 109 –122. DOI:10.1006/jcat.1999.2598 |
| [85] | LI T, GALLI G. Electronic properties of MoS2 nanoparticles[J]. The Journal of Physical Chemistry C, 2007, 111 (44) : 16192 –16196. DOI:10.1021/jp075424v |
| [86] | ATACA C, SAHIN H, AKTURK E, et al. Mechanical and electronic properties of MoS2 nanoribbons and their defects[J]. The Journal of Physical Chemistry C, 2011, 115 (10) : 3934 –3941. DOI:10.1021/jp1115146 |
| [87] | KARTHIKEYAN J, KUMAR V, MURUGAN P. Atomic structure and edge magnetism in MoS2+x parallelogram shaped platelets[J]. Physical Chemistry Chemical Physics, 2013, 15 (31) : 13077 –13082. DOI:10.1039/c3cp51499d |
| [88] | DOLUI K, PEMMARAJU C D, SANVITO S. Electric field effects on armchair MoS2 nanoribbons[J]. ACS Nano, 2012, 6 (6) : 4823 –4834. DOI:10.1021/nn301505x |
| [89] | PRINS R, DE BEER V H J, SOMORJAI G A. Structure and function of the catalyst and the promoter in Co-Mo hydrodesulfurization catalysts[J]. Catalysis Reviews—Science and Engineering, 1989, 31 (1-2) : 1 –41. DOI:10.1080/01614948909351347 |
| [90] | LAURITSEN J V, NYBERG M, VANG R T, et al. Chemistry of one-dimensional metallic edge states in MoS2 nanoclusters[J]. Nanotechnology, 2003, 14 (3) : 385 –389. DOI:10.1088/0957-4484/14/3/306 |
| [91] | CLAUSEN B S, LENGELER B, CANDIA R, et al. Exafs studies of calcined and sulfided CO-Mo HDS catalysts[J]. Bulletin des Sociétés Chimiques Belges, 1981, 90 (12) : 1249 –1259. |
| [92] | PARHAM T G, MERRILL R P. An EXAFS study of the structure of supported cobalt molybdate catalysts as a function of sulfiding temperature[J]. Journal of Catalysis, 1984, 85 (2) : 295 –310. DOI:10.1016/0021-9517(84)90219-7 |
| [93] | TAUSTER S J, PECORARO T A, CHIANELLI R R. Structure and properties of molybdenum sulfide:Correlation of O2 chemisorption with hydrodesulfurization activity[J]. Journal of Catalysis, 1980, 63 (2) : 515 –519. DOI:10.1016/0021-9517(80)90109-8 |
| [94] | CANDIA R, SФRENSEN O, VILLADSEN JФR, et al. Effect of sulfiding temperature on activity and structures of CO-MO/Al2O3 catalysts.ⅱ[J]. .Bulletin des Societes Chimiques Belges, 1984, 93 (8-9) : 763 –774. |
| [95] | DRESSELHAUS M S, THOMAS I L. Alternative energy technologies[J]. Nature, 2001, 414 (6861) : 332 –337. DOI:10.1038/35104599 |
| [96] | BONDE J, MOSES P G, JARAMILLO T F, et al. Hydrogen evolution on nano-particulate transition metal sulfides[J]. Faraday Discussions, 2009, 140 : 219 –231. DOI:10.1039/B803857K |
| [97] | VIELSTICH W, GASTEIGER H A, YOKOKAWA H. Handbook of fuel cells:Advances in electrocatalysis, materials, diagnostics and durability[M]. [S.l.]: Willey-Blackwell, 2009 : 403 -419. |
| [98] | JARAMILLO T F, JΦRGENSEN K P, BONDE J, et al. Identification of active edge sites for electrochemical H2 evolution from MoS2 nanocatalysts[J]. Science, 2007, 317 (5834) : 100 –102. DOI:10.1126/science.1141483 |
| [99] | JARAMILLO T F, BONDE J, ZHANG J, et al. Hydrogen evolution on supported incomplete cubane-type [Mo3S4]4+ electrocatalysts[J]. The Journal of Physical Chemistry C, 2008, 112 (45) : 17492 –17498. DOI:10.1021/jp802695e |
| [100] | LI Y, WANG H, XIE L, et al. MoS2 nanoparticles grown on graphene:An advanced catalyst for the hydrogen evolution reaction[J]. Journal of the American Chemical Society, 2011, 133 (19) : 7296 –7299. DOI:10.1021/ja201269b |
| [101] | TSAI C, CHAN K, ABILD-PEDERSENe F, et al. Active edge sites in MoSe2 and WSe2 catalysts for the hydrogen evolution reaction:A density functional study[J]. Physical Chemistry Chemical Physics, 2014, 16 (26) : 13156 –13164. DOI:10.1039/c4cp01237b |
| [102] | XU C, PENG S, TAN C, et al. Ultrathin S-doped MoSe2 nanosheets for efficient hydrogen evolution[J]. Journal of Materials Chemistry A, 2014, 2 (16) : 5597 –5601. DOI:10.1039/C4TA00458B |
| [103] | VOIRY D, YAMAGUCHI H, LI J, et al. Enhanced catalytic activity in strained chemically exfoliated WS2 nanosheets for hydrogen evolution[J]. Nature Materials, 2013, 12 (9) : 850 –855. DOI:10.1038/nmat3700 |
| [104] | MA Y, DAI Y, GUO M, et al. Evidence of the existence of magnetism in pristine VX2 monolayers (X=S, Se) and their strain-induced tunable magnetic properties[J]. ACS Nano, 2012, 6 (2) : 1695 –1701. DOI:10.1021/nn204667z |
| [105] | ZHOU Y, YANG P, ZU H, et al. Electronic structures and magnetic properties of MoS2 nanostructures:Atomic defects, nanoholes, nanodots and antidots[J]. Physical Chemistry Chemical Physics, 2013, 15 (25) : 10385 –10394. DOI:10.1039/c3cp50381j |
| [106] | MATHEW S, GOPINADHAN K, CHAN T K, et al. Magnetism in MoS2 induced by proton irradiation[J]. Applied Physics Letters, 2012, 101 (10) : 102103 . DOI:10.1063/1.4750237 |
| [107] | MURUGAN P, KUMAR V, KAWAZO Y, et al. Atomic structures and magnetism in small MoS2 and WS2 clusters[J]. Physical Review A, 2005, 71 (6) : 362 –368. |
| [108] | ZHANG J, SOON J M, LOH K P, et al. Magnetic molybdenum disulfide nanosheet films[J]. Nano Letters, 2007, 7 (8) : 2370 –2376. DOI:10.1021/nl071016r |
| [109] | LI H, QI X, WU J, et al. Investigation of MoS2 and graphene nanosheets by magnetic force microscopy[J]. ACS Nano, 2013, 7 (3) : 2842 –2849. DOI:10.1021/nn400443u |
| [110] | TONGAY S, VAMOOSFADERANI S S, APPLETON B R, et al. Magnetic properties of MoS2:Existence of ferromagnetism[J]. Applied Physics Letters, 2012, 101 (12) : 123105 . DOI:10.1063/1.4753797 |
| [111] | BOTELLO-MÉNDEZ A R, LOPEZ-URIAS F, TERRONES M, et al. Metallic and ferromagnetic edges in molybdenum disulfide nanoribbons[J]. Nanotechnology, 2009, 20 (32) : 14582 –14582. |
| [112] | LU P, WU X, GUO W, et al. Strain-dependent electronic and magnetic properties of MoS2 monolayer, bilayer, nanoribbons and nanotubes[J]. Physical Chemistry Chemical Physics, 2012, 14 (37) : 13035 –13040. DOI:10.1039/c2cp42181j |
| [113] | KOU L, TANG C, ZHANG Y, et al. Tuning magnetism and electronic phase transitions by strain and electric field in zigzag MoS2 nanoribbons[J]. The Journal of Physical Chemistry Letters, 2012, 3 (20) : 2934 –2941. DOI:10.1021/jz301339e |
| [114] | VOJVODIC A, HINNEMANN B, NΦRSKOV J K. Magnetic edge states in MoS2 characterized using density-functional theory[J]. Physical Review B, 2009, 80 (12) : 125416 . DOI:10.1103/PhysRevB.80.125416 |
| [115] | HU T, ZHOU J, DONG J, et al. Electronic and magnetic properties of armchair MoS2 nanoribbons under both external strain and electric field, studied by first principles calculations[J]. Journal of Applied Physics, 2014, 116 (6) : 064301 . DOI:10.1063/1.4891997 |
| [116] | XIA B, GAO D, LIU P, et al. Zigzag-edge related ferromagnetism in MoSe2 nanoflakes[J]. Physical Chemistry Chemical Physics, 2015, 17 (48) : 32505 –32510. DOI:10.1039/C5CP05640C |


