2024 Vol. 50, No. 11

Display Method:
Volume 11 Issue E-journal
Volume 50 Issue112024
iconDownload (64789) 820 iconPreview
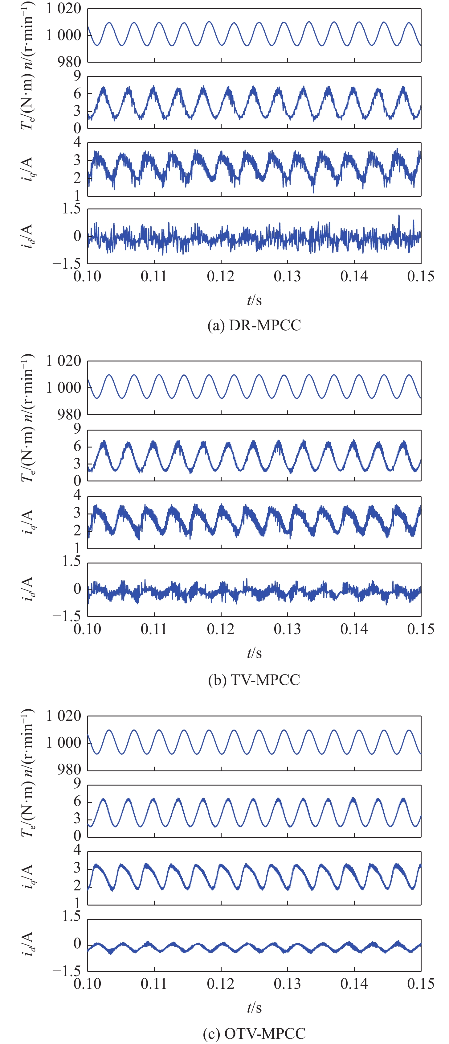
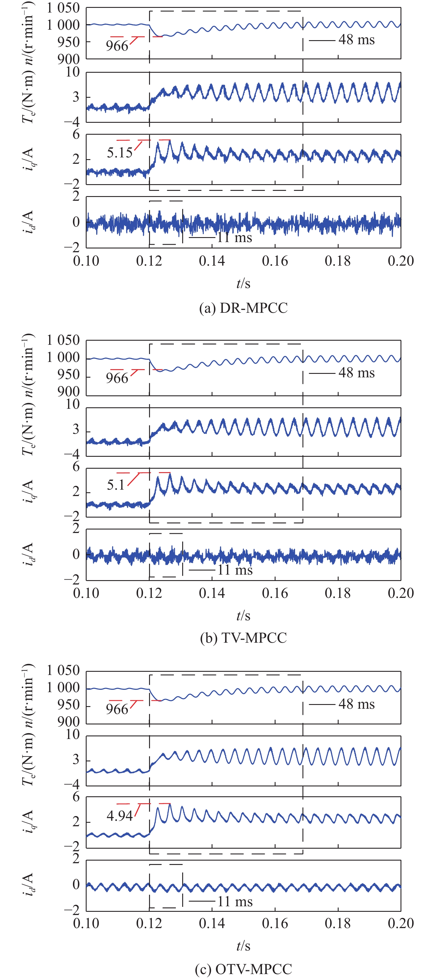
Optimization three-vector-based model predictive current control for permanent magnet toroidal motor
LIU Xin, WANG Zhengyang, WANG Xiaoyuan
2024, 50(11): 3297-3309. doi: 10.13700/j.bh.1001-5965.2022.0833
Abstract:

To improve the steady-state output performance of permanent magnet toroidal motor system with traditional predictive current control, the optimization three-vector-based model predictive current control (OTV-MPCC) strategy for toroidal motor was studied in this paper. A mathematical model of a toroidal motor with time-varying parameters was created in a rotating coordinate system, based on the structural principle of a toroidal motor. The influence of structural parameters on output was analyzed for toroidal motor. For toroidal motor system with time-varying parameters, the OTV-MPCC strategy was adopted. Three voltage vectors were applied in one sampling period. In the meantime, the current prediction iteration is decreased by selecting the second optimal voltage vector through a traversal of five groups of three vector combinations. Three strategies for toroidal motors were simulated and compared: the OTV-MPCC approach, the duty ratio model predictive current control (DR-MPCC) strategy, and the two-vector-based model predictive current control (TV-MPCC) method. The research results show that OTV-MPCC strategy can reduce current and torque ripple for toroidal motor effectively, and it can improve steady-state output performance.

Terminal operation resilience analysis based on discrete event simulation
CHENG Guoyong, CHEN Shi
2024, 50(11): 3310-3318. doi: 10.13700/j.bh.1001-5965.2022.0825
Abstract:

Improving the operation resilience of the terminal is the best way to reduce the loss of people and property in an accident, mitigate the damage, and restore its function as soon as possible. At present, there is a lack of theories and techniques for quantitatively analyzing the resilience of the terminal based on the time-varying process of operation performance indicators. First, a theoretical framework of terminal operation resilience was proposed, with a comprehensive resilience index of the terminal system, which comprehensively reflected the robustness, rapidity, and system performance loss. Then, based on discrete event simulation, the resilience variation law of the terminal operation system under two disturbance scenarios of equipment damage and personnel absence, different disturbance time, and passenger arrival rates was obtained. In addition, two resilience improvement strategies were put forward to improve security check efficiency and equipment redundancy rate. The results show that the system robustness index and performance loss index are negatively correlated with disturbance time and passenger arrival rate. For the two scenarios of equipment damage and personnel absence, improving the security check efficiency increases the comprehensive resilience level of the system from the original 0.325 and 0.054 to 0.834 and 0.913, respectively, and improving the equipment redundancy rate increases the comprehensive resilience level of the system from 0.22 to 0.638.

Weak supervision detection method for pin-missing bolts of transmission lines based on SAW-PCL
ZHAO Zhenbing, MA Diya, DING Jietao, ZHAI Yongjie, ZHAO Wenqing, ZHANG Ke
2024, 50(11): 3319-3326. doi: 10.13700/j.bh.1001-5965.2022.0832
Abstract:

Bolt is an indispensable fastener in the transmission line, and a pin-missing bolt will inevitably cause major safety hazards. Since the bolt target is small, and the annotation is difficult, a weak supervision detection method for pin-missing bolts of transmission lines based on SAW-PCL was proposed, and the bolt target could be located through image-level annotation information. The convolutional block attention module (CBAM) was introduced into the main network to suppress useless background features, extract fine features of bolts, and improve the detection capability of bolts. In view of the imbalance problem that the detection accuracy of the pin-missing bolt was far lower than that of the normal bolt in the weak supervision detection, an self-adaptation weighted loss function (SAW) was proposed to dynamically adjust the learning degree of the model for different categories of samples, balance the detection accuracy between different categories, and focus on the problem of pin-missing bolts. Moreover, the average detection precision difference among classes (ADPD) was defined to evaluate this imbalance. The constructed SAW could improve the detection accuracy of pin-missing bolts and had a certain ability to balance the detection accuracy of normal bolts and pin-missing bolts. The defined average detection precision difference among classes could be used to evaluate the balance of the detection performance of the model. The experimental results on the self-built dataset V1 show that the mean average precision (mAP) of the improved algorithm is increased by 19.7%, and the ADPD value is reduced by 21.8. The model under the evaluation of indexes mAP and ADPD shows better detection ability of pin-missing bolts.

Indoor spatial layout estimation model based on multi-task supervised learning
ZOU Yibo, LI Tao, CHEN Ming, GE Yan, ZHAO Linlin
2024, 50(11): 3327-3337. doi: 10.13700/j.bh.1001-5965.2022.0834
Abstract:

Indoor spatial layout estimation is currently one of the research hotspots in the computer vision field. It plays a crucial role in object detection, augmented reality, and robot navigation. This paper proposed an indoor spatial layout estimation method based on multi-task supervised learning to efficiently perceive the layout relationship of indoor scenes. This method could extract the spatial segmentation map of indoor scenes in an end-to-end manner. According to the segmentation characteristics of indoor layout images, an encoder-decoder network structure was designed, and multi-task supervised learning was introduced to obtain the indoor spatial layout and the semantic edge results of each region. The joint loss function was defined to continuously optimize the segmentation effect during the model training. In order to better express the layout relationship between regions, the edge prediction results of each region were used to locally refine the output of the network model, so as to infer the final spatial layout of indoor scenes. Experiments on the public datasets LSUN and Hedau show that the proposed method can effectively optimize the effect of indoor spatial layout estimation and obtain 7.54% and 7.08% pixel errors respectively, which is better than the comparison method in general.

Design of pseudo-code phase modulation and LFM composite fuze interference based on Duffing oscillator
YAN Xiaopeng, AN Tai, HAO Xinhong, ZHAO Wenlong, DAI Jian
2024, 50(11): 3338-3347. doi: 10.13700/j.bh.1001-5965.2022.0843
Abstract:

This paper proposes a method of estimating the parameters of a composite modulation fuze based on the frequency variation relationship and synchronization of the Duffing oscillator array. This is done by studying the characteristics of the Duffing oscillator output signal that is excited by the signals of the pseudo-code phase modulation and the linear frequency modulation (LFM) composite modulation fuze in order to meet the urgent need for jamming technology in the modern battlefield. Further, this paper proposes a design scheme of jamming waveform of composite modulation fuze based on the parameter estimation method. The parameter estimate approach suggested in this research, based on the Duffing oscillator, is compared to the standard parameter estimation method of composite modulated fuze signal through simulation experiments.Then, the effect of the jamming signal reconstructed on the composite modulation fuze is theoretically analyzed, and the semi-physical experiment is carried out to verify and compare with the traditional deception jamming method. The experimental results show that the parameter estimation method proposed in this paper can still obtain high precision parameter estimation results under −35 dB signal-to-noise ratio (SNR), and the reconstructed fuze jamming signal is superior to the other traditional deception jamming signals under −20 dB SNR.

Fine alignment method for biaxial redundant rotating inertial navigation system
WANG Lifen, ZOU Tao, REN Yuan, WANG Weijie, ZHU Ting
2024, 50(11): 3348-3357. doi: 10.13700/j.bh.1001-5965.2022.0818
Abstract:

Compared with the strapdown inertial navigation system, the redundant rotating inertial navigation system (RRINS) improves its reliability and reduces the impact of constant error of inertial components on its navigation performance by rotating modulation technology. According to the requirement of high-precision initial alignment of this kind of system, regular tetrahedral RRINS was taken as an example to study its fine alignment. Firstly, the fine alignment error model of combined three gyroscopes and three accelerometers was established. Secondly, the Kalman filter and biaxial transposition scheme were designed. Finally, the fine alignment results of each combination and the mean value of zero bias of the gyroscope and accelerometer were used as the final estimation results. The simulation results show that the relative error of zero bias estimation of the accelerometer is less than 0.2%, and that of the gyroscope is less than 0.1%. The fine alignment experiment results show that the fine alignment error of the proposed method is reduced by more than 75% compared with that of the static base within the same time. The attitude error of the navigation solution is reduced by more than 65% after compensating for the inertial component measurement information with the zero bias estimated in the fine alignment experiment, and the navigation performance is effectively improved. The simulation and experimental results show that the proposed method can effectively improve the fine alignment accuracy and accurately estimate the zero bias of the inertial component.

Lightweight semantic segmentation algorithm based on GLCNet
MA Sugang, CHEN Qimei, HOU Zhiqiang, YANG Xiaobao, ZHANG Zixian
2024, 50(11): 3358-3366. doi: 10.13700/j.bh.1001-5965.2022.0822
Abstract:

Most semantic segmentation algorithms based on convolutional neural networks have massive parameters and high computational complexity, which limit their applications in real-time processing scenarios. Therefore, this paper proposed a lightweight semantic segmentation algorithm based on a global-local context network (GLCNet). The algorithm consisted of a global-local context (GLC) module and a multi-resolution fusion (MRF) module. The GLC module learned the global and local context information of the image, in which the dependencies between features were enhanced using residual connections. On this basis, the MRF module was proposed to aggregate features at different stages. First, upsampling was performed on low-resolution features, which were then fused with high-resolution features to enhance the spatial information of higher-level features. Tests were conducted on the Cityscapes and Camvid datasets, and the mean intersection over union (mIoU) of the algorithm achieved 69.89% and 68.86%, respectively, with speeds of 87 frame/s and 122 frame/s on a single NVIDIA Titan V GPU. The experimental results show that the algorithm achieves a good balance among segmentation accuracy, efficiency, and the number of parameters, and the number of the parameters is only 0.68×106.

Multi-Bernoulli extended target tracking based on orientation and half axes lengths of an ellipse
SUN Ke, HU Qingshuang, ZHENG Xiangfei, WU Sunyong
2024, 50(11): 3367-3376. doi: 10.13700/j.bh.1001-5965.2022.0869
Abstract:

The problem that the shape of the extended target is hard to estimate and the newborn target's prior information is unknown in the clutter environment is solved in this paper by using the extended targets-cardinality balance multi-target and multi-Bernoulli (ET-CBMeMBer) filter. This parameterized multi-extended target tracking algorithm is based on the orientation and half axes lengths of an ellipse (OAL). Considering the spatial information of the target, an explicit measurement equation is constructed by multiplicative noise, and the closed-form solution implemented by the Gaussian mixture of the OAL-CBMeMBer filter is deduced. Based on the explicit measurement equation, the prior information of the newborn target that considers the position of the centroid and the shape state is adaptively constructed by employing the known measurement data, and the adaptive OAL-CBMeMBer filter is proposed. The proposed OAL-CBMeMBer filter can effectively track numerous extended targets and increases the estimation accuracy of target number and state, according to simulation findings.

Design and development of virtual simulation experiment software of composite piezoelectric materials
GENG Zhiting, ZHAO Jianqiao
2024, 50(11): 3377-3381. doi: 10.13700/j.bh.1001-5965.2022.0826
Abstract:

Composite piezoelectric materials are excellent carriers for learning piezoelectric theory, but simulation software for virtual experimental teaching of composite piezoelectric materials still needs to be developed. A software based on barium titanium oxide@polyvinylidene difluoride (BTO@PVDF) virtual simulation experiment teaching software of composite piezoelectric materials is developed. Students can investigate the properties of composites' piezoelectric response and get an understanding of basic piezoelectric theory by using the software to simulate flexible piezoelectric materials using models of porous and composite materials. With the help of the software, which integrates the entire process of material design, preparation, and characterization, creates multiple adjustable parameters, and presents the results at different levels, students can more independently and with great flexibility realize a more realistic virtual simulation of composite piezoelectric materials. The software adds video explanations, interactive questions and answers, knowledge tips and other interactions to improve the liveliness of teaching and cultivate students’ ability to think independently.

Model predictive current control of asynchronous motor in rolling mill based on sliding mode theory
FANG Yifang, WU Dayuan, LIU Tao, YANG Panpan, LI Wenbo
2024, 50(11): 3382-3390. doi: 10.13700/j.bh.1001-5965.2023.0576
Abstract:

The asynchronous drive motor of small-scale hot-rolling mills has the characteristics of high production efficiency and straightforward operation. However, due to its often harsh working environment with high temperature, high pressure, and dust, the performance requirements for the controller are higher. To use an adaptive sliding mode controller (ASMC) as the outer speed control loop and to calculate and observe the rotor flux via a full-order sliding mode flux observer (SMRFO), this article focuses on the asynchronous drive motor of small-scale hot-rolling mills. Sliding mode control theory and model predictive control are combined in this design process. According to simulation studies, this system may considerably increase response speed and accuracy over conventional model predictive current control systems while also efficiently controlling the asynchronous drive motor of small-scale hot-rolling mills. The system's capacity to promptly retrace the specified speed in the event of abrupt variations in the motor load torque enhances its anti-interference performance.

Simulaton of therochemical nonequilibrium and rarefied-slip flows for hypersonic flight vehicles
LI Peng, CHEN Jianqiang, DING Mingsong, MEI Jie, JIANG Tao, Dong Weizhong
2024, 50(11): 3391-3401. doi: 10.13700/j.bh.1001-5965.2022.0870
Abstract:

The rarefied slip effect has a significant impact on the aerodynamic characteristics of hypersonic vehicle. Based on HyFLOW software, velocity slip and temperature slip boundary conditions suitable for thermochemical nonequilibrium flows are constructed. Meanwhile, the rarefied slip flows over the usual hypersonic vehicles of the Orion reentry capsule, OREX experiment flight vehicle, and the Columbia OV102-like space shuttle are simulated, and the associated aerodynamic properties are also anticipated and studied. Research results indicate that the rarefied slip boundary model in HyFLOW software is reliable, and has high computational accuracy in predicting the aerodynamic and aerothermal characteristics related to coupling effects of thermochemical nonequilibrium and rarefied slip. It can meet the simulation application requirements of complex engineering configurations. In addition, the rarefied slip effect can significantly reduce the peak value of heat flux and its distribution area. The peak heat flow of the OV102-like space shuttle's nose is anticipated by the slip condition to be, at most, 45% less than that of the no-slip condition, and, at most, 20% less than that of the leading edge of the wing.

Green trajectory optimization of aircraft in terminal area
REN Guangjian, HE Jiaxing
2024, 50(11): 3402-3409. doi: 10.13700/j.bh.1001-5965.2022.0830
Abstract:

Air transport is an important pillar in the field of comprehensive transportation in China, and the research on its green operation is of great significance to sustainable development. To achieve green optimization and reduce carbon emissions, the trajectory of the aircraft in the terminal area was optimized, which effectively reduced carbon emissions and drew effective conclusions. The influence of the flight in the terminal area on the environment was explored, and the engine emission model was established. Based on the existing automatic dependent surveillance-broadcast(ADS-B) data and the cruise performance of aircraft A321, the data were analyzed and summarized. An integer programming model was established to divide flight segments and study the specific circumstances of the aircraft in the flight segment. The trajectory emission model was obtained by considering the two states of changing aircraft altitude and keeping horizontal flight and discussing the length of horizontal distance between flight segments. Then, the constraints were established according to the model assumptions and navigation rules, and the particle swarm optimization (PSO) algorithm was used to solve the problem. The model increased the altitude layer change constraint, optimized the flight state, reduced the control load, and lowered the carbon emission by 8.45% after trajectory optimization. By comparing the trajectory before and after optimization, it was found that under the goal of reducing emissions, the approach strategy of continuous descent was more efficient than the strategy of gradient descent.

Aerodynamic layout optimization design of high-speed folding-wing vehicles
YUAN Ya, LIU Jun, YU Jiaquan, ZHANG Cheng, REN Pengfei
2024, 50(11): 3410-3416. doi: 10.13700/j.bh.1001-5965.2022.0849
Abstract:

In order to solve the optimization design problem of the aerodynamic layout of complex high-speed folding-wing vehicles under the constraints of internal loads and external launch devices, a parametric modeling method for folding-wing vehicles based on the combination of class shape transformation (CST) and direct parameterization was proposed. In addition, a fast calculation method of viscous aerodynamic characteristics based on the rapid correction of the normal vector of the object plane was developed. The multi-objective optimization algorithm framework and optimization process of high-speed folding-wing vehicles based on Kriging-genetic algorithm (Kriging-GA) were constructed, so as to optimize the aerodynamic layout design of high-speed folding-wing vehicles. The optimization solution set under multiple objectives and constraints was obtained, which could guide the aerodynamic layout optimization design of high-speed folding-wing vehicles.

Field balancing method for rotor system of magnetically suspended control and sensing gyro
XIA Changfeng, WANG Xiaole, LI Zhi, JIANG Chengwei, WANG Weijie, CHENG Fuqiang
2024, 50(11): 3417-3425. doi: 10.13700/j.bh.1001-5965.2022.0852
Abstract:

A field balancing solution based on current response is proposed to optimize mass distribution and eliminate dynamic unbalanced vibration in the rotor tilt mechanism of a magnetically suspended control and sensing gyro (MSCSG). The working principle of the magnetic bearing-rotor system is first analyzed. Then the geometric analytic relation between the geometric and inertial axis of the rotor is achieved on the condition that the rotor is unbalanced, and the static and dynamic unbalance of the rotor are quantitatively analyzed. On the basis of this, a secondary correction method with the benefit of excellent linearity in Lorentz force magnetic bearing (LFMB) is used to infer the relationship between imbalanced mass and rotor control current. Thus the rotor mass distribution is improved by field balancing, so as to reduce the unbalanced vibration in the rotor system from the root. Experiment results of field balancing show that the proposed method can reduce the dynamic unbalance vibration peak value of the rotor system by 67.7% which verifies the effectiveness of the proposed method.

On-line prediction method of wing flexible baseline based on autoregressive model
LIU Yanhong, HUANG Yan, TAN Hao, YE Wen, DONG Xiwang
2024, 50(11): 3426-3433. doi: 10.13700/j.bh.1001-5965.2022.0865
Abstract:

The flexible dynamic deformation of the wing restricts the improvement of transfer alignment accuracy for distributed position and orientation system(POS). The fiber grating sensor can accurately measure the flexible baseline. However, the process of transforming the strain measured by the optical fiber grating sensor into the baseline takes extra time, which results in that the measured baseline cannot be used for transfer alignment in real time. This paper proposes an online prediction method of the flexible baseline based on the autoregressive model in order to solve this problem. The method is based on the measurement of the flexible baseline of the fiber grating sensor. By updating the model parameters recursively online with the measured baseline data as input, the model can predict the baseline with greater accuracy. Finally, the vibration experiment is carried out on a simulated wing platform. The experimental results show that the method proposed in this paper achieves accurate baseline prediction, the prediction error is within 0.051 mm and has strong real-time performance.

Design and application of EMD-ARIMA drift model for flexible gyro
CAI Yao, SI Yuhui, WANG Yuzhuo, HUANG Tao, ZHANG Yajing, YANG Xiaolong
2024, 50(11): 3434-3444. doi: 10.13700/j.bh.1001-5965.2022.0871
Abstract:

In order to reduce the drift rate of the flexible gyro and improve the precision of the flexible gyro, EMD-ARIMA drift model was proposed based on empirical mode decomposition (EMD) and autoregressive integrated moving average (ARIMA) signal processing tools. The outfield removal operator is designed to avoid the overshoot and undershoot problems in the EMD process. The identification of the intrinsic mode function (IMF) is discussed, and the principles for the use of IMF at various levels are formulated. By depending on technical staff to interpret autocorrelation and partial autocorrelation graphs and to implement the batch processing function of EMD-ARIMA modeling for multiple signals (or multi-order IMFs), the adaptive order optimization operator is intended to avoid ARIMA modelling. Comparing the reconstructed fitting signal with the original signal, the engineering practice shows that the drift rate of the final reconstructed fitting signal is 12.8% lower than that of the original signal. All the error sources of Allan variance are reduced. Meanwhile, the MAPE is 3.6×10−3, and the RMSE is 5.1×10−3. The drift model in flexible gyro drift modeling possesses the qualities of universality in many individuals, consistency in two ways, and repetition in one manner.

Gravity-assist Earth-to-Jupiter transfer trajectories optimization and midcourse correction design in ephemeris model
LU Pengfei, WANG Yue, QI Zheng, LIU Jianhui
2024, 50(11): 3445-3455. doi: 10.13700/j.bh.1001-5965.2022.0819
Abstract:

The Jupiter system exploration has important scientific significance and strategic value, and the Earth-to-Jupiter transfer is the key basis for Jupiter system exploration. The optimal design of Earth-to-Jupiter transfer trajectories is carried out using gravity-assist flight technology, and the midcourse correction strategy is designed to reduce orbit errors during actual flight in the high-precision ephemeris model. First, gravity-assist flight sequences were analyzed through the Tisserand graph. Second, in order to maximize the mass of the probe entering the orbit around Jupiter, a nonlinear programming model is established to optimize the planet-assisted transfer trajectories by considering the planetary ephemeris. Then, the midcourse correction strategy is designed to eliminate actual flight errors of the multiple gravity-assist flight trajectories. Finally, with China’s Jupiter system exploration mission as an example, the optimal and suboptimal transfer solutions of various gravity-assist sequences are obtained by considering the capability of the Long March 5 launch vehicle in the launch window between the year 2034 and 2036. The results show that the optimal solution of the Venus-Earth-Earth-assisted transfer can make the mass of the probe entering the target orbit around Jupiter reach 4340.8 kg, which is about 1300 kg higher than that of the Hohmann transfer. Monte-Carlo simulations validate the midcourse correction strategy in the ephemeris model. The results show that under various errors, the final B-plane miss distances are less than 50 km, and the correction pulse consumption is small, which proves that the designed gravity-assist transfer trajectories and midcourse correction strategy can realize the Earth-to-Jupiter transfer mission in the high-precision mechanical environment and can provide a reference for the design of China’s Jupiter system exploration mission.

Mode transition control of over-under TBCC under variable Mach number
YU Huafeng, GUO Yingqing, WANG Jiamei
2024, 50(11): 3456-3462. doi: 10.13700/j.bh.1001-5965.2022.0827
Abstract:

With the development of hypersonic technology, turbine-based combined cycle (TBCC) engines have received much attention. Mode transition is one of the obstacles that restrict the application of TBCC engines. Therefore, it is necessary to study the control methods in this process. First, a model synthesis method was proposed, which realized the comprehensive iteration of a one-dimensional inlet, ramjet, and turbine engine. A TBCC model suitable for control system design was constructed based on the MATLAB/Simulink environment. Then, the single mode control system was analyzed, and a mode transition controller structure was proposed following the principle of minimal modification. The controller design method was developed by linear matrix inequality (LMI) tool. Finally, the significance of variable Mach number simulation was illustrated. The control system was verified by mode transition simulation at Mach number of 2.5–3. The simulation result shows that the control system can ensure the safety of TBCC engines, and the thrust fluctuation is less than 4.2% in the variable Mach number mode transition stage.

Cooperative interception strategy for midcourse guidance of GPI based on online prediction of reachable area
WANG Peng, ZHAO Shilei, CHEN Wanchun
2024, 50(11): 3463-3476. doi: 10.13700/j.bh.1001-5965.2022.0856
Abstract:

To address the challenges of intercepting a hypersonic glide target in near space with significant maneuverability but ambiguous maneuver intention, this paper proposes a cooperative interception strategy for the midcourse guidance phase of a gliding phase interceptor (GPI), based on online prediction of an accessible area. First, based on the analytical solution of gliding trajectory, the online estimation method of lateral reach area is given. Next, polynomial fitting and back propagation (BP) neural network are used to offer an online strategy for GPI that predicts the area of reachable range under normal effort. The analytical solution is used to estimate the lateral reachable area. Finally, the interception arc and firing data can be determined under the concept of cooperative interception. Interception simulation and analysis verify that the cooperative interception strategy can effectively deal with the reversal maneuver of a hypersonic gliding target.

Effect analysis of automation levels on stabilization time of driving behaviors
ZHAI Junda, LU Guangquan, CHEN Facheng
2024, 50(11): 3477-3483. doi: 10.13700/j.bh.1001-5965.2022.0863
Abstract:

Despite an absence of pertinent studies, the stabilization of drivers’ states following crucial incidents at varied automation degrees has a significant impact on traffic safety. In order to investigate the effects of automation levels on the stabilization time of drivers’ workload and driving performance, a method for acquiring signal stabilization time was proposed based on the confidence interval of sample mean value. A driving simulation was carried out that featured two crucial events (lead vehicle deceleration and lead vehicle lane changing) and three automation levels manual driving (MD), adaptive cruise control (ACC), and highly automated (HAD) driving. The effective data was collected from 53 participants. The results showed that compared to MD, heart rate stabilization time after the two critical events significantly increased 4.56 s. Moreover, automation levels did not show significant differences in speed, resultant acceleration and standard deviation of lane position of the vehicle after the lead vehicle deceleration. Following the lead vehicle’s lane changing event, the driving performance stabilization time increased by an average of 3.2 s and 5 s in the ACC and HAD conditions when compared to MD. The results provide a theoretical basis for the design of mode and time during the control transition of automated driving.

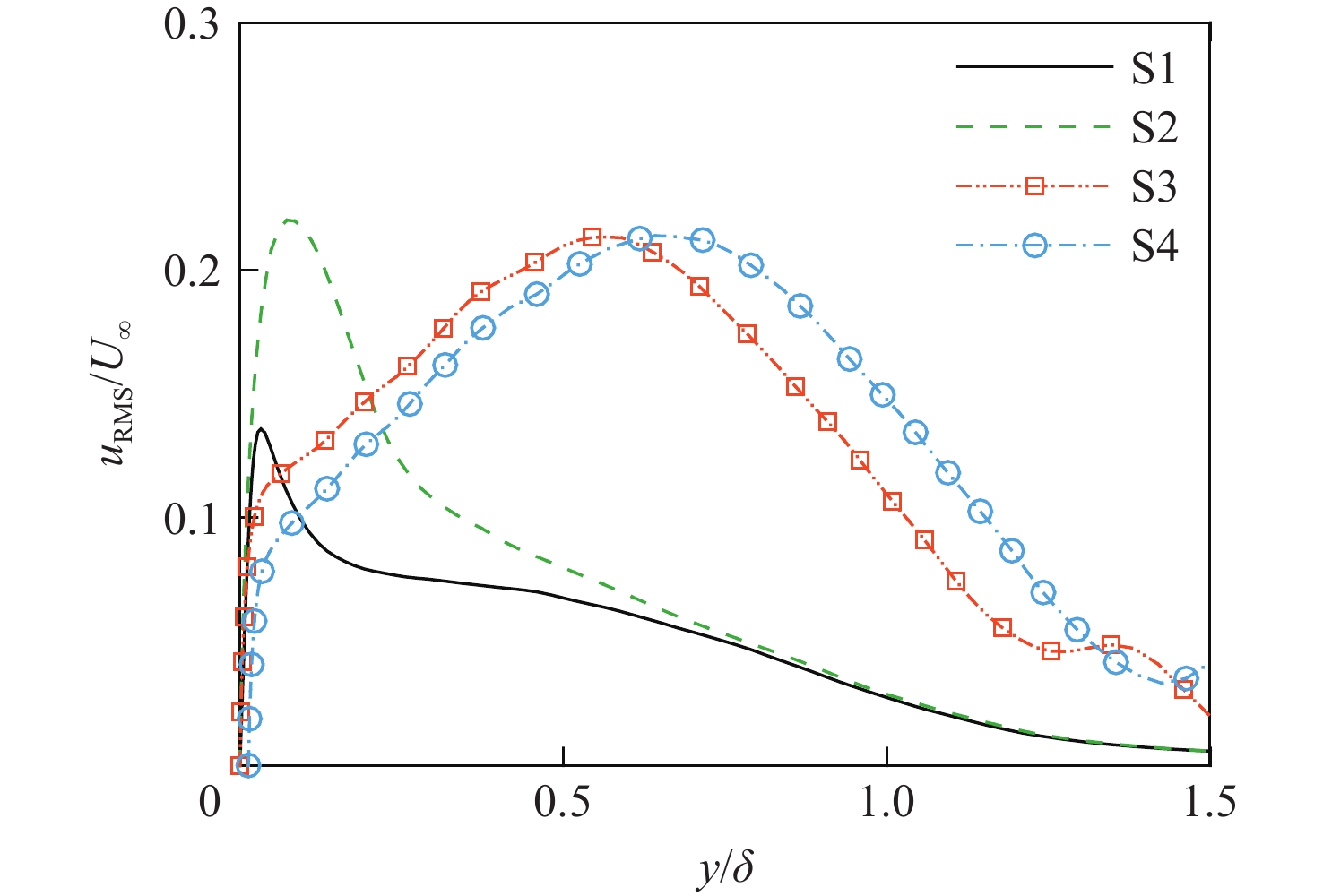
Mach number effect in shock-wave/turbulent-boundary-layer interaction flow
WU Zhengyuan, GAO Zhenxun, CHEN Xinmin, JIANG Chongwen, LEE Chunhian, GE Hang
2024, 50(11): 3484-3494. doi: 10.13700/j.bh.1001-5965.2022.0857
Abstract:

The shock-wave/turbulent-boundary-layer interaction (SWTBLI) phenomenon will result in complex flow structures. Direct numerical Simulation (DNS) studies of compressible corner flow under freestream mach number 3, 5, 11 conditions have been carried out to further explore supersonic/hypersonic SWTBLI flow mechanisms. It is found that SWTBLI causes a significant increase of turbulence fluctuation in the interaction zone, and such influence is further enhanced with the increase of freestream Mach number. Higher Mach numbers also make variations in pressure and temperature in the upstream turbulent boundary layer more noticeable. In addition, the compressible effect is also significantly enhanced by SWTBLI. Terms associated with compressible effects, including the pressure dilatation and dissipation terms, are no longer insignificant in the interaction zone and the upstream boundary layer (in the case of hypersonic travel). Furthermore, commonalities of SWTBLI-induced mean and RMS wall pressure distribution are observed. Both mean and RMS wall pressure increase rapidly through the interaction zone until reaching their peak values. Distribution of RMS wall pressure along streamwise direction shows two peak value points when a large separation zone forms, which are closely related to the mean separation point and mean reattachment point, respectively.

Time-domain random vibration analysis method of pipeline based on time-frequency conversion
WANG Tonghui, WANG Yanrong, WEI Dasheng
2024, 50(11): 3495-3506. doi: 10.13700/j.bh.1001-5965.2022.0859
Abstract:

Characteristics of damping structures are essential for pipeline vibration design. In traditional random vibration analysis, it is currently challenging to take nonlinear variables caused by damping structure into account. Based on the theory of time-frequency conversion, this paper proposes a time-domain dynamic analysis method that converts random vibration load spectrum into a time-domain vibration signal satisfying Gaussian distribution by using the time-domain randomization method. First, using a simple beam model, the reliability of the time-domain analysis method was demonstrated by comparing random vibration results in frequency-domain and time-domain analysis. Notably, there is a 5% discrepancy in the stress root mean square error between the two approaches. In addition, the difference between the time-domain method and the frequency-domain method is analyzed for the actual pipeline structure, and the advantage of the time-domain method in practical design is proved by calculating the equivalent damping ratio. Thereafter, it was analyzed that the influence of friction coefficient, preload of damping clamp and different clamp configurations on pipeline vibration by applying the time-domain analysis method. The results indicate that the configuration and preload have a greater influence on vibration, but the friction coefficient has a smaller influence. It is evident from the aforementioned analysis that the time-domain random vibration analysis method's parameter setting is more adaptable, allowing for a more thorough investigation of the effects of different structural parameters on pipeline vibration and an improvement in the damping structure's design efficiency.

Analysis of catch ratio distribution on windward facade of a cubic building under a crosswind environment
XU Chenhao, PI Siyuan, HU Shuyao, JIANG Chongwen, LEE Chunhian
2024, 50(11): 3507-3520. doi: 10.13700/j.bh.1001-5965.2022.0862
Abstract:

Previous researches on wind-driven rain on buildings mainly focus on wind-driven rain distribution on the facades under different environmental conditions and building geometries, but few researchers have analyzed the cause of the distribution. Employing the finite panel method, the catch ratio distribution on the windward facade of a cubic building is calculated, and the cause of the distribution is explained by analyzing the envelop regions bounded by the raindrop trajectories. Results indicate that there are two effects exist in the transformation of the envelop regions from the starting plane to the ending plane, which are named the stretching effect and the distortion effect. When the wind direction angle is 0° and the reference wind speed is 10 m/s, the stretching rates along the height direction and the spanwise direction both reduce from the bottom of the building to the top and middle to the sides. While the absolute distortion angles of the boundaries along the spanwise direction drop from the building's corners to the middle, their absolute values along the height direction increase from the building's center to its sides. As the reference wind speed increases, the stretching rates along the height direction alter from positive values to negative values, and the stretching rates along the spanwise direction decrease. In the spanwise direction, the distortion angles of the borders increase near the top and decrease near the bottom of the building, while the distortion angles of the boundaries along the height direction increase near the ground and decrease near the top of the building. When the wind direction angle is 30°, the stretching rates along the height direction increase from the upwind side to the downwind side, as well as the distortion angles of the boundaries along the height and spanwise directions. Moreover, the stretching rates along the spanwise direction increase from the sides to the middle. The results provide theoretical bases for further investigating the influence of building layouts on the catch ratio distribution, and designing the rain shielding structures of buildings.

A multi-objective optimal control trajectory optimization method for aircraft under wind influence
CHANG Zhening, HU Minghua, ZHANG Ying, YANG Lei, ZOU Runyuan
2024, 50(11): 3521-3531. doi: 10.13700/j.bh.1001-5965.2022.0836
Abstract:

The constraints of the 4D trajectory optimization problem under wind influence are complex, and the multi-objective 4D trajectory optimization model is difficult to solve. To this end, the modeling and solution of the multi-objective optimization problem of the vertical profile of the trajectory under a fixed horizontal flight path considering wind influence were studied based on the optimal control method. Firstly, the optimal trajectory control model was established with the objectives of minimizing flight time and flight fuel consumption. Then, a model solution method combining trapezoidal points with $\varepsilon \text{-} {\mathrm{constraint}} $ was designed, and a two-stage solution method was proposed especially for trajectory optimization under the flight scenario by altitude layer. Then, a 4D trajectory simulation model was established to verify the effect of trajectory optimization. Finally, the actual flight plan data of the long flight route was used as an example to analyze the performance of the algorithm, and two scenarios of flight at free altitude and flight by altitude layer were used to verify the effect of trajectory optimization. The experimental results show that the proposed model and algorithm can obtain better Pareto frontier solutions than the other two commonly used algorithms, and the two-stage solution method can obtain better frontier solutions in the flight scenario by altitude layer. In the frontier solutions obtained in the scenarios of flight at free altitude and flight by altitude layer, the lowest flight fuel consumption trajectories are reduced by 6.33% and 5.94%, respectively, compared with those of the flight plan simulation trajectories. The shortest flight time trajectory is 10.16% and 10.01% lower than that of the flight plan simulation trajectory.

Joint estimation algorithm of vertical force and lateral force of heavy-duty tire based on internal strain analysis of tire
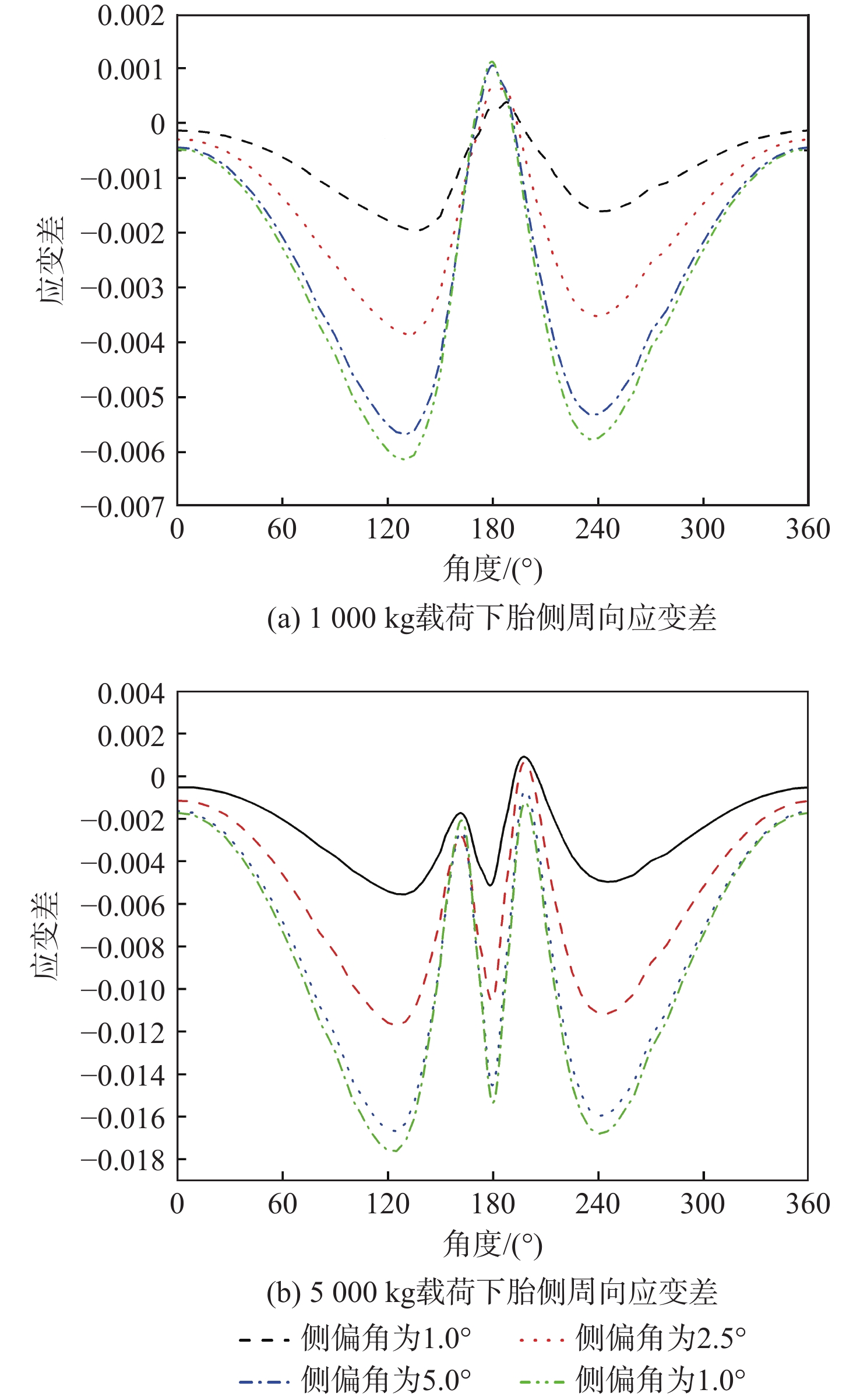
LIU Yixun, LIU Zhihao, GAO Qinhe, MA Chaoqun, LIU Xiangxin, ZHANG Jialin
2024, 50(11): 3532-3541. doi: 10.13700/j.bh.1001-5965.2022.0816
Abstract:

In order to estimate the lateral force of a tire, this paper proposed a joint estimation algorithm of vertical force and lateral force of a heavy-duty tire based on internal circumferential strain analysis of the tire. A 16.00R20 heavy-duty tire was taken as the research object, and the finite element model of the tire was established. The tests on vertical stiffness and vibration characteristics were carried out to verify the validity of the model. Based on the circumferential strain signal analysis of the tire liner, the correlation model of the peak spacing angle of the circumferential strain curve with the grounding angle and the grounding length was established, and the characterization accuracy under static load, rolling, and lateral force conditions was compared. Through the internal circumferential strain analysis of the symmetrical point of the tire, the characterization feature of the lateral force was extracted, and the linear relationship between the characterization feature and the vertical force was analyzed. The joint estimation model of vertical force and lateral force based on support vector regression was established, and the vertical force was estimated by using grounding angle and grounding length as input recognition features. Then, the lateral force was estimated by characterization features of lateral force combined with vertical force estimation. The estimation accuracy of the model was verified by a finite element test. The results indicate that the characterization error of grounding angle and grounding length based on zero-order and first-order peak spacing angle of the strain curve is less than 4.5%. The joint estimation algorithm of vertical force and lateral force based on internal strain analysis of the tire is suitable for static load, rolling, and lateral force conditions and can accurately estimate the vertical force and lateral force. The error between the estimated value and the finite element simulation value is less than 3%.

Analysis of energy receiving by rigid cell array of solar airship
LIU Siyu, GAO Jian, SUN Kangwen
2024, 50(11): 3542-3552. doi: 10.13700/j.bh.1001-5965.2022.0820
Abstract:

The energy of the solar airship comes from the solar cell array, and the amount of solar radiation received by the array determines the endurance of the airship. The rigid crystalline silicon cells and flexible thin-film cells used in the airship were modeled. By considering the size and shape of the actual panel cells, the differences in received energy between the oblique plane array of the rigid cell and the curved array of the flexible cell were compared. The effect of airship size on the received energy of the two arrays was also analyzed. Then, four oblique plane array arrangements for rigid cells were set up, and the effect of the size and shape of the solar panels in the oblique plane array on the received energy was compared. The results show that the oblique plane array of the rigid cell at the low and middle latitudes receives higher solar radiation energy than the curved array of the flexible cell throughout the year, and the opposite is true in the high latitude area. For rigid cells, the size of the solar panels in the circumferential direction of the airship will significantly affect the solar radiation energy received by the oblique plane array. In low-latitude areas, the length of the solar panel in the circumferential direction should be increased to obtain more radiation energy, while in high-latitude areas, the length should be reduced.

Influence of gap between splitter plate and side wall on performance of TBCC exhaust system
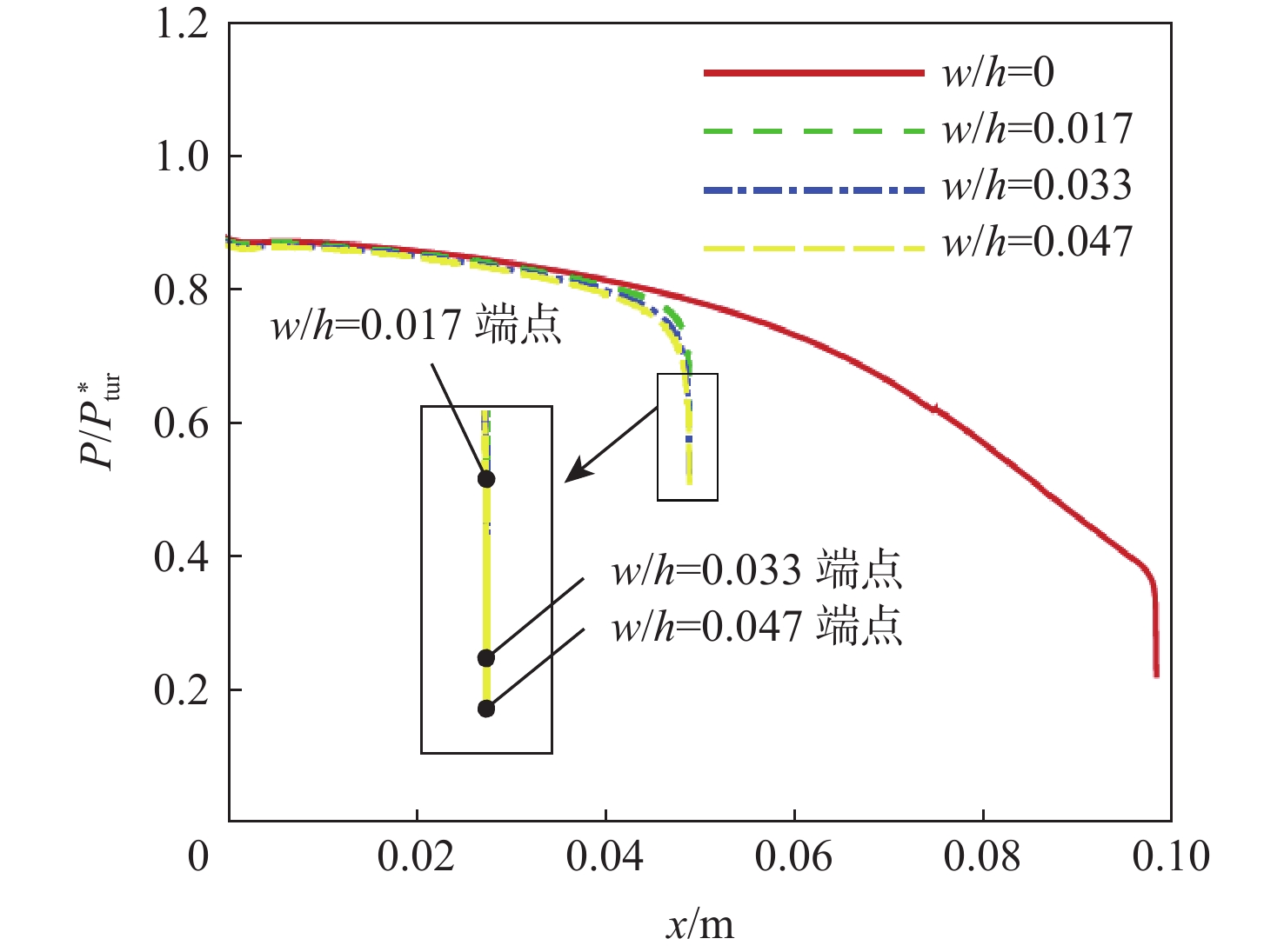
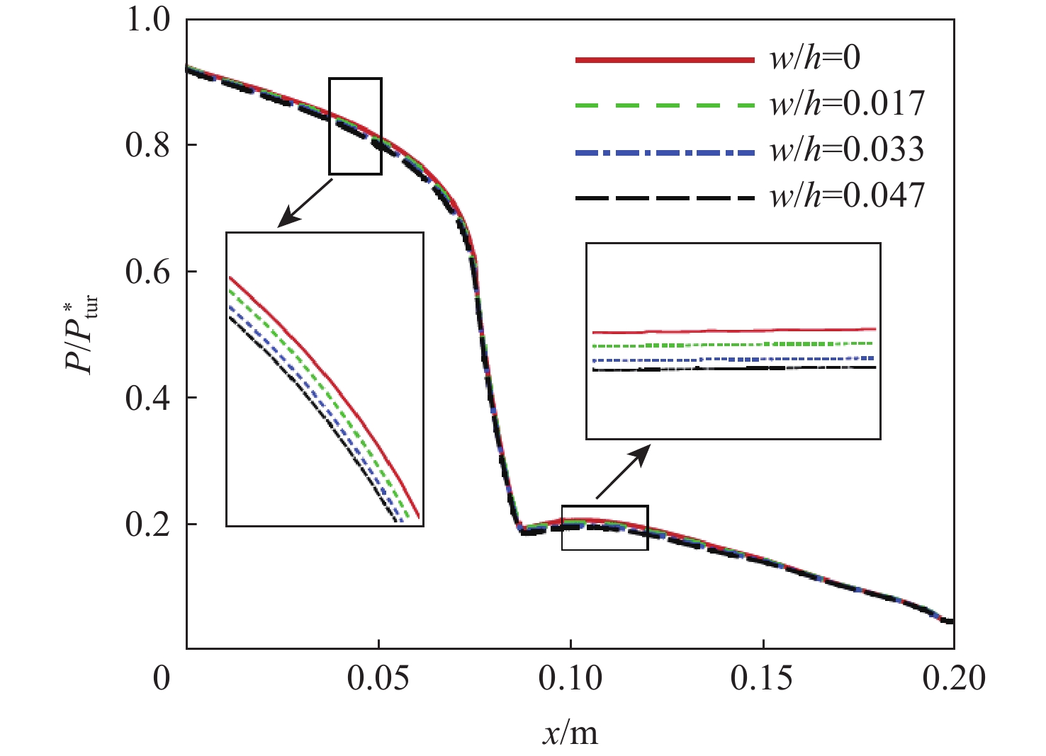
ZHANG Shijie, GE Jianhui, MA Zhao, XU Jinglei
2024, 50(11): 3553-3565. doi: 10.13700/j.bh.1001-5965.2022.0842
Abstract:

In order to study the influence of the gap between splitter plate and side wall of a turbine-based combined cycle (TBCC) exhaust system on its performance, the numerical simulation method was used to analyze the influence of different gap lengths and widths on the performance parameters of the nozzle. Then, the influence of whether there was a gap between the turbine channel and the stamping channel under different working conditions on the nozzle performance was studied. The results show that when two channels of the nozzle are under-expanded, there is a gap between splitter plate and side wall. For the turbine channel with gas leakage, the thrust coefficient of the turbine channel decreases, and the lift increases with the increase in the gap length, while the thrust coefficient of the stamping channel has almost no change, but the lift increases. In addition, the influence of gap width change on nozzle performance is consistent with that of length. The research on different nozzle working conditions finds that the existence of gaps always reduces the thrust coefficient. When the relative width and length of the gap are 0.033 and 0.31, 2.8% of the gas leakage can cause more than 1% loss of the thrust coefficient.

Dynamic characteristics of flexible micro-positioning platforms based on transfer matrix method
XU Weisheng, XU Tianqi, MA Huixin, CAO Yi
2024, 50(11): 3566-3577. doi: 10.13700/j.bh.1001-5965.2022.0845
Abstract:

With the development of precision micro-positioning technology, the research on dynamic characteristics of flexible micro-positioning platforms is necessary. As an effective method to analyze the dynamics of multi-body systems, the transfer matrix method (TMM) has the advantages of convenient modeling and high calculation accuracy. Therefore, a dynamics model of the micro-positioning platform was established based on TMM to analyze its dynamic characteristics. The basic idea of TMM was introduced, and the transfer equation of flexible mechanism was established. Its instantaneous dynamic response under arbitrary excitation was deduced. An XY flexible micro-positioning platform based on the flexible hinge and flexible beam was designed, and the transfer matrix of its branch chain and the whole platform was derived. Based on vibration theory, the transfer matrix of the main characteristic elements of the platform was derived. Finally, in order to verify the validity of the theoretical model, the natural frequency and instantaneous dynamic response of the platform were studied based on the TMM, finite element method (FEM), and equivalent mass method (EMM), respectively. The results show that the transfer matrix can be programmatically constructed based on the TMM to analyze the dynamic characteristics of the platform without establishing complicated dynamics equations. Compared with EMM, TMM can calculate the higher-order natural frequency of the platform. The maximum relative error between theoretical and simulated natural frequencies of the platform is just 2.4%, and the theoretical and simulated dynamic responses basically agree with each other, which proves the validity of the model based on TMM.

Numerical modeling of water contaminants in aircraft fuel tank
YANG Wenju, SHAO Lei, LIU Weihua, HE Jiawei, CHEN Bohan
2024, 50(11): 3578-3586. doi: 10.13700/j.bh.1001-5965.2022.0850
Abstract:

In order to study the effects of initial temperature, initial relative humidity, fuel load, and relative saturation of dissolved water on dissolved water, condensed water, precipitated water, and free water, this paper established a water contaminant generation model based on the heat and mass transfer equation. The results show that: Among the four factors, the initial temperature has the greatest influence on the formation of water contaminants. With the increase in the initial temperature, the condensed water decreases first and then increases, and the free water increases. The free water generated at the initial temperature of 310 K is 177% higher than that generated at 270 K. The effect of initial relative humidity is the smallest. With the increase in the initial relative humidity, the condensed water shows an increasing trend, and the initial relative humidity of 100% results in a generation of 0.68 L of condensed water, which is 1.1 times 0.619 L generated at the initial relative humidity of 40%. The increase in fuel load will lead to the phenomenon of fuel re-absorption in the descent stage, and with the increase in fuel load, the phenomenon of fuel re-absorption is strengthened. The amount of condensed water shows a decreasing trend, while the free water shows an increasing trend. When the fuel load is 100%, 1.009 L of free water is generated, which is 1.79 times 0.561 L generated at the fuel load of 40%. The increase in the relative saturation of dissolved water will lead to an increase in the amount of precipitated water, thus increasing the total amount of free water. The total free water generated at the relative saturation of the dissolved water of 100% is 0.793 L, which is 2.37 times 0.335 L generated at the initial solubility of 40%.

Anti-jamming method for radio fuzes based on signal variational decomposition
CAI Xin, CHEN Qile, KONG Zhijie, QIAO Caixia, HAO Xinhong
2024, 50(11): 3587-3594. doi: 10.13700/j.bh.1001-5965.2022.0860
Abstract:

The pulse Doppler fuze experiences sweep-jamming when the jamming signal overloads the receiver channel, causing the fuze to misfire or detonate prematurely. At present, pulse Doppler fuze can avoid false start due to jamming signal by waveform design and multi-dimensional feature recognition, but how to detect the real target under sweep-jamming is still a difficult problem. Aiming at the above problem, the intermediate frequency signal model of pulse Doppler fuze under sweep-jamming is established, and the method of fuze anti-jamming based on signal variational decomposition is proposed. The method uses total variation regularization to decompose the intermediate frequency signal into three components: pulse, low-frequency sine wave and high-frequency noise, and the pulse is retained and processed to detect the real target. The effectiveness of the method is verified by simulation. The findings demonstrate that, even in situations where the jamming signal ratio is between 0 and 20 dB, the approach can still successfully differentiate the target echo and jamming signal. It can also significantly enhance the pulse Doppler fuze's capacity for target recognition in sweep-jamming scenarios.

Energy consumption prediction of aircraft ground air conditioning based on IPSO-AM-LSTM
LIU Han, LIN Jiaquan
2024, 50(11): 3595-3602. doi: 10.13700/j.bh.1001-5965.2022.0872
Abstract:

As a complex thermal system, the energy consumption of aircraft ground air conditioning is affected by many factors, including various weather data and time characteristics. In order to improve the prediction accuracy of ground air conditioning energy consumption when the aircraft cabin is cooled by ground air conditioning, a ground air conditioning energy consumption prediction model based on a long-short-term memory (LSTM) network is proposed. The prediction component of the model, which is utilized to extract and make use of the time series information in the data, is built by integrating the long-short-term memory network with the attention mechanism. The prediction accuracy is used as the fitness function of the algorithm. The hyperparameter optimization based on the improved particle swarm optimization (IPSO) algorithm is proposed. Compared with the standard particle swarm optimization (PSO) algorithm, the improved particle swarm optimization algorithm combines the number of iterations with the fitness to construct a dynamic adjustment function of the inertia weight. The distance from the particle to the global most optimal position is introduced and a particle intersection strategy is proposed to improve the diversity of particle swarms. The mean square error of the prediction result is 4.394. The mean absolute percentage error is 0.774%, and the coefficient of determination is 0.968. The results indicate that the prediction approach has a greater accuracy when compared to other prediction methods.