在现代航空航天技术中,复合材料的大量采用造成了飞机内部更为恶劣的电磁环境,对机载电气/电子系统或设备的雷电防护能力提出了更高的要求[1, 2, 3].机载电子设备雷电防护试验,又称为雷电感应瞬态敏感度试验,有两个项目,分别为引脚注入试验和电缆束试验[4].其中,引脚注入试验用于考核设备的损伤容限,其试验波形和试验等级直接决定设备的雷电防护设计.因此,有必要进行引脚注入试验发生器的设计.
通用组合波设计电路不能完全满足机载电子设备雷电防护引脚注入试验发生器的要求.本文从RLC冲击电流回路出发,提出一种新型的组合波设计电路和方法,设计满足RTCA/DO-160G标准[4]要求的机载设备雷电防护引脚注入试验发生器.
1 引脚注入试验波形RTCA/DO-160G标准[4]对机载电子设备雷电间接效应引脚注入试验的瞬态信号发生器的输出特性作了明确的规定,其输出端开路状态下的输出电压(Voc)和输出端短路状态下的输出电流(Isc)应满足一定的幅值和波形参数要求.引脚注入试验波形有4个,分别为波形3、波形4、波形5A和波形5B,其中波形3为1MHz衰减振荡波,波形4/5A/5B为双指数波,开路电压和短路电流的波形完全相同.波形图分别如图 1和图 2所示.各波形的开路电压和短路电流幅值要求如表 1所示[4],幅值允差为0~+10%.
![]() |
| 图 1 波形3的波形图Fig. 1 Wave shape figure of waveform 3 |
![]() |
| 图 2 波形4/5A/5B的波形图Fig. 2 Wave shape figure of waveform 4/5A/5B |
| 等级 | 波形3 | 波形4 | 波形5A/5B | |||
| V oc/V | I sc/A | V oc/V | I sc/A | V oc/V | I sc/A | |
| 1 | 100 | 4 | 50 | 10 | 50 | 50 |
| 2 | 250 | 10 | 125 | 25 | 125 | 125 |
| 3 | 600 | 24 | 300 | 60 | 300 | 300 |
| 4 | 1500 | 60 | 750 | 150 | 750 | 750 |
| 5 | 3200 | 128 | 1600 | 320 | 1600 | 1600 |
传统的组合波开路电压和短路电流规定了波形的视在波前时间[5, 6, 7, 8, 9, 10, 11, 12],而RTCA/DO-160G标准[4]规定了波形的峰值时间.使用传统通用组合波电路设计引脚注入试验波形发生器时,首先需要将峰值时间转换为视在波前时间,同时还需满足开路电压半峰值时间应远大于视在波前时间.因此,使用通用组合波电路设计的结果误差比较大,且较为繁琐.本节提供一种新型的适用于开路电压和短路电流波形相同的组合波设计电路,并提出以峰值时间/半峰值时间为目标参数的设计方法,避免了峰值时间向视在波前时间的转换.
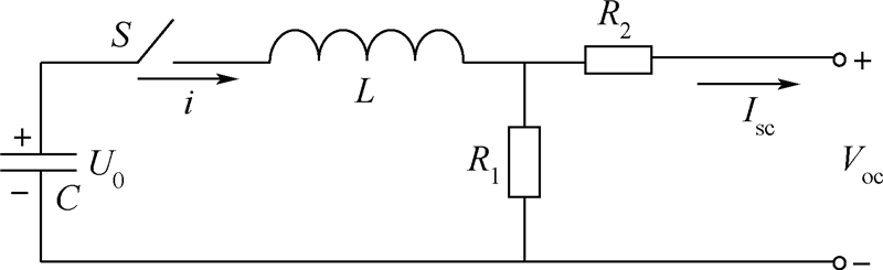
2.1 波形4/5A/5B发生器设计机载电子设备雷电防护引脚注入试验波形4/5A/5B的波形发生器原理电路如图 3所示,其中,C为电容,L为电感,R1、R2为电阻,S为开关.输出端开路状态时,由C-L-R1在R1两端形成开路电压波.输出端短路状态时,由C-L-R1//R2在R2支路形成短路电流波.当R2>>R1时,开路电压波形和短路电流波形基本一致.R2的值应等于发生器的虚拟源阻抗(开路电压与短路电流的比值).
![]() |
| 图 3 波形4/5A/5B发生器电路图Fig. 3 Circuit diagram of waveform 4/5A/5B generator |
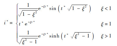
此回路实质是线性RLC冲击电流发生回路[13, 14],设回路总电阻为R,电容初始电压为U0,电路的微分方程为

归一化时间
归一化电流
可求得

可见回路电流波形只与阻尼系数ξ有关.通过MATLAB数值计算,归一化峰值电流I*m、归一化峰值时间T*1、半峰值时间与峰值时间之比T2/T1也只与ξ有关,其关系如图 4~图 6所示,所有参量均为无量纲值.
![]() |
| 图 4 I*m与ξ的关系Fig. 4 Relation between I*m and ξ |
![]() |
| 图 5 T*1与ξ的关系Fig. 5 Relation between T*1 and ξ |
![]() |
| 图 6 T2/T1与ξ的关系Fig. 6 Relation between T2/T1 and ξ |
对于波形4/5A/5B引脚注入试验组合波发生器的设计,根据波形要求,由图 4~图 6得到ξ、T*1和I*m,并求解方程组:

该方程组有4个方程、5个未知数,因而有多个解,设计时可根据R2的值给R1赋值,然后联立方程组求解.
2.2 波形3发生器设计机载电子设备雷电防护引脚注入试验波形3的波形发生器原理电路如图 7所示.当L2>>L1时,开路电压波形和短路电流波形基本一致.
![]() |
| 图 7 波形3发生器电路图Fig. 7 Circuit diagram of waveform 3 generator |
波形3为1MHz衰减振荡波,开路电压和短路电流可以为正弦或余弦.本文设计的波形3电路开路电压为余弦衰减振荡波,短路电流为正弦衰减振荡波.另衰减系数δ=R/(2L1),设计方程组为

该方程组有3个独立的方程、4个未知数而有多个解,设计时可根据L2的值给L1赋值,然后联立方程组求解.
3 设计结果 3.1 波形3设计结果波形3的虚拟源阻抗为25Ω,可计算得L2=3.9μH,另L1=1.2μH,代入式(3)计算,并适当微调,即可得波形3初步设计结果:C=25nF,R=0.3Ω,L1=1.2μH,L2=3.5μH.
实际情况下,为了使用方便,发生器输出端需有两根引线引出,以便发生器校准或者连接受试设备,所以输出端不可避免地存在一定的杂散参数[15].
对于图 7所示波形3发生器,输出端杂散参数主要为引线电感和对地杂散电容,引线电感一般可以控制在数百nH量级,杂散电容一般在pF量级.输出端短路状态下,由于输出支路有串联电感L2,当存在引线电感时,可根据引线电感适当地减少L2的值,使总电感保持不变,即可解决引线电感的影响.输出端开路状态下,考虑杂散电容的波形3发生器回路可以等效为图 8所示电路,其中Cs为杂散电容.
![]() |
| 图 8 考虑杂散电容的波形3发生器等效电路Fig. 8 Equivalent circuit of waveform 3 generator considering stray capacitance |
回路参数采用上述初步设计结果,杂散电容取5pF,电容器充电电压设为3250V.采用PSpice仿真,开路电压波形如图 9所示.
![]() |
| 图 9 考虑杂散电容的波形3开路电压波形Fig. 9 Open circuit voltage wave shape of waveform 3 considering stray capacitance |
由图 9可知,杂散电容对波形3的开路电压波形影响较大,在第一个周期内波形高频振荡较为严重.为了降低杂散电容对开路电压波形的影响,在波形3发生器电路输出端并联电阻Rs,电阻值的选取应遵循如下原则:

仿真表明,Rs取500Ω时,开路电压波形无明显的由杂散电容引起的高频振荡.
因此,波形3最终设计电路及电路参数如图 10 所示.
![]() |
| 图 10 波形3发生器电路及参数Fig. 10 Circuit and parameters of waveform 3 generator |
根据图 10所示发生器电路,采用PSpice进行波形3等级3引脚注入试验波形校准仿真,仿真时电容充电电压为613V.在理论计算与仿真的基础上,搭建波形3发生器,通过试验验证理论计算的正确性.试验采用Lecory PPE5kV高压探头测量输出端开路电压,Pearson 3525电流传感器测量输出端短路电流.试验时电容充电电压为780V.仿真与试验结果如表 2所示,仿真结果与试验结果相近,设计结果满足RTCA/DO-160G标准[4]的要求.
| 结果 | 开路电压 | 短路电流 | ||||
| V oc-1st/V | V oc-5th/V | f/MHz | I sc-1st/A | I sc-5th/A | f/MHz | |
| 仿真结果 | 612 | 299 | 0.92 | 25.0 | 13.4 | 1.06 |
| 试验结果 | 612 | 300 | 0.97 | 24.4 | 13.8 | 1.05 |
| 注:Voc-1st,Isc-1st—第1个峰值电压、电流;Voc-5th,Isc-5th—第5个峰值电压、电流. | ||||||
波形4的虚拟源阻抗为5Ω,T2/T1=10.78,由图 4~图 6可得,ξ=3.825,T*1=0.546,I*m=0.124,另R1=1Ω,代入式(2)计算可得波形4设计结果:C=100μF,L=1.37μH,R1=1Ω,R2=5Ω.
波形4发生器输出端开路状态下,由于杂散电容只有pF量级,回路主电容为100μF,所以杂散电容对开路电压几乎没有影响.仿真表明,当杂散电容达到20pF时,对开路电压波形参数的影响不到0.1%.短路状态下,电流波形为双指数波,半峰值时间远大于峰值时间,所以引线电感主要影响峰值时间.仿真表明,输出端引线电感增大,短路电流波形峰值时间增大.当引线电感为1μH时,峰值时间增加约4%.因此杂散参数对波形4的影响可以忽略.
采用PSpice进行波形4等级3引脚注入试验波形校准仿真,并搭建波形4发生器,通过试验验证理论计算的正确性.仿真时电容充电电压为320V,试验时电容充电电压为350V.仿真与试验结果如表 3所示,仿真结果与试验结果相近,设计结果满足RTCA/DO-160G标准[4]的要求.由于波形5A/5B与波形4的设计电路与方法完全一致,所以本文仅对波形4进行试验验证.相比于波形4,相同峰值电流下波形5A和5B的电流变化率更低,所以杂散参数对波形5A和5B的影响更小.经计算,波形5A设计结果为:C=400μF,L=4.55μH,R1=0.25Ω,R2=0.9Ω;波形5B结果为:C=3000μF,L=2.6μH,R1=0.23Ω,R2=1Ω.
| 结果 | 开路电压 | 短路电流 | ||||
| V oc/V | T 1/μs | T 2/μs | I sc/A | T 1/μs | T 2/μs | |
| 仿真结果 | 305 | 6.01 | 75.8 | 60.2 | 6.65 | 64.9 |
| 试验结果 | 304 | 6.5 | 72.5 | 63.0 | 6.7 | 64.0 |
采用PSpice进行波形5A和5B等级3引脚注入试验波形校准仿真验证,充电电压分别为410V、330V.仿真结果见表 4,满足RTCA/DO-160G标准[4]的要求.
| 波形 | 开路电压 | 短路电流 | ||||
| V oc/V | T 1/μs | T 2/μs | I sc/A | T 1/μs | T 2/μs | |
| 波形5A | 317 | 40.4 | 119 | 325 | 43.9 | 112 |
| 波形5B | 311 | 47.6 | 531 | 305 | 53.3 | 450 |
1) 本文提出一种新型的适用于开路电压和短路电流波形相同的组合波设计电路,并研究了以峰值时间/半峰值时间为目标参数的设计方法,提供设计查阅曲线,方便工程实际应用.
2) 本文设计的雷电防护引脚注入试验瞬态信号发生器满足RTCA/DO-160G标准[4]的要求,可用于机载设备雷电防护引脚注入试验.
| [1] | Fisher F A,Plumer J A,Perala R A.Aircraft lightning protection handbook,DOT/FAA/CT-89/22[R].Springfield:National Technical Information Service,1989. |
| [2] | Uman M A,Rakov V A.The interaction of lightning with airborne vehicles[J].Progress in Aerospace Sciences,2003,39(1):61-81. |
| Click to display the text | |
| [3] | Lalande P,Bondiou-Clergerie A,Laroche P.Analysis of available in-flight measurement of lightning strikes to aircraft[C]//International Conference on Lightning and Static Electricity.Warrendale:SAE International,1999,2397:1-8. |
| Click to display the text | |
| [4] | RTCA/DO-160G Environmental conditions and test procedures for airborne equipment[S].Washington D.C.:RTCA Incorporated,2010:22.1-22.41. |
| [5] | GB/T 17626.5电磁兼容-试验和测量技术-浪涌(冲击)抗扰度试验[S].北京:中国电子技术标准化研究院,2008:3-10.GB/T 17626.5 Electromagnetic compatibility-testing and measurement techniques-surge immunity test[S].Beijing:China Electronics Standardzation Institute,2008:3-10(in Chinese). |
| [6] | 姚学玲,陈景亮,孙伟.浪涌保护器带电试验用组合波发生器的设计[J].高电压技术,2004,30(5):42-44.Yao X L,Chen J L,Sun W.The design of combination wave generator for SPD charging test[J].High Voltage Engineering,2004,30(5):42-44(in Chinese). |
| Cited By in Cnki (13) | |
| [7] | 杨仲江,徐乐,李祥超,等.1.2/50μs、8/20μs组合波发生器的研制[J].电瓷避雷器,2013(5):58-65.Yang Z J,Xu L,Li X C,et al.Development of 1.2/50μs and 8/20μs combination wave generator[J].Insulators and Surge Arresters,2013(5):58-65(in Chinese). |
| [8] | Zhou M,Wang J G,Cai L,et al.Influence of power-line coupling/decouping network on output characteristics of the combination wave generator[J].IEEE Transcations on Power Delivery, 2011,26(4):2333-2341. |
| Click to display the text | |
| [9] | 王玉峰,邹积岩,廖敏夫,等.组合波发生器的设计[J].高电压技术,2006,32(3):10-11.Wang Y F,Zou J Y,Liao M F,et al.Design of a combinati-on wave generator[J].High Voltage Engineering,2006,32(3):10-11(in Chinese). |
| Cited By in Cnki (10) | |
| [10] | 陈景亮,姚学玲,袁梅珍.冲击电流发生器回路参数的仿真计算[J].电瓷避雷器,2003(4):40-44.Chen J L,Yao X L,Yuan M Z.The simulation and calculation of parameters for inpulse current generator[J].Insulators and Surge Arresters,2003(4):40-44(in Chinese). |
| Cited By in Cnki (14) | |
| [11] | Arias H J.A linear relationship between the time constants ratio of an impluse generator and the virtual time ratio of its output waveform[J].IEEE Transcations on Power Delivery,2008,23(2):1264-1265. |
| Click to display the text | |
| [12] | Yutthagowith P,Pattanadech N.A program for design of impulse current generator circuits[C]//Proceedings of the International Conference on Condition Monitoring and Diagnosis.Piscataway,NJ:IEEE Press,2008:830-833. |
| [13] | 陈景亮,姚学玲,孙伟.脉冲电流技术[M].西安:西安交通大学出版社,2008:3-8.Chen J L,Yao X L,Sun W.Pulse current technology[M].Xi'an:Xi'an Jiaotong University Press,2008:3-8(in Chinese). |
| [14] | 张仁豫,陈昌渔,王昌长.高电压试验技术[M].3版.北京:清华大学出版社,2009:180-182.Zhang R Y,Chen C Y,Wang C C.High-voltage testing technology[M].3rd ed.Beijing:Tsinghua University Press,2009:180-182(in Chinese). |
| [15] | 袁海燕,庄燕飞.杂散参数对冲击电流波形影响的数学分析[J].电磁避雷器,2012(5):98-104.Yuan H Y,Zhuang Y F.Mathematical analysis on the effect of stray parameters on impulse current waveforms[J].Insulators and Surge Arresters,2012(5):98-104(in Chinese). |
| Cited By in Cnki (2) |













