Volume 45 Issue 10
Oct.  2019
Turn off MathJax
Article Contents
ZHANG Dong, CHEN Yong, HU Mengquan, et al. Effect of strake and canard on aerodynamic characteristics of forward-swept wing and back-swept wing[J]. Journal of Beijing University of Aeronautics and Astronautics, 2019, 45(10): 2058-2068. doi: 10.13700/j.bh.1001-5965.2019.0030(in Chinese)
Citation: ZHANG Dong, CHEN Yong, HU Mengquan, et al. Effect of strake and canard on aerodynamic characteristics of forward-swept wing and back-swept wing[J]. Journal of Beijing University of Aeronautics and Astronautics, 2019, 45(10): 2058-2068. doi: 10.13700/j.bh.1001-5965.2019.0030(in Chinese)

Effect of strake and canard on aerodynamic characteristics of forward-swept wing and back-swept wing

doi: 10.13700/j.bh.1001-5965.2019.0030
Funds:

National Natural Science Foundation of China 61473307

More Information
  • Corresponding author: CHEN Yong, E-mail: cheny_043@163.com
  • Received Date: 22 Jan 2019
  • Accepted Date: 28 May 2019
  • Publish Date: 20 Oct 2019
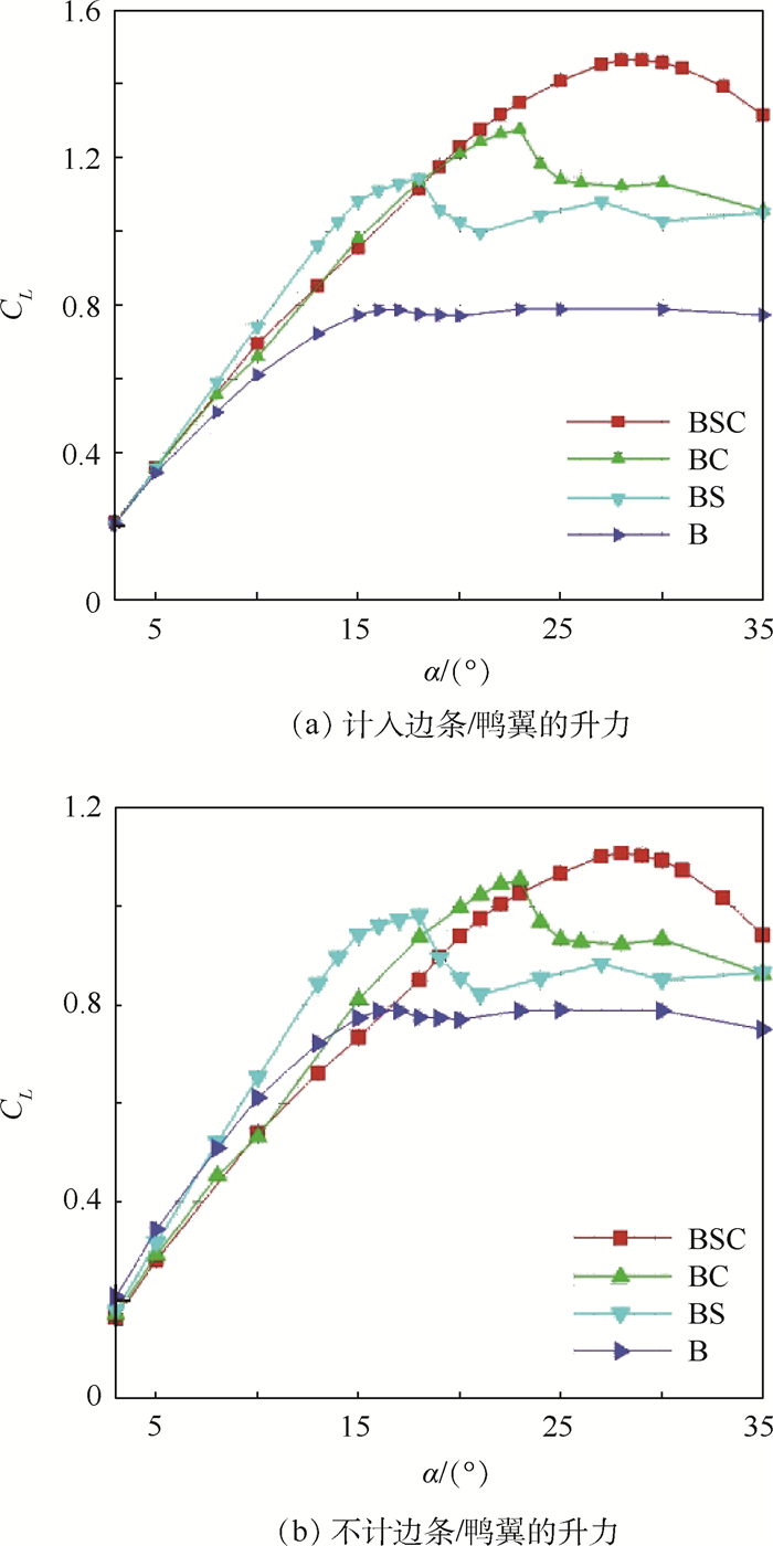
  • In order to analyze the reasons why the design of forward-swept wing aerodynamic configuration cannot be popularized and applied in aviation industry, simplified strake-wing, canard-wing and strake/canard-wing configurations were constituted by fixing strake and canard on forward-swept wing and back-swept wing, so as to deeply understand the flow characteristics and the mechanism of vortices interference between the two different configurations of forward-swept wing and back-swept wing. and First, the reliability and accuracy of numerical computation method were validated by comparing the computing results with experimental data of a standard model. Then, the lift coefficient curves of different configurations were obtained through numerical computation. Finally, the complex vortex interaction mechanism of different configurations were analyzed by pressure contours and streamlines. The results indicate that induction and convolution between vortexes of configurations based on back-swept wing enhance the lift coefficient and increase stalling angle of attack, and the effect was more apparent on the configuration fixed with strake and canard. There is no convolution effect between vortices of configurations based on forward-swept wing, and vortexes of configurations based on forward-swept wing perform an adverse interaction by bumping and squeezing, which makes the lift coefficient of the forward-swept wing much lower than that of the back-swept wing at high angles of attack. The leading-edge vortices of the forward-swept wing cannot be coupled with the canard wing vortices and strake vortices at high angles of attack, and cannot make full use of the non-linear lift force, which is the shortcoming in the aerodynamic layout design of the forward-swept wing.

     

  • loading
  • [1]
    PUTNAM T W.The X-29 flight-research program: AIAA-1983-2687[R].Reston, VA: AIAA, 1983.
    [2]
    KRONE N J.Divergence elimination with advanced composites: AIAA-1975-1009[R].Reston, VA: AIAA, 1975.
    [3]
    KRONE N.J.Forward swept wing demonstrator: AIAA-1980-1882[R].Reston, VA: AIAA, 1980.
    [4]
    方宝瑞.飞机气动布局设计[M].北京:航空工业出版社, 1997:779-781.

    FANG B R.Aircraft aerodynamic configuration design[M].Beijing:Aviation Industry Press, 1997:779-781(in Chinese).
    [5]
    张锡金.飞机设计手册[M].北京:航空工业出版社, 2002:145-165.

    ZHANG X J.Aerodynamic design manual[M].Beijing:Aviation Industry Press, 2002:145-165(in Chinese).
    [6]
    GLOSS B.Effect of canard location and size on canard-wing interference and aerodynamic center shift related to maneuvering aircraft at transonic speeds: NASA TN-D-7505[R].Washington, D.C.: NASA, 1974.
    [7]
    HUMMEL D, OELKER H C.Low-speed characteristics for the wing-canard configuration of the international vertex flow experiment[J].Journal of Aircraft, 1994, 31(4):868-878. doi: 10.2514/3.46573
    [8]
    OELKER H C, HUMMEL D.Investigation on the vorticity sheets of a close-coupled delta-canard configuration[J].Journal of Aircraft, 1989, 26(7):657-666. doi: 10.2514/3.45817
    [9]
    MA B F, LIU P Q, YUAN W.Effects of wing and canard sweep on lift-enhancement of canard-configuration[J].Journal of Aircraft, 2004, 41(6):1521-1523. doi: 10.2514/1.8707
    [10]
    刘沛清, 魏园.在近距耦合鸭式布局中的涡系结构[J].实验流体力学, 2005, 19(3):85-89.

    LIU P Q, WEI Y. Vortex structures on close-coupled canard configurations[J].Journal of Experiments in Fluid Mechanics, 2005, 19(3):85-89(in Chinese).
    [11]
    LIU P Q, WEN R Y, ZHANG G W, et al.Experimental study of canard-spanwise pulsed blowing on a canard configuration[J].Journal of Aircraft, 2008, 45(5):1816-1820. doi: 10.2514/1.36854
    [12]
    马宝峰, 刘沛清, 邓学蓥.大迎角下鸭翼涡与边条涡的干扰特性[J].航空学报, 2002, 23(6):560-563.

    MA B F, LIU P Q, DENG X Y.Characteristics of canard vortex interaction with strake vortex at high incidence[J].Acta Aeronoutica et Astronautica Sinica, 2002, 23(6):560-563(in Chinese).
    [13]
    SPACHT G.The forward swept wing: A unique design challenge: AIAA-1980-1885[R].Reston, VA: AIAA, 1980.
    [14]
    MANN M J.A forward-swept wing fighter configuration designed by a transonic computational method[J].Journal of Aircraft, 1986, 23(6):506-512. doi: 10.2514/3.56774
    [15]
    MOORE M, FREI D.X-29 forward swept wing aerodynamic overview: AIAA-1983-1834[R].Reston, VA: AIAA, 1983.
    [16]
    KEHOE M W, LAURIE E J, BIARKE L J.An in-flight interaction of the X-29A canard and flight control system: NASA TM-101718[R].Waslington, D.C.: NASA, 1990.
    [17]
    SALTZMAN E J, HICKS J W.In-flight lift-drag characteristics for a forward-swept wing aircraft(and comparisons with contemporary aircraft): NASA T R 3414[R].Washington, D.C.: NASA, 1994.
    [18]
    张彬乾, LASCHKA B.前掠翼根部流动分离的控制[J].航空学报, 1992, 13(5):241-246.

    ZHANG B Q, LASCHKA B.Flow separation control at the root part offorward-swept wing[J].Acta Aeronautica et Astronautica Sinica, 1992, 13(5):241-246(in Chinese).
    [19]
    ZHANG B Q, LASCHKA B.Several ways to control the flow separation at the root part of forward-swept wing(FSW)[M].Munich:Munich Technische University, 2002:3-51.
    [20]
    王晋军, 赵霞, 王双峰, 等.鸭翼-前掠翼气动布局纵向气动特性实验研究[J].空气动力学学报, 2004, 22(2):237-244.

    WANG J J, ZHAO X, WANG S F, et al.Experimental investigation on longitudinal aerodynamic characteristics of canard-forward-swept wing configuration[J].Acta Aerodynamica Sinica, 2004, 22(2):237-244(in Chinese).
    [21]
    展京霞, 王晋军, 赵霞, 等.近距鸭翼高度对鸭翼-前掠翼布局纵向气动特性影响的实验研究[J].实验流体力学, 2006, 20(2):50-54.

    ZHAN J X, WANG J J, ZHAO X, et al.Investigation on the effects of the height of close canard wing on the aerodynamic characteristic of a forward-swept configuration[J].Journal of Experiments in Fluid Mechanics, 2006, 20(2):50-54(in Chinese).
    [22]
    李岸一, 王旭, 刘文法, 等.鸭翼涡与边条涡对前掠翼布局的增升研究[J].空军工程大学学报(自然科学版), 2010, 11(1):19-23.

    LI A Y, WANG X, LIU W F, et al.Study on lift-enhancement of canard vortex and strake vortex to configuration with forward-swept wing[J].Journal of Air Force Engineering University(Natural Science Edition), 2010, 11(1):19-23(in Chinese).
    [23]
    EUGENE L T.Navier-Stokes simulation of a close-coupled canard-wing-body configuration[J].Journal of Aircraft, 1992, 29(5):830-838. doi: 10.2514/3.46253
    [24]
    ISMAIL H T, MAX F.Computational study of subsonic flow over a delta canard-wing-body configuration[J].Journal of Aircraft, 1998, 35(4):554-560. doi: 10.2514/2.2359
    [25]
    于冲, 王旭, 董福安, 等.y+值对翼型气动参数计算精度的影响研究[J].空军工程大学学报(自然科学版), 2012, 13(3):25-29.

    YU C, WANG X, DONG F A, et al.The study of effect on y+ for precision of pneumatic parameters about foil[J].Journal of Air Force Engineering University (Natural Science Edition), 2012, 13(3):25-29(in Chinese).
    [26]
    王福军.计算流体动力学分析[M].北京:清华大学出版社, 2004.

    WANG F J.The analysis of computational fluid dynamics[M].Beijing:Tsinghua University Press, 2004(in Chinese).
    [27]
    MENTER F R.Two-equation eddy-viscosity turbulence models for engineering applications[J].AIAA Journal, 1994, 32(8):269-289. doi: 10.2514-3.12149/
    [28]
    李人宪.有限体积法基础[M].北京:国防工业出版社, 2008.

    LI R X.Fundamentals of finite volume method[M].Beijing:National Defense Industry Press, 2008(in Chinese).
    [29]
    BREITSAMTER C, LASCHKA B.Vortical flowfield structure at forward swept wing configurations[J].Journal of Aircraft, 2001, 38(2):193-207. doi: 10.2514/2.2758
    [30]
    安世亚太.ANSYS CFX对某前掠翼飞机的气动模拟[EB/OL].(2015-10-29)[2019-01-15].

    ANSYS.Aerodynamic simulation of a forward-swept wing aircraft by ANSYS CFX[EB/OL].(2015-10-29)[2019-01-15].in Chinese).
  • 加载中

Catalog

    通讯作者: 陈斌, bchen63@163.com
    • 1. 

      沈阳化工大学材料科学与工程学院 沈阳 110142

    1. 本站搜索
    2. 百度学术搜索
    3. 万方数据库搜索
    4. CNKI搜索

    Figures(18)

    Article Metrics

    Article views(1663) PDF downloads(659) Cited by()
    Proportional views
    Related

    /

    DownLoad:  Full-Size Img  PowerPoint
    Return
    Return