2023 Vol. 49, No. 3

Display Method:
Volume 3 Issue E-journal
Volume 49 Issue32023
iconDownload (26917) 1492 iconPreview
Air combat maneuver trajectory prediction of target based on Volterra series optimized by SABA algorithm
LI Zhanwu, PENG Mingyu, GAO Chunqing, YANG Aiwu, XU An, FANG Chengzhe
2023, 49(3): 503-513. doi: 10.13700/j.bh.1001-5965.2021.0287
Abstract:

Target maneuver trajectory prediction is an important prerequisite for air combat situation awareness and target threat assessment. Aiming at the problems of high complexity and low prediction accuracy of traditional target maneuvering trajectory prediction model, Volterra functional series model was introduced to predict the target maneuvering trajectory by analyzing and combining the chaotic characteristics of target maneuvering trajectory time series data. To solve the problem that it is difficult to solve the high-order kernel function in Volterra functional series model, the mutation mechanism and adaptive step control mechanism were used to improve the optimization ability of bat algorithm. Then, a Volterra functional series target maneuver trajectory prediction model based on self-adaptive bat algorithm (SABA) optimization was constructed, and the future maneuvering trajectory of the target was predicted by using the optimized Volterra series model with different orders. In the simulation experiment, the feasibility of the prediction model is verified by comparing with the prediction accuracy of the Volterra series prediction model improved by other optimization algorithms, and the second-order Volterra series model is proved to bemore suitable for target maneuver trajectory prediction.

Small object detection in UAV aerial images based on inverted residual attention
LIU Shudong, LIU Yehui, SUN Yemei, LI Yifei, WANG Jiao
2023, 49(3): 514-524. doi: 10.13700/j.bh.1001-5965.2022.0362
Abstract:

Aiming at the problems of complex background and too many small-size targets in UAV aerial images, a small target detection algorithm based on inverted residual attention is proposed. Firstly, an inverted residual module and an inverted residual attention module are embedded into the backbone network, while rich spatial information and deep semantic information of small targets are obtained by feature information mapping from low dimension to high dimension, thus improving the accuracy of small target detection; Secondly, in feature fusion, a multi-scale feature fusion module is established to fuse the shallow spatial information and deep semantic information, and to generate four detection heads with different sensory fields, which improves the recognition of small-size targets and reduces missed detection of small targets; Finally, a mosaic mixed data enhancement method is designed to establish the linear relationship between the data, increase the complexity of the image background and improve the robustness of the algorithm. The experimental results on data set VisDrone show that the mean average precision of this algorithm is 1.2% higher than that of DSHNet, which means that the proposed algorithm could effectively reduce missed detection and false detection of small targets in UAV aerial images.

Micro immune optimization algorithm for single objective probabilistic constrained programming
LI Jing, ZHANG Renchong, PAN Chunyan, YANG Kai
2023, 49(3): 525-537. doi: 10.13700/j.bh.1001-5965.2021.0288
Abstract:

An immune optimization algorithm with a small population is proposed to solve a single objective probability constrained programming with no prior random distribution information. In the design of the algorithm, we develop an evolutionary framework with a micro population inspired by danger theory. Based on the amplitude of error of the estimated value, two approaches are proposed to estimate the individual’s objective values and each chance constraint’s probability respectively. According to the superior and inferior relationships among individuals, the population was divided into three types of sub-population for co-evolution. A version of individual life cycle is constructed, while adaptive crossover probability, adaptive mutation probability and adaptive mutation strategy as well as crossover strategy are designed to promote effective information exchange among the above sub-populations to co-evolve individuals in different directions. The results of numerical experiments show that the proposed algorithm has good search efficiency, search effect and noise reduction ability, and has certain competitiveness and application potential.

Radar emitter signal recognition based on MSST and HOG feature extraction
QUAN Daying, TANG Zeyu, CHEN Yun, LOU Weizhong, WANG Xiaofeng, ZHANG Dongping
2023, 49(3): 538-547. doi: 10.13700/j.bh.1001-5965.2022.0338
Abstract:

Aiming at the problem of low recognition accuracy of traditional radar signal recognition algorithms under low signal-to-noise ratio, a radar emitter recognition algorithm based on multi-synchrosqueezing transform (MSST) time-frequency transformation and histogram of direction gradient (HOG) feature extraction is proposed. The algorithm performs multiple synchronous compression processing on the basis of the short-time Fourier transform (STFT) of the radar time domain signal to obtain the signal time-frequency distribution image, then uses the HOG operator to extract the HOG feature of the signal time-frequency distribution image. The HOG features are dimensionally reduced by principal component analysis (PCA), and finally the feature parameters after dimension reduction are fed into the support vector machine (SVM) to classify and identify the radar signal. The experimental results show that the algorithm has low complexity, and when the signal-to-noise ratio is −8 dB, the recognition accuracy of the simulation experiments and hardware-in-the-loop simulation experiments for 9 typical radar signals can reach more than 90%.

Design of attitude control method for ultra-low-orbit satellite with pneumatic steering gear
WANG Tao, JIAO Hongchen, LIU Jie, CHEN Leyu, ZHANG Yingchun
2023, 49(3): 548-558. doi: 10.13700/j.bh.1001-5965.2021.0265
Abstract:

To meet the differentiated needs of the attitude control of ultra-low orbit satellites, this study investigates the attitude control strategy with the assistance of pneumatic steering gears. The layout of the gear is designed and its aerodynamic characteristics are analyzed under the thin atmosphere of the ultra-low orbit, with the theoretical aerodynamic force up to the order of 10−1 N, and the aerodynamic torque the order of 10−1 N·m. On this basis, an attitude control strategy assisted by pneumatic steering gears is designed. Simulation results show that when the x-axis is controlled by the momentum wheel and the y-axis and z-axis are controlled by pneumatic steering gears, the three-axis pointing accuracy larger than 0.004° and the three-axis attitude stability larger than 0.0007(°)/s can be achieved. The attitude control strategy designed in this paper has important technical and engineering value for the application and development of ultra-low orbit satellites.

Thermal vacuum test study of mechanically pumped two-phase loop for space remote sensor
MENG Qingliang, ZHAO Zhenming, CHEN Xianggui, ZHU Xu
2023, 49(3): 559-568. doi: 10.13700/j.bh.1001-5965.2021.0270
Abstract:

In this paper, a test setup of mechanically pumped two-phase loop (MPTL) was constructed in response to the demand for high precision and high stability temperature control of the core components in space remote sensors. In this setup, a two-phase thermal-controlled accumulator with passive cooling was adopted. For the purpose of verifying the working performance of the MPTL system under the conditions of high vacuum, ultra-low temperature and varied external heat flux, the heat dissipation and temperature control ability of the MPTL system under different test conditions were tested in the vacuum chamber. Then the obtained test data, including temperature and pressure, were used to analyze the operating characteristics of the main loop, the thermodynamic behaviors in the accumulator and the heat and mass transfer between the main loop and the accumulator. The test results showed that the temperature control points of the MPTL system could be quickly adjusted by the accumulator, and the external heat flux and the action of starting up and powering off of the heat source had little influence on the temperature of the evaporators. The cooling capacity was provided by the temperature difference between the subcooling liquid entering the capillary tube and the liquid phase in the accumulator. During the phase transition in the main loop, the mass transfer behaviors between accumulator and the main loop gave rise to the pressure-drop oscillations.

Relative navigation method based on modified likelihood filtering for unmanned aerial vehicle formation
SU Bingzhi, WANG Lei, ZHANG Hongwei, WANG Haihan, SHI Lulu
2023, 49(3): 569-579. doi: 10.13700/j.bh.1001-5965.2021.0313
Abstract:

A modified likelihood cubature Kalman filtering (ML-CKF) is proposed to solve the problem that the measurements of vision-based relative navigation sensor for unmanned aerial vehicle formation are randomly delayed by multiple steps. The measurement model is modified by the Bernoulli random variables to describe the random delay. The likelihood function of the filtering is calculated by marginalizing out the delay variable to extract accurate information from the delayed measurements. The third-degree spherical-radial rule is utilized to compute the Gaussian-weighted integrals for the nonlinear system. The proposed modified likelihood filtering has the property of adaptive filtering because the weighting factors of the filtering are tuned based on the characteristics of the received measurements. By utilizing the Rodrigues parameters to denote the attitude errors, the relative navigation filter of unmanned aerial vehicle formation is designed based on the ML-CKF. Simulation results indicate that the proposed filtering algorithm could accurately estimate the relative position, velocity and attitude between the leader and follower. Moreover, the estimation accuracy of ML-CKF is superior to cubature Kalman filtering and conventional randomly delayed filtering.

A registration algorithm with datum constraints and allowance constraints
ZHU Yu, XIAO Shihong, CHEN Zhitong
2023, 49(3): 580-587. doi: 10.13700/j.bh.1001-5965.2021.0314
Abstract:

This paper presents a registration algorithm based on datum constraints and allowance constraints, which allows the surface to be machined with a uniform allowance and to maintain accurate position relations. First, a local coordinate system was introduced to compute the registration results. Then a conversion method would be employed to solve the corresponding results in the global coordinate system. The introduction of the local coordinate system reduced the degree of freedom of the point set during registration, thus decreasing the number of dimensions and improving the computational efficiency while the algorithm was solved. The results can satisfy both the datum constraints and the allowance constraints. The algorithm was applied on a simplified model of a typical aircraft part “flap track”. The computational results showed that the computing time used by this method was only 33.6 percent of that used by the registration method with the allowance constraints alone, the maximal error for measure points was less than 0.04 mm, and the fluctuating of the allowance was less than 0.03 mm. Therefore, the method is suitable for finishing the surface of similar aircraft parts adaptively.

GNSS-R BSAR range-Doppler imaging algorithm based on synchronization of direct and echo signal
WU Shiyu, YANG Dongkai, WANG Feng, MIAO Duo
2023, 49(3): 588-596. doi: 10.13700/j.bh.1001-5965.2021.0310
Abstract:

Aiming at the problems that the current global navigation satellite system-reflectometry bistatic synthetic aperture radar (GNSS-R BSAR) has a large squint in the fixed mode of one station, the slant range history is complicated, and the echo signal's azimuth is changed, the echo signal is difficult to process, an improved Range Doppler imaging algorithm is proposed. The method uses GNSS signal as the radiation source, and introduces a high-order squint range model based on the long GNSS-R BSAR synthetic aperture time in the one-stop fixed mode to obtain an accurate description of the relative time variation of the squint range between the navigation satellite and the target. Based on this model, firstly, the range migration is corrected by the time-domain cancellation of the direct signal and the echo signal to realize the accurate correction of the target range migration in the whole scene; By azimuth-block hybrid correlation processing, the azimuth shifting nature of the echo signal is overcome, and efficient and accurate imaging of the whole scene is realized. The imaging efficiency of the proposed algorithm is better than that of the traditional BP algorithm, the imaging accuracy is comparable to that of the back projection (BP) algorithm, and the focusing effect can be improved by adjusting the width of the orientation bins as needed. Finally, to validate the proposed algorithm, we conducted simulations and experiments with GPS-L5 signals , the simulation and experimental results verified the feasibility and efficiency of the proposed algorithm.

Design of time-delay robust cascade PI controller for turboshaft engine
CHEN Yifeng, GUO Yingqing, MAO Haotian
2023, 49(3): 597-605. doi: 10.13700/j.bh.1001-5965.2021.0273
Abstract:

To address the problem of system performance degradation caused by time delay in the distributed control system of turboshaft engines, this study proposes a method for designing a time-delay robust cascade PI controller based on linear matrix inequalities (LMIs) method. Firstly, the PI controller structure of the inner and outer loops of the cascade controller of the turboshaft engine is obtained according to the internal model control (IMC) method. The constraints in the form of LMI are given by the frequency loop shaping method, which ensures that the system has the desired performance. Then, gradient approximation method is used to derive stability constraints of the system based on the Routh-Hurwitz criterion. Finally, the digital simulation is carried out on the distributed nonlinear simulation platform for the turboshaft engine. The simulation results show that when the power demand drops by 5% with 0.04 s time delay, the adjustment time of the system is less than 5 s, and the power turbine speed overshoot does not exceed 0.5%, with the maximum fuel rate being 67% of the legacy control loop. This shows that the proposed method can effectively deal with the time delay in the turboshaft engine with distributed control system, and ensure the desired system performance at a lower cost .

A multimodal multi-objective path planning algorithm based on multi-swarm cooperative learning
ZHAO Meng, LU Hui, WANG Shiqi, YANG Siyi, WANG Zan
2023, 49(3): 606-616. doi: 10.13700/j.bh.1001-5965.2021.0274
Abstract:

An algorithm based on multi-swarm cooperative learning was proposed to plan multiple optimal paths to meet multiple objectives, which can improve the robustness and practicability of the planned paths. The concept of the particle swarm optimization algorithm served as the algorithm's guidance. First, to address the issue that a single population is easy to trap in local optimum in the multi-dimensional target space, a strategy of sub-swarm division was proposed. The population was divided into many sub-swarms according to the number of objectives, balancing the searching ability of the algorithm in each dimension of the target space. Second, key path points were extracted according to the in-degree and out-degree of the path points in the map. In the coding process, real coding was used to initialize the population. The dimension of the path code was equal to the number of key path points, reducing the size of the solution space. In the decoding process, the decoding experience of the elite solutions guided the fast search for feasible solutions. This method can transfer the decoding experience efficiently and reduce the uncertainty of decoding, which improved the optimization ability of the algorithm. Finally, the search results of all sub-swarms were sorted by the non-dominated sorting method to obtain the paths satisfying the planning objectives. The path planning algorithm based on the multi-swarm cooperative learning outperforms the standard particle swarm optimization algorithm in terms of search and optimization ability and is capable of solving the multimodal multi-objective path planning problem.

Robust beamforming based on linear constraint minimum variance algorithm
LYU Yan, CAO Fei
2023, 49(3): 617-624. doi: 10.13700/j.bh.1001-5965.2021.0280
Abstract:

In order to solve the problem of estimation mismatch of the direction of arrival (DOA) in the beamforming of planar antenna arrays, a method of adding linear constraints near the direction of the signal of interest (SOI) is used to improve the robustness of beamforming. In addition, to address the problem that adding linear constraints will lead to a reduction in the degree of freedom of the algorithm, taking the uniform linear array as an example, a blocking matrix pre-selection link is added to the generalized sidelobe cancellation (GSC) model. By properly addressing the degrees of freedom loss brought on by the addition of linear constraints, the new approach increases resilience while preserving the original degree of freedom. Finally, the effectiveness of the proposed algorithm is verified by experimental results.

Uncertainty lightweight design of sandwich structure of rocket fairing cone
DONG Xinxin, YUE Zhenjiang, WANG Zhi, LIU Li
2023, 49(3): 625-635. doi: 10.13700/j.bh.1001-5965.2021.0267
Abstract:

In order to analyze the influence of uncertainty on the thermal stability of the launch vehicle fairing cone shell sandwich structure and to guide the lightweight design of the structure, a model of the fairing front cone section sandwich shell is established and a temperature field model is built, based on which the thermal stability analysis of the cone shell is carried out and the critical axial pressure under the combined force-thermal load is derived. For the primary uncertainty factors, interval uncertainty optimization models and sensitivity analyses are also produced. The interval probability approach is then used to convert these models into deterministic optimization problems, which are then resolved using the genetic algorithm-collocation interval analysis method (GA-CIAM) method. The calculation results show that considering the influence of aerodynamic/thermal load and material parameter uncertainty, the optimization design of the front cone section of the fairing can effectively realize the structural lightweight on the premise of meeting the design requirements.

Image segmentation based on Logistic regression sparrow algorithm
CHEN Gang, LIN Dong, CHEN Fei, CHEN Xiangyu
2023, 49(3): 636-646. doi: 10.13700/j.bh.1001-5965.2021.0268
Abstract:

The sparrow search algorithm is improved to address its decrease of population diversity in the later stage and its easy fall into the local optimal solution. The improved algorithm introduces the oppositional learning strategy based small hole imaging to update the discoverer’s position, enhancing the diversity of the optimal position. Then, inspired by the Logistic model, a new adaptive factor is proposed to dynamically control the safety threshold, thus balancing the global search and local development capabilities of the algorithm. Simulations of comparison with other algorithms in six benchmark functions are conducted, and experimental results show higher convergence accuracy and speed of the improved algorithm than those of the other algorithms. In engineering applications, the proposed algorithm optimizes the K-means clustering algorithm for image segmentation with satisfactory segmentation performance in terms of peak signal to noise ratio (PSNR), structural similarity (SSIM) and feature similarity (FSIM).

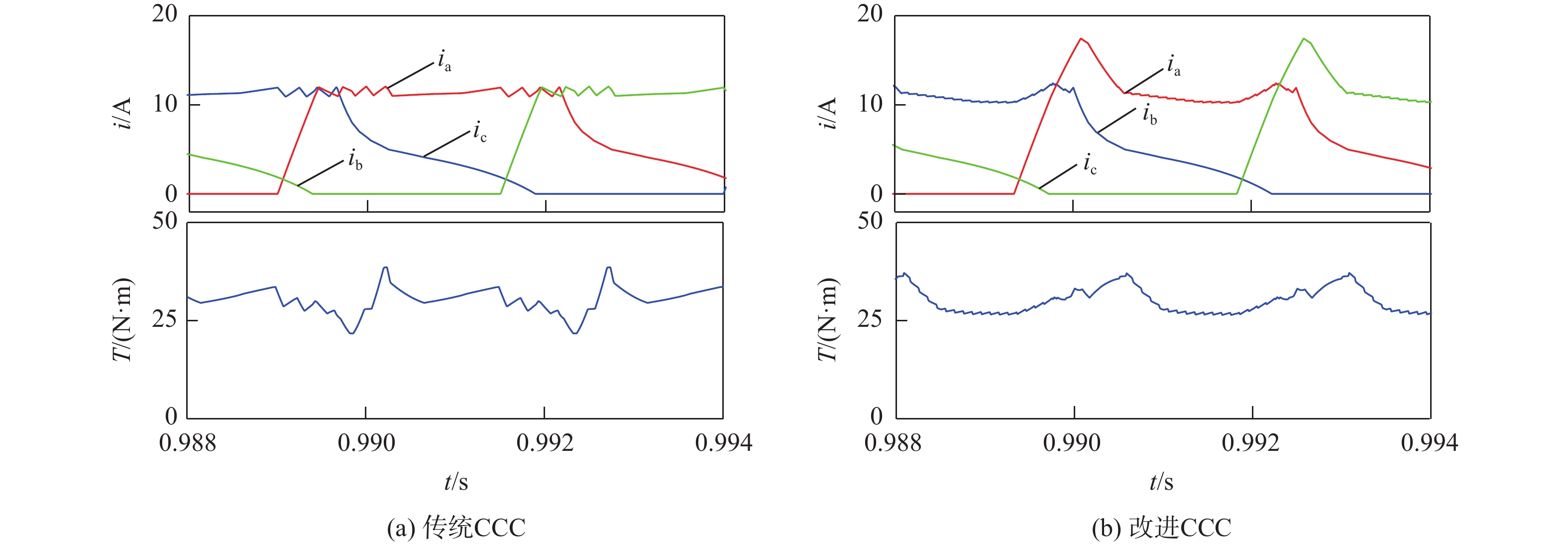
Current chopping control strategy of switched reluctance motor based on inductance characteristics
CHEN Yue, JIANG Qilong, WANG Jinsuo, YAO Weifeng
2023, 49(3): 647-656. doi: 10.13700/j.bh.1001-5965.2021.0269
Abstract:

Switched reluctance motors (SRMs) often use current chopping control (CCC) when running below the base speed. In the traditional control, however, the dynamic tracking ability of current is weak, the torque ripple in the commutation area is large, and the switching frequency of power devices is not fixed. A soft chopping current control strategy is proposed based on reference current compensation and the interval segmented according to the characteristics of inductance curve changes. In the low-inductance section, the reference current is compensated according to motor speed and load to improve the torque output capability and dynamic response capability of the phase winding during commutation. In the linear rising stage of the inductance curve, a fixed frequency pulse width modulation (PWM) wave is used to control the output torque to make it smoother. Then this study sets up a three-phase 12/8 pole switched reluctance motor simulation model and a semi-physical experiment platform. Considering the operating conditions of the motor with different speeds and loads, the torque ripple index is chosen for comparison. Simulation and experimental results show that the control method proposed in this paper can effectively reduce the torque ripple of SRMS and improve the performance of the motor.

Low-altitude, slow speed and small target detection probability of passive radar based on GNSS signals
MIAO Duo, YANG Dongkai, XU Zhichao, WANG Feng, WU Shiyu
2023, 49(3): 657-664. doi: 10.13700/j.bh.1001-5965.2021.0271
Abstract:

Although passive radar based on global navigation satellite system (GNSS) signals has received domestic and international attention owing to its advantages such as the availability of multiple satellites, global coverage, and convenience of time synchronization, it is difficult to meet the actual detection requirements due to the movement of satellites and the limited target detection performance of a single satellite. The bistatic angle calculation procedure is described in accordance with the geometric configuration, and the theoretical expression of target detection probability is derived after analyzing the relationship between target radar cross section (RCS) and bistatic angle, and the connection between detection time and target maximum detection range. On these grounds, the target detection probability of passive radar based on GPS L5 signal under the detection pattern of single-satellite, multi-satellites fusion and forward-backward cooperation is evaluated. The simulation results show that the effective probability of detection under single-satellite forward or backward mode is less than 1%, which has an effective promotion to 25% under the detection pattern of multi-satellites fusion with forward-backward cooperation. Furthermore, the continuous detection method is adopted to change the irradiation direction of the receiving antenna to detect the target. In the forward and backward cooperative multi-source fusion detection mode, the effective detection time coverage is up to 98.96%, and the all-time effective detection is basically realized.

Parasitic rotation of large stroke compliant micro-positioning platform
MENG Gang, HUANG He, WU Weiguan, JU Yongjian, CAO Yi
2023, 49(3): 665-673. doi: 10.13700/j.bh.1001-5965.2021.0272
Abstract:

Parasitic rotation is inevitable during the movement of large stroke compliant micro-positioning platforms, causing a negative impact on their positioning precision. To reduce this effect, a 3-PPPR compliant micro-positioning platform with large stroke is proposed based on compliant beams. Then, based on linear elastic beam theory, the theoretical parasitic rotational angle of the PPR compliant kinematic joint is modeled considering the axial deformations of the beams. The parasitic rotational angles of the platform are also analyzed theoretically in uniaxial, biaxial and triaxial cases. Furthermore, the theoretical models are verified by finite element analysis. Finally, the sensitivity between the dimension parameters of the compliant beams and the parasitic rotational angle of the platform is analyzed, laying a foundation for the improvement of the platform. On this basis, the optimization schemes are proposed to improve the motion performance of the platform. results show that the maximum relative errors of the theoretical and simulated values of the parasitic rotational angle is 2.46% in three driven cases.

Prediction of wing aerodynamic coefficient based on CNN
LYU Zhaoyang, NIE Xueyuan, ZHAO Aobo
2023, 49(3): 674-680. doi: 10.13700/j.bh.1001-5965.2021.0276
Abstract:

With the rapid development of machine learning and its outstanding nonlinear mapping ability, more and more scholars apply machine learning methods to the field of fluid mechanics. To overcome the obstacle that the traditional mathematical fitting cannot well present the system nonlinearity and the inconvenience of some neural network-based aerodynamic parameter prediction methods due to the need of parametric processing, and to achieve the multi-variable and multi-output aerodynamic parameters, this paper establishes a multi-variable and multi-output model based on convolutional neural network considering the variable angle of attack and the heave of the wing to realize the rapid prediction of the aerodynamic coefficient of the wing. The results show that this model has high prediction accuracy and its computational efficiency is 40 times higher than computational fluid dynamics (CFD). Moreover, the designed stability experiment results show that the proposed model has good stability.

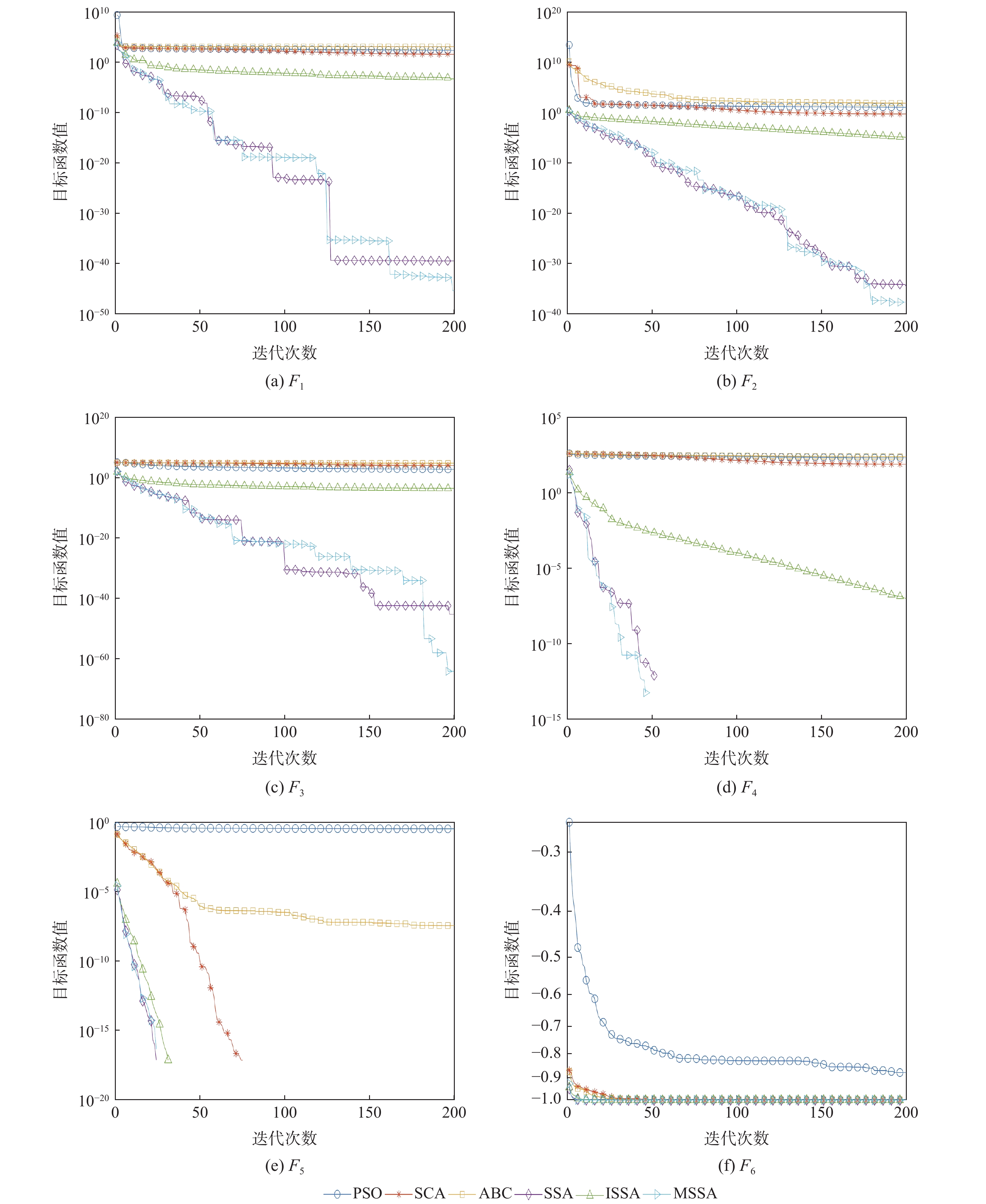
Adaptive mutation sparrow search optimization algorithm
TANG Yanqiang, LI Chenghai, SONG Yafei, CHEN Chen, CAO Bo
2023, 49(3): 681-692. doi: 10.13700/j.bh.1001-5965.2021.0282
Abstract:

To address the problems that the sparrow search algorithm is prone to fall into local extremum points in the early stage and not high accuracy in the later stage of the search, an adaptive variational sparrow search algorithm (AMSSA) is proposed. Firstly, the initial population is initialized by cat mapping chaotic sequences to enhance the randomness and ergodicity of the initial population and improve the global search ability of the algorithm; Secondly, the Cauchy mutation and Tent chaos disturbance are introduced to expand the local search ability, so that the individuals caught in the local extremum can jump out of the limit and continue the search. Finally, the explorer-follower number adaptive adjustment strategy the adaptive adjustment strategy of explorer-follower number is proposed to enhance the global search ability in the early stage and the local depth mining ability in the later stage of the algorithm by using the change of the explorer and follower numbers in each stage to improve the optimization-seeking accuracy of the algorithm. Sixteen benchmark functions and the Wilcoxon test are selected for validation, and the experimental results show that the AMSSA achieves greater improvement in search accuracy, convergence speed and stability compared with other algorithms.

Area optimization of MPRM circuits based on M-AFSA
SHAO Yixuan, HE Zhenxue, ZHOU Yuhao, HUO Zhisheng, XIAO Limin, WANG Xiang
2023, 49(3): 693-701. doi: 10.13700/j.bh.1001-5965.2021.0296
Abstract:

The existing mixed polarity Reed-Muller (MPRM) circuit area optimization algorithms based on the traditional intelligent optimization algorithms have the problem of poor performance. The MPRM circuit’s area optimization is a combinatorial optimization issue, hence an artificial fish swarm algorithm with many strategies (M-AFSA) is initially suggested. In this algorithm, a population initialization strategy based on reverse learning is introduced to improve the population diversity and the quality of the initial population solution; the interactive strategies of foraging and rearing were introduced to enhance the information exchange between the artificial fish individuals and improve the convergence speed of the algorithm; Adaptive perturbation strategy is introduced to increase the randomness of location variation of artificial fish and avoid the algorithm falling into local optimum. Moreover, we present an area optimization method for MPRM logic circuits, which uses the proposed multi-strategy coevolutionary artificial fish swarm algorithm to search for the optimal polarity with the minimum circuit area. The experimental results based on the MCNC Benchmark circuit show that compared with the genetic algorithm, the maximum area saving percentage obtained by this algorithm is 57.24%, and the average area save percentage obtained by this algorithm is 39.57%. Compared with the artificial fish swarm algorithm, the maximum and average area saving percentages obtained by this algorithm are 33.53% and 14.54%, respectively. Compared with the improved artificial fish swarm algorithm, the maximum and average area saving percentages obtained by this algorithm are 30.25% and 13.86%, respectively.

Remote sensing target detection based on dynanic feature selection
CHEN Chao, ZHAO Wei
2023, 49(3): 702-709. doi: 10.13700/j.bh.1001-5965.2021.0300
Abstract:

In the field of remote sensing image target detection, there still are challenges in oriented object detection. Convolutional neural network is subject to a fixed spatial structure when extracting information, and sampling locations cannot focus on objects. The scale of the remote sensing image varies greatly, and different objects require receptive fields of different scales to obtain feature map. Meanwhile, feature map with a single-scale receptive field cannot contain all effective information. In response to the first problem, deformable alignment convolution was proposed, which can first adjust the sampling locations according to the region of interest, and further learn slight offsets according to feature map, so that sampling locations can focus on objects and realize dynamic feature selection. For the second question, receptive field adaptive module based on deformable alignment convolution was proposed to fuse feature map with receptive fields of different scales and adaptively adjust the receptive field of neurons. Extensive experiments on public datasets showed that this method can improve the accuracy of remote sensing image target detection.

Surface defect detection algorithm based on improved YOLOv4
LI Bin, WANG Cheng, DING Xiangyu, JU Haijuan, GUO Zhenping, LI Zhuoyue
2023, 49(3): 710-717. doi: 10.13700/j.bh.1001-5965.2021.0301
Abstract:

In order to enhance the accuracy and speed of surface defect detection of aeroengine components, an improved YOLOv4 algorithm is proposed for intelligent detection. Firstly, shallow features and deep features were integrated into the path aggregation network (PANet) to improve the feature detection scale, and the bottom-up path augmentation structure was removed to increase the accuracy of small target detection and the overall detection speed. Then, according to the numbers of various defects, the balance parameter of the focal loss was optimized, and a weight factor was added to adjust the loss weight of various defects. The improved focal loss was used to replace the cross-entropy loss function in the classification error, thus reducing the impact of imbalanced samples and hard and easy samples on the detection accuracy. The experimental results show that the mean average precision (mAP) of the improved YOLOv4 on the test set is 90.10%, which is 2.17% higher than that of the traditional YOLOv4, and the detection speed is 24.82 fps, which is increased by 1.58 fps. The detection accuracy is also higher than other algorithms including single shot multibox detector (SSD), EfficientDet, YOLOv3 and YOLOv4-Tiny.

A quality evaluation method for wavelet denoising based on combinatorial weighting method
LI Jinfei, ZHAO Dongqing, WANG Dongmin, CAI Congcong, JIA Xiaoxue, ZHANG Letian
2023, 49(3): 718-725. doi: 10.13700/j.bh.1001-5965.2021.0303
Abstract:

Addressing such a problem with the traditional indicator system for quality evaluation as an insufficient theoretical basis for wavelet threshold denoising, a combination weighting approach-based method for evaluation of wavelet denoising quality is proposed with the expectation of effectively evaluating the selection of wavelet denoising parameters. Through analysis of characteristics of individual indicators such as root-mean-square error (RMSE), signal-noise ratio (SNR) and smoothness with the truth-value unknown, RMSE and smoothness are selected as wavelet denoising indicators. They are first normalized, then processed with information entropy and coefficient of variation for combination weighting, and, in the end, linearly combined with the corresponding weights to produce a new indicator, i.e., the composite index. A smaller composite index indicates better denoising effect and better parameters selected. According to a simulated experiment, the index outperforms the conventional approach in terms of accuracy given the truth-value and is applicable to various decomposition levels and wavelet base functions. According to experimental data, this method achieves smoother wavelet denoising peak regions, steadier waveforms, and a better denoising effect.

Hole edge crack monitoring technology of flexible eddy current array sensor
FAN Xianghong, GOU Baiyong, CHEN Tao, HE Yuting, CUI Ronghong, YU Jian
2023, 49(3): 726-734. doi: 10.13700/j.bh.1001-5965.2021.0306
Abstract:

A flexible eddy current array sensor with double-side reinforcement is proposed for hole edge crack monitoring. First, with COMSOL finite element method, a finite element model of the sensor and the test piece was established, through which the effects of lift-off, permeability of the gasket and crack growth on the output signals of the sensor were analyzed. Then, sensors with and without reinforcement were prepared and the extrusion experiment and on-line fatigue crack monitoring experiment were carried out, followed by error analysis based on the difference between the experimental results and the simulation results. The results showed that with the increase of lift-off and permeability of the gasket, the output inductive voltage of the sensor increased gradually, while the sensitivity of the crack detection sensor decreased with the mounting lift-off. The sensor with reinforcement can work when the tightening torque was 63 N·m, while the sensor without reinforcement completely failed when the tightening torque was 50 N·m. The online crack monitoring experiments also verified that the sensor with reinforcement has quantitative crack monitoring ability, and the crack monitoring accuracy is consistent with the distance between the excitation coils, which is up to 1 mm. The difference between the experimental results and the simulation results was mainly introduced by the lift-off.

Improved intelligent detection algorithm for SPMA protocol channel state based on recurrent neural network
ZHANG Yanhui, LYU Na, MIAO Jingcheng, GAO Qi, WANG Xiang, CHEN Zhuo
2023, 49(3): 735-744. doi: 10.13700/j.bh.1001-5965.2021.0309
Abstract:

By connecting sensors and shooters, tactical target network technology (TTNT) can realize rapid detection, positioning and strike of time-sensitive targets in denial environments. To that end, real-time and reliable channel access is highly required for tactical information transmission. TTNT uses the statistical priority-based multiple access (SPMA) protocol, which periodically calculates the statistical average number of arrival traffic pulses, to estimate the current channel state and thus control the timing of tactical information access. However, methods based on statistical average are merely suitable for stationary traffic, and will lead to large error in channel state detection when the traffic is non-stationary. To solve this problem, the traffic prediction technology was adopted and an improved detection algorithm for SPMA protocol channel state based on recurrent neural network was proposed. Meanwhile, in order to accurately obtain the current channel state, the recurrent neural network was employed to learn the hidden characteristics of historical traffic data, and a traffic predictor was constructed to timely predict the number of traffic pulses arriving at an instant. Experiments showed that the results of communication state detection with our algorithm is more realistic, which can significantly reduce the false judgment rate of the channel state.