2. 中国交通通信信息中心, 北京 100011;
3. 中国卫星导航系统管理办公室, 北京 100034
2. China Transport Telecommunications & Information Center, Beijing 100011, China ;
3. China Satellite Navigation Office, Beijing 100034, China
舰载机着舰是航空母舰的一项关键运行技术。美国正在研究一种兼容陆海空和军民两用的联合精密进近着陆(舰)系统(Joint Precision Approach and Landing System,JPALS),其分为陆基系统和海基系统。海基JPALS使用高精度卫星定位导航技术进行着舰过程中飞机的精确定位和进近引导,能满足全天候自动着舰要求[1]。研究海基JPALS对于促进中国航空母舰舰载机着舰技术的发展具有重要意义。
海基JPALS性能要求较高,为同时满足自动着舰要求,其垂直方向定位精度需求为0.3m,告警门限为1.1m,完好性风险不超过1×10-7/150s[2]。海基JPALS采用多频接收机和特殊设计的导航算法减轻或消除了卫星星历误差、钟差、电离层延迟、对流层延迟和接收机钟差等误差项的影响,但电离层风暴、接收机故障和多径效应等导致的显著测量误差仍然难以避免[3],因此海基JPALS完好性监测系统的设计非常重要。目前,海基JPALS主要是利用舰船上多个参考站接收机的观测数据进行完好性监测,舰载机则依靠机载接收机自身定位数据和接收来自舰船广播的观测数据、完好性监测数据进行定位结果和保护门限的综合解算,以获得满足精度和完好性需求的相对定位结果。为保证舰船广播的观测数据质量,海基JPALS需要采用多参考一致性检验(Multiple References Consistency Check,MRCC)算法,监测并隔离存在严重多径和接收机故障的测量值。
针对静止参考站的多参考一致性检验,一般采用伪距和载波相位的差分改正数作为B值计算的测量值[4-6],这种算法方式在区域增强系统(Local Area Augmentation System,LAAS)和陆基JPALS中已被广泛研究[7-9]。但在海基JPALS中,参考站随舰体运动,其绝对位置无法获取,相应的伪距和载波相位差分改正数无法通过测量值减去真实距离得到[10],因此陆基JPALS的算法不适用于海基JPALS。本文提出利用多个参考站与理想着舰点之间相对位置矢量已知的特性计算各参考站原始观测量和宽巷模糊度估计,进而计算其B值的算法,来实现海基JPALS的多参考一致性检验。
1 海基JPALS及其完好性监测系统海基JPALS主要由舰载系统、机载系统、数据链系统和完好性监测系统四大部分组成,如图 1所示。舰载系统由部署在舰船上不同位置的多个全球卫星导航系统(Global Navigation Satellite System,GNSS)参考站接收机及其天线、惯导系统、数据处理系统和数据收发系统组成,其功能是计算产生宽巷模糊度、原始观测量、完好性数据、下滑道数据和舰船运动信息等,通过数据链广播给舰载机。机载系统包括GNSS接收机及其天线、惯导系统、数据处理系统和数据收发系统,其功能是利用自身计算产生的和来自舰载系统播发的宽巷模糊度、原始观测量和完好性数据计算出机舰相对位置矢量,并联合下滑道数据和舰船运动信息等一起传送给机载航电系统。数据链系统包括位于舰船和舰载机上的UHF天线和信号调制解调系统,用于实现舰船和飞机之间的数据传输。完好性监测系统位于舰船上,利用多个舰载参考站数据对信号异常和系统故障进行监测,并及时向用户发送告警信息[2],确保系统满足完好性风险指标要求。
|
| 图 1 海基JPALS组成 Fig. 1 Structure of sea-based JPALS |
海基JPALS利用多个参考站实现电离层梯度监测、天线基线监测、参考一致性检验、星历监测和无线电干扰监测等完好性监测任务。海基JPALS完好性监测系统由4个左右(本文以4个为例)的舰载参考站接收机和完好性数据处理系统组成,舰载参考站接收机的安装如图 2所示。图中:1~4号三角形表示参考站接收机天线的安装位置;飞机跑道上的圆点表示舰船的理想着舰点。
|
| 图 2 舰载多参考站安装示意图 Fig. 2 Schematic diagram of deployment of multiple reference stations on ship |
着舰过程中,飞机上的尾钩和理想着舰点(图 2中圆点)之间的相对位置矢量对于着舰进近引导具有实质性的作用。通常,海基JPALS的舰载系统将理想着舰点视为舰船参考点,并将各参考站的测量值从天线位置映射转换到参考点上[11]。转换过程利用了参考站接收机到舰船参考点的相对位置矢量,该矢量可以通过舰载惯导系统和舰船自身的尺寸测量数据计算得到[12]。如图 3所示,ρm和φm(m=1,2,3,4)为参考站接收机的观测量,ρm和φm(m=1,2,3,4)为转换到舰船参考点后的测量值。
|
| 图 3 测量值映射转换示意图 Fig. 3 Schematic diagram of measurements mapping transformation |
转换后每个参考站接收机通道(m,n)的L1和L2的伪距测量值ρnmr,L1、ρnmr,L2与载波相位测量值φnmr,L1、φnmr,L2分别为
|
(1) |
|
(2) |
|
(3) |
|
(4) |
式中:R为卫星到参考站的真实距离;m为参考站编号;n为卫星编号;I为电离层延迟误差;T为对流层延迟误差;δt为参考站接收机钟差;δts为卫星钟差;B1、B2、b1和b2为参考站接收机通道偏差;M1、M2、m1和m2为多径误差;E1、E2、e1和e2为参考站接收机噪声;λ1和λ2为信号波长;f1和f2为信号频率;N1和N2为载波相位模糊度;εT为参考站接收机天线到舰船参考点转换引入的误差;δφ为参考站接收机天线的相位偏差;δφs为卫星的相位偏差; c为光速。
2.2 两阶段导航算法同时使用多个观测量有助于提高整周模糊度的解算效率,其适当组合可消除系统钟差、电离层延迟、对流层延迟以及GNSS导航引入的显著误差等。海基JPALS利用多频接收技术同时获取多个观测量,结合其宽巷组合值进行高精度相对定位解算,解算过程分2个阶段:第1阶段求解宽巷模糊度浮点解估计值;第2阶段计算固定解和相对定位矢量[3, 11]。
2.2.1 第1阶段第1阶段,通过L1/L2几何无关组合观测量和过滤算法计算宽巷模糊度。通道(m,n)的几何无关组合观测量Znmr,gf为L1、L2载波相位测量值φnmr,L1、φnmr,L2和伪距测量值ρnmr,L1、ρnmr,L24个测量值的线性组合。Znmr,gf及其方差σ2Z计算式为
|
(5) |
|
(6) |
式中: σ2φ=σ2φ,L1=σ2φ,L2为L1和L2的载波相位测量方差;σ2ρ=σ2ρ,L1=σ2ρ,L2为L1和L2的伪距测量方差。
几何无关组合观测量Znmr,gf是宽巷模糊度Nnmr,w的估计值,其包含随机误差εgf和非测量偏差b,因此几何无关组合观测量与宽巷模糊度的关系可以表示为
|
(7) |
非测量偏差b包含频间偏差、天线偏差和故障模式偏差等,其影响可以通过第2阶段算法减轻,随机误差εgf可通过移动均值滤波算法消除。宽巷模糊度的浮点解估计值Nnmr,w及其方差σ2Nw通过滤波算法求解,计算方案如下:
|
(8) |
|
(9) |
式中:t为历元时刻;Δt为采样间隔;Mfep为滤波历元数;k为滤波期间的历元编号
2.2.2 第2阶段第2阶段,利用宽巷模糊度和原始载波相位观测量联合解算L1/L2整周模糊度的固定解。航空母舰通过UHF数据链向外广播舰载接收机上参考站的原始观测量和宽巷模糊度估计值。舰载机利用接收到的舰载参考站原始观测值和宽巷模糊度估计值(φr,L1,φr,L2,Nr,w)计算舰载和机载2个接收机的双差观测量φL1,dd、φL2,dd、Nw,dd。
利用双差观测量求解基线矢量的方程为
|
(10) |
式中:ΔeT为参考站接收机相对2颗卫星的单位视向矢量之差;I为单位矩阵;ε为残差矩阵。
首先通过最小二乘模糊度去相关平差(Least-squares Ambiguity Decorrelation Adjustment,LAMBDA)算法计算宽巷双差模糊度的固定解[13],然后计算L1和L2的双差整周模糊度的浮点解N^L1,dd、N^L2,dd及协方差矩阵,进而解算出L1和L2的双差整周模糊度固定解[14],最后代入式(10)中求解得到基线矢量Δx。
2.3 舰船广播数据为实现两阶段的导航算法,需要将舰船参考点观测量测量值ρr,L1、ρr,L2、φr,L1、φr,L2和宽巷模糊度Nr,w及其标准差实时广播给舰载机。舰船参考点测量值为参考站接收机观测量转换到舰船参考点之后的测量值求平均,计算式为
|
(11) |
|
(12) |
|
(13) |
式中:M为参考站接收机的数量。
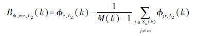
3 多参考一致性检验 3.1 多参考一致性检验通用理论多参考一致性检验的方法是对多个参考站的同类型测量值进行比较,以识别测量值故障(如严重多径、接收机故障或者天线校验故障)引起的显著误差。当某个参考站上任一测量值的B值超过事先定义的阈值时,将参考站标记为无效状态。参考站m的B值的计算式为
|
(14) |
式中:P为参考站测量值;M(k)为k历元时刻有效参考站的数量;Sn(k)为k历元时刻有效参考站的集合;j为Sn(k)集合中参考站的序号。
对于海基JPALS,需要计算并比较每个舰载参考站接收机的宽巷模糊度估计和各原始观测量的B值,以消除不一致的测量值[3]。
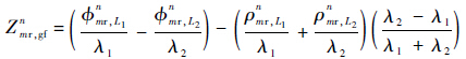
3.2 测量值海基JPALS多参考一致性检验要求计算式(10)中所有测量值的B值,包括L1/L2的伪距观测量ρr,L1、ρr,L2,载波相位观测量φr,L1、φr,L2和宽巷模糊度估计Nr,w共5个测量值[3]。各参考站的L1/L2的伪距和载波相位原始观测量均映射到舰船参考点表示为ρmr,L1、ρmr,L2、φmr,L1、φmr,L2,每个参考站的宽巷模糊度估计Nmr,w及方差根据式(8)和式(9)计算得到。
3.3 B值计算L1和L2的伪距和载波相位原始观测量的B值计算式分别为
|
(15) |
|
(16) |
|
(17) |
|
(18) |
|
(19) |
为了进行故障检测,多参考一致性检验根据无故障条件下的概率设置一个检测阈值。每个通道上各观测量的B值服从均值为零的高斯分布,每个通道上的测量值P(包括原始伪距观测量、载波相位观测量和宽巷模糊度估计)的B值检测阈值DP,th则等于每个B值的标准差乘上一个放大因子f,即
|
(20) |
式中:放大因子f由高斯概率密度函数的拖尾决定。
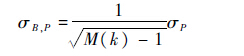
|
(21) |
式中:σP为原始伪距观测量、载波相位观测量和宽巷模糊度估计的均方差。
如果某个参考站的B值超过阈值,表明参考站接收机对应的测量值误差较大,则判定该参考站发生故障,将其标记为不可用。
3.5 决策执行逻辑海基JPALS多参考一致性检验故障检测流程和故障隔离程序与LAAS类似[15],但两者涉及的观测量及B值不同。
3.5.1 故障检测流程海基JPALS多参考一致性检验故障检测流程如图 4所示。在计算出各测量值的B值后,将其与阈值比较。如果每个测量值的B值都没有超过阈值,则保持当前监测器状态为0。如果发现B值超过阈值,则查找每个测量值超过阈值最大的B值。进一步判断是否有多个测量值的B值超过阈值,如果不是,返回状态1,如果是,则继续判断每个超过阈值的B值最大值是否都处于相同通道,如果不是,返回状态2,如果是,返回状态3。
|
| 图 4 海基JPALS多参考一致性检验故障检测流程图 Fig. 4 Procedure diagram of MRCC fault detection for sea-based JPALS |
海基JPALS多参考一致性检验故障隔离程序流程如图 5所示。在检测到故障状态后,进一步对存在故障的通道进行隔离处理。如果故障检测返回状态0,表示没有B值越界,多参考一致性检验故障隔离程序不做任何处理。如果返回状态为2,表明最大B值不在同一通道,但故障隔离程序无法处理这一类复杂情形,只能将这类处理任务传递给下一阶段更加复杂的执行监测过程[15]。对于所有其他情况,监测器将剔除包含最大B值的通道,然后基于剩余通道重新计算B值。重复该过程,直到不再出现多参考一致性检验故障标志,则故障隔离程序结束。
|
| 图 5 海基JPALS 多参考一致性检验故障隔离程序流程图 Fig. 5 Procedure diagram of MRCC fault isolation for sea-based JPALS |
开展多参考一致性检验实验受到2个方面的条件限制:①找到一个足够大尺寸的移动平台架设4个参考站非常困难;②多参考一致性检验过程中出现B值超过阈值的异常是一个极小概率事件,需要数月或者更长时间的监测。考虑到多参考一致性检验的算法仅关心平台上接收机之间的相对位置[1],利用静止平台进行多参考一致性检验的初步实验是可接受的,因此,实验中将多个参考站架设在静止的房顶上,如图 6所示。此外,为初步验证算法的理论可行性,实验仅采集了短期观测数据(1Hz的频率连续采集24h),并通过人为干扰方式模拟严重多径,而长时间的真实故障捕捉观测实验验证考虑在后续研究中进行。
|
| 图 6 多参考一致性检验数据采集实验设备 Fig. 6 MRCC data capture experimental equipment |
以实验过程中采集的L1双差载波相位观测量为例进行B值及其阈值的计算。海基JPALS进行定位解算时,挑选当前几何构型最优的一批卫星进行运算。根据第3节的算法分别计算4个参考站接收机的B值,再根据阈值计算公式求解得到B值阈值。图 7给出了各参考站接收机载波相位测量值的B值及其阈值。
|
| 图 7 各参考站L1载波相位的B值及其阈值 Fig. 7 B-value and threshold of L1carrier phase on each reference station |
从图 7的实验数据处理结果可以看到,01:13之前,各参考站无故障,其B值均小于阈值;01:13之后,通过人为干扰,参考站4的接收机出现了B值超过阈值的情况,01:18之后,解除人为干扰,参考站4的接收机数据又恢复正常。
实验表明,当通过本文算法实际计算得到的参考站接收机的B值超过阈值时,采用图 4和图 5所描述的故障检测流程可以有效检测到参考站4所发生的故障(由于人为干扰导致的严重多径误差),并对其进行隔离。而根据计算式(20)得到的阈值也能够在排除所有B值超过阀值的接收机同时,保留未被隔离的接收机进行舰机双差定位运算,满足海基JPALS的多参考一致性检验完好性风险指标要求。
5 结 论本文在分析海基JPALS的两阶段导航算法的基础上,提出了多参考一致性检验算法,并进行了模拟实验验证,总结如下:
1) 提出计算L1/L2的伪距和载波相位观测量、宽巷模糊度估计5个测量值的B值,建立了海基JPALS多参考一致性检验的测量值体系。
2) 利用各参考站与理想着舰点之间相对位置矢量已知的特性计算各测量值的B值,并通过高斯密度函数计算其阈值,理论上可以保证满足海基JPALS的多参考一致性检验完好性风险指标要求。
3) 提出了适合海基JPALS的多参考一致性检验故障检测流程和故障隔离程序。
4) 模拟实验结果验证了算法的可行性,当发生测量值B值越界时,可检测到故障通道,并及时检测隔离。
后续将进一步研究该算法在海基JPALS完好性监测系统其他模块中的应用,例如测量值质量监测,从而为海基JPALS的完好性监测体系的完善提供进一步的技术参考。
致谢
感谢陈杰博士提供的文献帮助和景少玲博士对论文提出的修改意见。
| [1] | PETERSON B R,PULLEN S,PERVAN B,et al.Investigation of common architectures for land-and sea-based JPALS[C]//Proceedings of the 18th International Technical Meeting of the Satellite Division of the Institute of Navigation (ION GNSS 2005).Long Beach,CA:ION,2005:26-37. |
| [2] | Draft system requirements document for joint precision approach and landing system (JPALS) increment 1:PMA2135-0100/R-5[R].USA:DoN,2007. |
| [3] | RIFE J, KHANAFSEH S, PULLEN S, et al. Navigation, interference suppression, and fault monitoring in the sea-based joint precision approach and landing system[J]. Proceedings of the IEEE, 2008, 56 (12) : 1958 –1975. |
| [4] | 杨文辉, 周保军. LAAS地面系统中多基准一致性检测算法的分析[J]. 电子学报, 2006, 34 (3) : 469 –471. YANG W H, ZHOU B J. Analysis of multiple reference consistency check on LAAS ground facility[J]. Acta Electronica Sinica, 2006, 34 (3) : 469 –471. (in Chinese) |
| [5] | 朱衍波, 张晓林, 薛瑞, 等. 民航GPS地基区域完好性监视系统设计与实现[J]. 北京亚洲成人在线一二三四五六区学报, 2006, 32 (7) : 797 –801. ZHU Y B, ZHANG X L, XUE R, et al. Design and implementation of GPS ground-based regional integrity monitoring system for China civil aviation[J]. Journal of Beijing University of Aeronautics and Astronautics, 2006, 32 (7) : 797 –801. (in Chinese) |
| [6] | 王志鹏, 张军, 刘强. LAAS地面站伪距纠正量误差完好性监测算法研究[J]. 电子与信息学报, 2009, 31 (1) : 196 –200. WANG Z P, ZHANG J, LIU Q. The study of integrity monitor algorithm of the pseudorange correction error on LAAS ground facility[J]. Journal of Electronics & Information Technology, 2009, 31 (1) : 196 –200. (in Chinese) |
| [7] | XIE G,PULLEN S,LUO M,et al.Integrity design and updated test results for the stanford LAAS integrity monitor testbed[C]//Proceedings of the 57th Annual Meeting of the Institute of Navigation.Albuquerque,NM:ION,2001:681-693. |
| [8] | Performance type one local area augmentation system ground facility:FAA-E-2937[R].USA:FAA,1999. |
| [9] | KOENIG M,RIFE J,PULLEN S,et al.Optimizing channel selection for the JPALS' land-based integrity monitor[C]//Proceedings of the 18th International Technical Meeting of the Satellite Division of The Institute of Navigation(ION GNSS 2005).Long Beach,CA:ION,2005:62-72. |
| [10] | MATHER C,MACAULAY A,MOLE S.Performance of integrity monitoring techniques for shipboard relative GPS landing systems[C]//Proceedings of the 18th International Technical Meeting of the Satellite Division of the Institute of Navigation (ION GNSS 2005).Long Beach,CA:ION,2005:2882-2894. |
| [11] | DOGRA S,HANSEN J W J.Sea-based JPALS relative navigation algorithm development[C]//Proceedings of the 18th International Technical Meeting of the Satellite Division of the Institute of Navigation (ION GNSS 2005).Long Beach,CA:ION,2005:2871-2881. http://cn.bing.com/academic/profile?id=1904623537&encoded=0&v=paper_preview&mkt=zh-cn |
| [12] | DE LORENZO D S,ALBAN S,GAUTIER J,et al.GPS attitude determination for a JPALS testbed integer initialization and testing[C]//Position Location and Navigation Symposium,2004(PLANS 2004).Piscataway,NJ:IEEE Press,2004:762-770. |
| [13] | TEUNISSEN P J G,ODIJK D,JOOSTEN P.A probabilistic evaluation of correct GPS ambiguity resolution[C]//Proceedings of the 11th International Technical Meeting of the Satellite Division of the Institute of Navigation (ION GPS 1998).Nashville,TN:ION,1998:1315-1323. |
| [14] | FENG S, OCHIENG W, SAMSON J, et al. Integrity monitoring for carrier phase ambiguities[J]. Journal of Navigation, 2012, 65 (1) : 41 –58. DOI:10.1017/S037346331100052X |
| [15] | XIE G.Optimal on-airport monitoring of the integrity of GPS-based landing systems[D].Palo Alto:Stanford University,2004. |


