Volume 45 Issue 12
Dec.  2019
Turn off MathJax
Article Contents
CAI Yiheng, WANG Xueyan, HU Shaobin, et al. Three-dimensional human pose estimation based on multi-source image weakly-supervised learning[J]. Journal of Beijing University of Aeronautics and Astronautics, 2019, 45(12): 2375-2384. doi: 10.13700/j.bh.1001-5965.2019.0387(in Chinese)
Citation: CAI Yiheng, WANG Xueyan, HU Shaobin, et al. Three-dimensional human pose estimation based on multi-source image weakly-supervised learning[J]. Journal of Beijing University of Aeronautics and Astronautics, 2019, 45(12): 2375-2384. doi: 10.13700/j.bh.1001-5965.2019.0387(in Chinese)

Three-dimensional human pose estimation based on multi-source image weakly-supervised learning

doi: 10.13700/j.bh.1001-5965.2019.0387
Funds:

National Key R & D Project of China 2017YFC1703302

Science and Technology Plan Projects of Beijing Municipal Education Commission of China KM201710005028

More Information
  • Corresponding author: CAI Yiheng. E-mail: caiyiheng@bjut.edu.cn
  • Received Date: 10 Jul 2019
  • Accepted Date: 23 Aug 2019
  • Publish Date: 20 Dec 2019
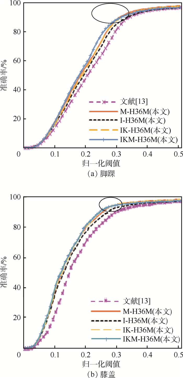
  • Three-dimensional human pose estimation is a hot research topic in the field of computer vision. Aimed at the lack of labels in depth images and the low generalization ability of models caused by single human pose, this paper innovatively proposes a method of 3D human pose estimation based on multi-source image weakly-supervised learning. This method mainly includes the following points. First, multi-source image fusion training method is used to improve the generalization ability of the model. Second, weakly-supervised learning approach is proposed to solve the problem of label insufficiency. Third, in order to improve the attitude estimation results, this paper improve the design of the residual module. The experimental results show that the regression accuracy from our improved network increases by 0.2%, and meanwhile the training time reduces by 28% compared with the original network. In a word, the proposed method obtains excellent estimation results with both depth images and color images.

     

  • loading
  • [1]
    PARK S, HWANG J, KWAK N.3D human pose estimation using convolutional neural networks with 2D pose information[C]//European Conference on Computer Vision.Berlin: Springer, 2016: 156-169.
    [2]
    YANG W, OUYANG W, LI H, et al.End-to-end learning of deformable mixture of parts and deep convolutional neural networks for human pose estimation[C]//IEEE Computer Society Conference on Computer Vision and Patter Recognition.Piscataway, NJ: IEEE Press, 2016: 3073-3082.
    [3]
    ZE W K, FU Z S, HUI C, et al.Human pose estimation from depth images via inference embedded multi-task learning[C]//Proceedings of the 2016 ACM on Multimedia Conference.New York: ACM, 2016: 1227-1236.
    [4]
    SHEN W, DENG K, BAI X, et al.Exemplar-based human action pose correction[J].IEEE Transactions on Cybernetics, 2014, 44(7):1053-1066. doi: 10.1109/TCYB.2013.2279071
    [5]
    GULER R A, KOKKINOS L, NEVEROVA N, et al.DensePose: Dense human pose estimation in the wild[C]//IEEE Conference on Computer Vision and Pattern Recognition.Piscataway, NJ: IEEE Press, 2018: 7297-7306.
    [6]
    RHODIN H, SALZMANN M, FUA P.Unsupervised geometry-aware representation for 3D human pose estimation[C]//European Conference on Computer Vision.Berlin: Springer, 2018: 765-782. doi: 10.1007/978-3-030-01249-6_46
    [7]
    OMRAN M, LASSNER C, PONS-MOLL G, et al.Neural body fitting: Unifying deep learning and model based human pose and shape estimation[C]//International Conference on 3D Vision.Piscataway, NJ: IEEE Press, 2018: 484-494.
    [8]
    HAQUE A, PENG B, LUO Z, et al.Towards viewpoint invariant 3D human pose estimation[C]//European Conference on Computer Vision.Berlin: Springer, 2016: 160-177. doi: 10.1007%2F978-3-319-46448-0_10
    [9]
    TOSHEV A, SZEGEDY C.DeepPose: Human pose estimation via deep neural networks[C]//IEEE Conference on Computer Vision and Pattern Recognition.Piscataway, NJ: IEEE Press, 2014: 1653-1660.
    [10]
    CAO Z, SIMON T, WEI S E, et al.Realtime multi-person 2D pose estimation using part affinity fields[C]//IEEE Conference on Computer Vision and Pattern Recognition.Piscataway, NJ: IEEE Press, 2017: 7291-7299.
    [11]
    WEI S E, RAMAKRISHNA V, KANADE T, et al.Convolutional pose machines[C]//IEEE Conference on Computer Vision and Pattern Recognition.Piscataway, NJ: IEEE Press, 2016: 4724-4732.
    [12]
    NEWELL A, YANG K, DENG J, et al.Stacked hourglass networks for human pose estimation[C]//European Conference on Computer Vision.Berlin: Springer, 2016: 483-499. doi: 10.1007%2F978-3-319-46484-8_29
    [13]
    YI Z X, XING H Q, XIAO S, et al.Towards 3D pose estimation in the wild: A weakly-supervised approach[C]//IEEE International Conference on Computer Vision.Piscataway, NJ: IEEE Press, 2017: 398-407.
    [14]
    SAM J, MARK E.Clustered pose and nonlinear appearance models for human pose estimation[C]//Proceedings of the 21st British Machine Vision Conference, 2010: 12.1-12.11.
    [15]
    ANDRILUKA M, PISHCHULIN L, GEHLER P, et al.2D human pose estimation: New benchmark and state of the art analysis[C]//IEEE Computer Society Conference on Computer Vision and Pattern Recognition.Piscataway, NJ: IEEE Press, 2014: 3686-3693.
    [16]
    CTALIN I, DRAGOS P, VLAD O, et al.Human 3.6M: Large scale datasets and predictive methods for 3D human sensing in natural environments[J].IEEE Transactions on Pattern Analysis and Machine Intelligence, 2014, 36(7): 1325-1339.
    [17]
    HAN X F, LEUNG T, JIA Y Q, et al.MatchNet: Unifying feature and metric learning for patch-based matching[C]//IEEE Conference on Computer Vision and Pattern Recognition.Piscataway, NJ: IEEE Press, 2015: 3279-3286.
    [18]
    XU G H, LI M, CHEN L T, et al.Human pose estimation method based on single depth image[J].IEEE Transactions on Computer Vision, 2018, 12(6):919-924. doi: 10.1049/iet-cvi.2017.0536
    [19]
    SI J L, ANTONI B.3D human pose estimation from monocular images with deep convolutional neural network[C]//Asian Conference on Computer Vision.Berlin: Springer, 2014: 332-347. doi: 10.1007/978-3-319-16808-1_23
    [20]
    GHEZELGHIEH M F, KASTURI R, SARKAR S.Learning camera viewpoint using CNN to improve 3D body pose estimation[C]//International Conference on 3D Vision.Piscataway, NJ: IEEE Press, 2016: 685-693.
    [21]
    CHEN C H, RAMANAN D.3D human pose estimation=2D pose estimation+matching[C]//IEEE Conference on Computer Vision and Pattern Recognition.Piscataway, NJ: IEEE Press, 2017: 5759-5767.
    [22]
    POPA A I, ZANFIR M, SMINCHISESCU C.Deep multitask architecture for integrated 2D and 3D human sensing[C]//IEEE Conference on Computer Vision and Pattern Recognition.Piscataway, NJ: IEEE Press, 2017: 4714-4723.
    [23]
    COLLOBERT R, KAVUKCUOGLU K, FARABET C.Torch7: A Matlab-like environment for machine learning[C]//Conference and Workshop on Neural Information Processing Systems, 2011: 1-6.
    [24]
    NIKOS K, GEORGIOS P, KOSTAS D.Convolutional mesh regression for single-image human shape reconstruction[C]//IEEE Conference on Computer Vision and Pattern Recognition.Piscataway, NJ: IEEE Press, 2019: 4510-4519.
    [25]
    CHENXU L, XIAO C, ALAN Y.OriNet: A fully convolutional network for 3D human pose estimation[C]//British Machine Vision Conference, 2018: 321-333.
  • 加载中

Catalog

    通讯作者: 陈斌, bchen63@163.com
    • 1. 

      沈阳化工大学材料科学与工程学院 沈阳 110142

    1. 本站搜索
    2. 百度学术搜索
    3. 万方数据库搜索
    4. CNKI搜索

    Figures(8)  / Tables(4)

    Article Metrics

    Article views(982) PDF downloads(407) Cited by()
    Proportional views
    Related

    /

    DownLoad:  Full-Size Img  PowerPoint
    Return
    Return