2023 Vol. 49, No. 12

Display Method:
Volume 11 Issue E-journal
Volume 49 Issue122023
iconDownload (27257) 1048 iconPreview
Ultrasonic array testing and evaluation method of multilayer bonded structures
ZHOU Zhenggan, WANG Jun, LI Yang, WANG Fei, WEI Quan
2023, 49(12): 3207-3214. doi: 10.13700/j.bh.1001-5965.2022.0084
Abstract:

In the ultrasonic detection for multi-layer bonding structures of metal and non-metal materials such as rubber, the signal to noise ratio of debonding defect is low, and the defect identification is difficult, due to the significant difference in acoustic impedance between media and large ultrasonic attenuation. In order to improve the detection ability of de-bonding defects in multilayer structures, a novel ultrasonic detection and evaluation method based on linear array ultrasonic transducers is proposed. Firstly, the propagation characteristics of ultrasonic waves at the bonding interface are analyzed, and the spectral relationship of the reflection coefficient in a multilayer system is described. Further, a numerical simulation analysis model is built in accordance with the stiffness matrix transfer model of multilayer medium, which is used to realize the design and calculation of the ultrasonic array focusing scheme and detection process. These methods are based on the 3D CAD inspection model. Finally, by analyzing the amplitude spectrum characteristics of interface echo signals under different bonding states, a C-scan imaging method using amplitude spectrum characteristics is proposed. The experiment results show that the method proposed can effectively improve the detection efficiency of multilayer bonded structures and improve the signal-to-noise ratio of detection results, and reduce the complexity of C-scan imaging characterization of de-bonding defects.

Contraband classification method for X-ray security images considering sample imbalance
FENG Xia, WEI Xinkun, LIU Caihua, HE Xinyu
2023, 49(12): 3215-3221. doi: 10.13700/j.bh.1001-5965.2022.0095
Abstract:

X-ray security image contraband classification is widely used to assist in maintaining aviation and transportation security. This paper suggests an end-to-end X-ray security inspection image classification method that takes sample imbalance into account in order to address the issues of different scales of contraband in X-ray images, challenging samples, and unbalanced positive and negative samples inherent in passenger baggage security inspection. The feature fusion module is used to enhance the model’s ability to express picture edge and texture features while the multi-scale feature extraction network is used to capture the features of numerous sorts of illegal goods with various scales. Based on the cost-sensitive idea, the loss function is designed to solve the problem of dataset imbalance, and improve the classification accuracy of difficult samples.The experimental results of the subset constructed on the public dataset SIXray show that the proposed method improves the mean AP index by 4.5% compared with the current optimal end-to-end classification model, especially for hard-to-classify samples such as scissors, the AP index has a significant improvement effect.

Arrival flights optimal sequencing with multi-path selection based on rolling horizon control
LE Meilong, WU Xiansheng, HU Yuming
2023, 49(12): 3222-3229. doi: 10.13700/j.bh.1001-5965.2022.0120
Abstract:

Arrival flight sequencing is an effective strategy to improve landing efficiency and reduce flight delays. On the basis of previous research, this paper aims to minimize the makespan of all flights landing, considers actual multi-waypoint constraints, and proposes a path and runway integrated model, in which runway and path assignment can be achieved simultaneously based on real constraints. In order to solve the model under large-scale conditions in real-time, a multi-way point rolling horizon control algorithm is proposed. In the verification part, we take the Guangzhou Baiyun International Airport terminal area as the background and use the actual arrival data to carry out the calculation experiment. In the wake safety interval, we adopt a more detailed RECAT-CN operating standard. Based on the data from the 23 flights, the computational findings demonstrate that the presented methodology reduces wait times by 271 seconds and 55 seconds when compared to first-come, first-served and natural sequencing, respectively. Using the data of 104 flights to test the solving ability, the computational results show the solving time is 128.65 seconds with the proposed algorithm while no feasible solution is found within 3600 seconds by solver. It will state the proposed model and algorithm works well and could be used in real sequencing.

Study on buffeting test of large diameter fairing launch vehicles selection
WANG Guohui, YAN Zhijiang, JI Chen, TANG Wei, WEI Yuanming
2023, 49(12): 3230-3236. doi: 10.13700/j.bh.1001-5965.2022.0106
Abstract:

The envelope size of the fairing will be recommended during the first stage of launch vehicle design in accordance with the satellite’s envelope size requirements, which also affects the launch vehicle’s basic configuration design. To predict the buffeting risk of this configuration, the aerodynamics design team will carry out transonic aerodynamic buffeting test research in the aspect of the specific launch vehicle configuration size, frequency, and stiffness data. In this paper, the buffeting test technology of the full elastic model is adopted, and the research goal is to carry out the buffeting test in two directions for three configurations of 5 m diameter fairing of a certain rocket. The buffeting risk of the three configurations is evaluated by using the eigen system realization algorithm. The research findings indicate that the first-order elastic model of the 5.2 m diameter faring + 3.35 m diameter three-stage configuration has a quick response to incoming flow and a small response amplitude, and that the aerodynamic damping values of the first and second free-free bending modes are both positive. As a result, it can be used as the shape design solution for the large-diameter fairing of the medium-sized launch vehicle in our country.

Airspace sector planning method based on radar data mining
CAO Xingwu, YAO Di, SUN Fanrong, YAN Xinmiao
2023, 49(12): 3237-3244. doi: 10.13700/j.bh.1001-5965.2022.0573
Abstract:

With the rapid development of civil aviation, airport airspace has become more crowded. How airspace sector planning methods can be improved has become a key research question. The traditional method has the shortcomings of over-simplified indicators and relying on human experiences. This research offered a novel approach to identify airspace sectors using the trajectory information data mining technique based on raw radar data from ATC. Firstly, effective trajectory data were screened using an autoregressive model. Secondly, a feature point screening model was established to extract the heading, speed, and altitude trajectory feature point set. Through EM clustering, the center of the feature areas was determined, and the regional center of aircraft traffic was identified. The distribution of distinctive regional centers and conflict sites was then used to develop a topological relationship between the centers of the feature area points, and an optimization model based on the spectral clustering technique was created.Finally, the approach control airspace sector scheme is proposed, and simulation results verified the feasibility of the method.

Derivation and application of iterative scheme for angle-only orbit determination
SUN Yuquan, QIANG Haoran, DONG Kaihan, ZHENG Hong
2023, 49(12): 3245-3252. doi: 10.13700/j.bh.1001-5965.2022.0062
Abstract:

Regarding the problem of the angle-only orbit determination, we transformed into a method for solving the minimum value of the fitness function. The difference and relationship between the observation time step, the dynamic equation solution step and the iterative format step are analyzed. It is pointed out that the difficulty of precise orbit determination mainly lies in the high nonlinearity of the fitness function. A new method combining the initial and precise orbit determination is thus proposed, and its feasibility is analyzed theoretically. Finally, the accuracy, effectiveness and efficiency of the proposed method are verified by numerical experiments.

Fault diagnosis of ball mill rolling bearing based on multi-feature fusion and RF
WANG Jinhua, ZHOU Deyi, CAO Jie, LI Yajie
2023, 49(12): 3253-3264. doi: 10.13700/j.bh.1001-5965.2022.0069
Abstract:

The diagnosis effect is unsatisfactory because it is challenging to extract high-quality fault characteristics from a single signal given the complicated working conditions of the metallurgical industry. Aiming at the problem of directly using current and vibration signals for fusion, which cannot reflect the advantages of the two types of signals in different frequency bands and the complementary information between each other, but affects the diagnostic performance, this paper proposes a multi-feature complementary fusion fault diagnosis method based on vibration and current signals. First, the high-frequency coefficient features of the vibration signal and the current signal are fused through the maximum absolute value rule to form complementary features that reflect the high-frequency characteristics. The low-frequency coefficient features of the vibration signal and the current signal are fused through sparse representation (SR) to form complementary features that reflect the low-frequency features. By defining a feature matrix composed of multiple features to fuse full frequency band features, the global feature characterization capability is enhanced. After feature fusion, redundant features are removed to increase classification accuracy and categorize the bearing defect state using a combination of random forest (RF) and recursive feature elimination. Experimental results show that this method is more accurate than the diagnosis results based on vibration signals and current signals.

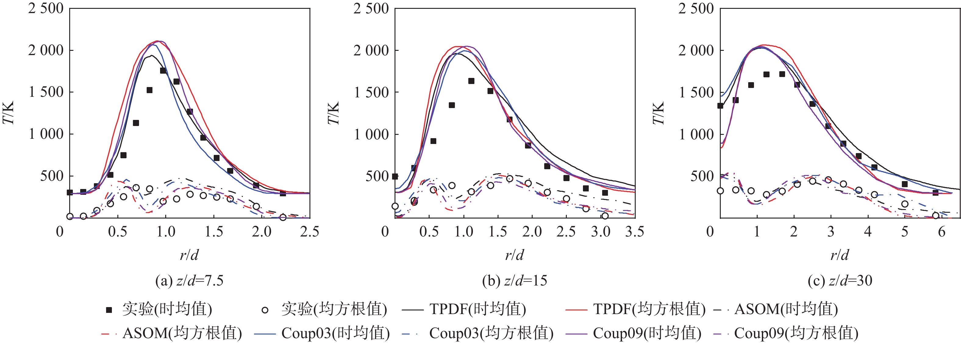
A composite TPDF-ASOM turbulence combustion model and its validation
WANG Fang, YANG Zizheng, HAN Yuxuan, JIN Jie
2023, 49(12): 3265-3282. doi: 10.13700/j.bh.1001-5965.2022.0073
Abstract:

Advanced aero-engine combustor designs require precise control of turbulent flames, and existing simulation methods need to improve accuracy and efficiency. The probability density function transport equation (TPDF) turbulent combustion model possesses high accuracy and the algebraic second-order moment (ASOM) turbulent combustion model low simulation cost. This study uses the Da number to categorize the turbulent combustion field into “high accuracy” and “low cost” categories, which is similar to the concept of detached eddy simulation (DES). To increase overall accuracy and simulation effectiveness, the TPDF-ASOM composite turbulent combustion model (TAM) was built using the random field TPDF (high accuracy) and ASOM (low simulation cost). This paper created the ASOM model on the large eddy simulation (LES)-TPDF program platform, and further realized the TPDF-ASOM composite turbulent combustion model,which is tested by the Flame D experimental data. The results show that the prediction results of the new model match the experimental values and reconcile the accuracy and simulation efficiency.

Design of quadrotor attitude controller based on improved ADRC
YAN Huabiao, XU Weibin, HUANG Lve
2023, 49(12): 3283-3292. doi: 10.13700/j.bh.1001-5965.2022.0129
Abstract:

An improved active disturbance rejection control (ADRC) was proposed for quadrotor attitude control to address the extended state observer (ESO) based on the traditional fal function's problems with easy chattering and insufficient anti-interference ability when responding to complex disturbances. A new smooth nonlinear xfal function was constructed based on the sine function to improve ESO. The stability of the improved ESO was proved by Lyapunov function. Finally, the improved ADRC was compared with other ADRCs through simulation platform. The results demonstrate that when compared to the standard ADRC, the mean square error of the pitch angle is reduced by approximately 38.7% in its chattering interval, and by approximately 78.4%, 80.2%, and 83.3% in their respective calculation intervals when the quadrotor was subjected to continuous interference, sudden interference, and complex interference, respectively. This indicates that the improved ADRC has excellent anti-interfere capabilities.

Design and on-orbit application of radiator for space optical remote sensor with large aperture
YANG Ming, WANG Lei, YU Feng, LUO Shikui, SONG Xinyang, ZHAO Zhenming
2023, 49(12): 3293-3302. doi: 10.13700/j.bh.1001-5965.2022.0116
Abstract:

To meet the light-weight and high-efficiency heat dissipation requirements of space optical remote sensors with large aperture, a space radiator based on high thermal conductivity graphite film is proposed for the first time. The basic physical properties, structural composition, mechanical properties, thermal properties and space environment adaptability of the high thermal conductivity graphite film were tested and analyzed. The common disadvantages in the application of high thermal conductivity graphite film, such as low thermal conductivity in the thickness direction, low mechanical strength, low hardness, thin thickness and small single block size, are solved by combining the high thermal conductivity graphite film with heat pipe and honeycomb plate. The high thermal conductivity graphite radiator is simulated and compared with two traditional radiators. The simulation results indicated that under the same heat dissipation capacity, the weight of high thermal conductivity graphite radiator is only about 1/3 of that of traditional aluminum alloy plate radiator, and about 1/2 of that of traditional aluminum honeycomb radiator. The heat dissipation performance of the radiator is verified by heat balance experiment and on-orbit flight application. The verification results show that the simulation values are in good agreement with the on-orbit values. The radiator not only has excellent mechanical and thermal performance, but also has significant weight reduction advantages, and can be widely used in the heat radiation of spacecraft.

Characteristic analysis and diagnosis of double charged ions of continuous variable-thrust ion thruster
HU Jing, GENG Hai, WANG Dongsheng, GUO Dezhou, ZHAO Yong, YANG Fuquan
2023, 49(12): 3303-3310. doi: 10.13700/j.bh.1001-5965.2022.0078
Abstract:

The double charged ion in the beam of ion thruster not only restricts the working life of the grid components but also affects the actual thrust of the thruster, and its proportion in the total beam directly determines the conformity of the key performance such as thrust and life of the thruster. In order to evaluate the double charged ion ratio of a 10 cm xenon ion thruster in the wide range of thrust adjustment processes accurately and rapidly, the variation characteristics and influencing factors of double charged ions during variable thrust adjustment of thruster are analyzed by using the empirical model of discharge chamber, and the theoretical proportion of double charged ions at different thrust points was obtained by calculating the actual working parameters. The experimental results are compared with the results of the theoretical calculations based on it, and the experimental proportion of double charged ions at matching thrust locations was acquired using the E-B probe diagnostic system. Results showed that: the proportion of double charged ions in ion thruster is a function of propellant utilization efficiency in discharge chamber and electron temperature, primary electron and maxwell electron density ratio. Additionally, as the anode power in the discharge chamber rises during the variable thrust adjustment process, the proportion of double-charged ions in the beam also rises. This proportion exhibits a strong nonlinear distribution, with an upward trend overall. The above research will certainly provide technical support for the optimal design of an on-orbit control strategy for ion thruster and its performance evaluation.

Optimal design of shape and motion parameters of a flapping wing
WU Yue, XIE Changchuan, YANG Chao
2023, 49(12): 3311-3320. doi: 10.13700/j.bh.1001-5965.2022.0146
Abstract:

With the development of advanced materials and microelectronic technology, the design and manufacture of flapping wing aircraft has become a research topic of great concern in recent years. The bird-like shape makes it suitable for conversion investigation and monitoring. The best shape and motion can enhance the aerodynamic impact of flapping flight, according to research conducted both domestically and internationally. However, research on flapping wing design less considering the effect of fluid-structure interaction, and the influence of changing the shape of a flexible flapping wing on the aerodynamic characteristics has not been considered in the design stage. Moreover, the existing researches only involve single-factor analysis and lack the optimal design combining both wing shape and flapping motion. In this paper, an effective fluid-structure coupling framework is used to optimize the aerodynamics of a flexible flapping wing in forward flight at constant speed. The structural response is solved by the Newmark-β method, and its accuracy is verified compared with the calculation results of the ready-made software. The unsteady vortex lattice method (UVLM) is used to calculate the aerodynamic force. This research uses parallel computing to increase the effectiveness of the divide rectangle (DIRECT) global optimization technique since the complicated design space of the flapping wing includes several Local optimum states. The shape and motion parameters of a flexible flapping wing are iteratively optimized to determine a design scheme to maximize propulsion efficiency. The results of the rigid model are also compared. The results show that the optimal design of the shape and motion of a flexible flapping wing can obtain higher propulsion efficiency. It is improved by 5.6% compared to that of shape optimization and 27.0% compared to that of rigid model.

Tracking control of multi-agent systems based on persistent-hold mechanism
CHEN Tongtong, WANG Fuyong, XIA Chengyi, CHEN Zengqiang
2023, 49(12): 3321-3327. doi: 10.13700/j.bh.1001-5965.2022.0065
Abstract:

In practical applications, continuous communication cannot be guaranteed due to external interference or limited communication ability. Therefore, this study investigates the tracking control problem of second-order multi-agent systems with intermittent communication. To improve the convergence performance of the system when continuous communication is not guaranteed, a second-order consensus tracking control protocol is designed by introducing an aperiodic persistent-hold control strategy. Based on the matrix and graph theory, and combined with bilinear transformation, it is proved that the multi-agent system achieves consensus tracking under the aperiodic intermittent communication. Then, the consensus tracking condition for second-order multi-agent systems with the undirected topology is obtained. Finally, the simulation examples verify the theoretical results.

Surface quality optimization based on mutative scale chaos algorithm
XU Xiangyu, YAN Guangrong, LEI Yi
2023, 49(12): 3328-3334. doi: 10.13700/j.bh.1001-5965.2022.0070
Abstract:

Surface quality optimization is a common problem in surface reconstruction. In the design of high-end products such as aerospace and automobile, if the reconstructed surfaces are required to have high-order continuity, a lot of optimization work is often needed. In order to obtain smooth and high-quality surfaces conveniently, an optimization method of surface quality based on a mutative scale chaos algorithm is proposed. Adjustable parameters are introduced. The target surface can be deformed by flexibly adjusting a number of parameters under the G1 continuity constraint between neighboring NURBS patches. A mathematical model of mutative scale chaos optimization is established, and the optimal solution of the adjustable parameters is calculated to obtain a high-quality surface with the smallest deformation compared with the original surface. The robustness and practicability of this method are verified by case analysis. The isolux analysis of the optimized surface is carried out. The outcomes demonstrate that the mutative scale chaotic algorithm-based surface quality optimization technique may guarantee the surface's quality and enhance the effectiveness of surface reconstruction.

Single-event radiation hardening method for 14 nm pFinFET device
SHI Zhu, WANG Bin, YANG Bo, ZHAO Yanpeng, HUI Siyuan, LIU Wenping
2023, 49(12): 3335-3342. doi: 10.13700/j.bh.1001-5965.2022.0071
Abstract:

In order to investigate the reliability of advanced complementary metal-oxide-semiconductor (CMOS) processes for space applications, a hardening strategy against single-event transient (SET) is investigated in P-channel fin field-effect transistor (pFinFET) devices at 14 nm. The effects of SETs are mitigated by inserting heavily doped N-type trenches (Ntie) and P-type trenches (Ptie) parallel to the fin direction in the device. Three-dimensional TCAD simulations show that the resistance to SET of the device by introducing trenches is related to the bias conditions of the trenches themselves. The SET voltage pulse amplitude increases significantly when the trenches are in the reverse-bias state due to the presence of a special charge collection process, in addition to a slight decrease in pulse width compared to the unhardened devices, which results in the best radiation-hardening performance when the trenches are at zero bias and have a reduction in SET pulse width of about 40%. Besides, the impact of trench area, spacing, and doping concentration on the SET pulse width in the pFinFET is also investigated, obtaining the device parameters with the best resistance to SET.

Aeroelastic optimization for overall design of joined wing
LI Xuyang, WAN Zhiqiang, WANG Xiaozhe, LI Keyu, YANG Chao
2023, 49(12): 3343-3354. doi: 10.13700/j.bh.1001-5965.2022.0074
Abstract:

Due to the connection between the front wing and the rear wing, the aerodynamic and structural characteristics of the joined wing aircraft are different from those of the conventional layout aircraft. The interconnected wings form a complex over-constrained system that has numerous layout parameters, increased multidisciplinary design space and analysis difficulty. The aeroelastic optimization based on the engineering beam theory is carried out to research the influence of different layout parameters on the overall performance of the joined wing, mainly including joint locations, forward/backward sweep angle, positive/negative dihedrals, plate height, taper ratio, and other parameters. Aiming at the minimum structural weight, under the constraints of static aeroelasticity and flutter, the parameters of the wing box section of the joined wing are designed by a genetic algorithm, and the lift-drag characteristics of the optimized model are analyzed by using a high-precision computational fluid dynamics/ computational structural dynamic (CFD/CSD)coupling method. Aeroelastic optimization is used to determine the linked wing's layout characteristics for the best possible structural and aerodynamic performances. The results indicate that the optimal solution set for each important parameter of the joined wing can discover the laws of the joined wing design and provide support for the design.

Optimization method for tail rotor airfoil based on SST adjoint turbulence model
SUN Yukun, WANG Long, WANG Tongguang, MA Shuai, QIAN Yaoru
2023, 49(12): 3355-3364. doi: 10.13700/j.bh.1001-5965.2022.0086
Abstract:

A new airfoil optimization method is proposed to address the inherent defects of the frozen eddy viscosity assumption widely used in airfoil optimization and the poor accuracy of aerodynamic calculation based on Spalart-Allmaras (S-A) adjoint turbulence model. This method couples the continuous adjoint turbulence solution, Reynolds-averaged Navier-Stokes(RANS) equations closed by shear stress transfer (SST) turbulence model, and free form deformation method with dynamic grid deformation technology. Based on the proposed method, the maximum lift to drag ratio is taken as the optimization objective for the NPL9615 airfoil, and compared with that of the method of the frozen eddy viscosity assumption. The results show that the optimized airfoil based on continuous SST adjoint turbulence method increases the lift to drag ratio of the original airfoil by 16.39%, while the frozen eddy viscosity assumption method increases the lift to drag ratio of the final airfoil only by 9.84%. This indicates that the proposed method is superior to the frozen eddy viscosity assumption in terms of optimization convergence. When the turbulent kinetic energy increases significantly, the advantage of the proposed model becomes more prominent.

A coordinated rendezvous method for unmanned surface vehicle swarms based on multi-agent reinforcement learning
XIA Jiawei, LIU Zhikun, ZHU Xufang, LIU Zhong
2023, 49(12): 3365-3376. doi: 10.13700/j.bh.1001-5965.2022.0088
Abstract:

To address the challenge of rendezvousing an indeterminate number of homogeneous unmanned surface vehicles (USV) into desired formations, a distributed rendezvousing control method is introduced, leveraging multi-agent reinforcement learning (MARL). Recognizing the communication and perception constraints inherent to USVs, a dynamic interaction graph for the swarm is crafted. By adopting a two-dimensional grid encoding methodology, a consistent-dimensional observation space for each agent is generated. Within the multi-agent proximal policy optimization (MAPPO) framework, which incorporates centralized training and distributed execution, the state and action spaces for both the policy and value networks are distinctly designed, and a reward function is articulated. Upon the construction of a simulated environment for USV swarm rendezvous, it is highlighted in our results that the method achieves effective convergence post-training. In scenarios encompassing varying desired formations, differing swarm sizes, and partial agent failures, swift rendezvous is consistently ensured by proposed method, underlining its flexibility and robustness.

Reliability analysis of nozzle adjustment mechanism with interval distribution parameters
ZHANG Zheng, WANG Pan, ZHOU Hanyuan
2023, 49(12): 3377-3385. doi: 10.13700/j.bh.1001-5965.2022.0089
Abstract:

To improve the reliability analysis efficiency of the engine nozzle adjustment mechanism, an analysis method combining rejection sampling and active learning Kriging surrogate model is proposed. A virtual prototype simulation model of an engine nozzle adjustment mechanism was established in ADAMS, and the established model is verified by kinematics analysis. Considering the situation that its input variables contain interval distribution parameters, a limit state function based on the positioning accuracy of the adjusting mechanism is established. When distribution parameters change at random, the rejection sampling approach captures the changes in the sample space in order to build a Kriging surrogate model that is appropriate for the full sample space. A numerical example that validates the viability of the suggested approach is used to calculate and analyze the upper and lower boundaries of the adjustment mechanism failure probability. It provides a new method to improve the reliability analysis efficiency under interval distributed parameters.

Research and design of SpaceWire multi-priority hierarchical scheduling crossbar
LIU Meng, AN Junshe
2023, 49(12): 3386-3396. doi: 10.13700/j.bh.1001-5965.2022.0101
Abstract:

SpaceWire (SpW) router is one of the key devices in the SpW network. It adopts a crossbar switching structure. Since the maximum length of the data packet of the SpW network is not fixed, the classic interative round robin matching with slip (iSlip) algorithm is not applicable. This paper studies the two-dimensional ripple-carry switching structure and proposes a multi-priority hierarchical scheduling crossbar switch implementation structure. The network quality of service (QoS) can be enhanced by giving various traffic types varying priorities, and group routing output fairness can be achieved by employing an arbitration feedback-based polling algorithm (FBP). By inserting registers into the circular ripple-carry switching(CRCS) structure, the combinational logic is split and a pipelined structure is formed, lessening the combinational delay. Also, Inserting registers increases the maximum frequency of the system and makes it possible to expand the number of router ports. A crossbar with a configurable priority number and port number is implemented using programmable logic language. The CRCS structure has the advantages of resource-saving, fast arbitration, and high scalability. By using the two-dimensional CRCS structure instead of the linear expansion structure, a 4×4 crossbar switch as an example, the number of arbitration logic cells is decreased by 67.3%, and the arbitration delay is decreased by about 60%. When it is synthesized on the Xilinx V7 series field programable gate array (FPGA). A maximum of two register insertion layers each for rows and columns is sufficient for the SpW routers at the largest scale.

Optimal active twist control for rotor vibration reduction
ZHANG Xiaochi, WAN Zhiqiang, YAN De
2023, 49(12): 3397-3408. doi: 10.13700/j.bh.1001-5965.2022.0105
Abstract:

The active twist control rotor is investigated to evaluate the effectiveness in rotor vibration reduction. A numerical model for predicting the isolated rotor vibration loads in steady level flight is deployed and validated by modeling a UH-60A rotor. A parametric sweep of the amplitude and phase angle for uniform single-harmonic active twist control is conducted to demonstrate the effects on rotor vibration loads. The optimal control schedule of the uniform multi-harmonic twist control for vibration reduction are obtained using an optimization framework based on genetic algorithm. The results indicate that the uniform multi harmonic twist control reduces the rotor vibration loads more than the uniform single-harmonic active twist control. An optimal 2 segment twist control layout with the segment point at the midpoint of the blade achieves further rotor vibration reduction by applying divergent control schedules to each segment.

Semi-supervised locality preserving dense graph convolution for hyperspectral image classification
DING Yao, ZHANG Zhili, ZHAO Xiaofeng, YANG Nengjun, CAI Weiwei, CAI Wei
2023, 49(12): 3409-3418. doi: 10.13700/j.bh.1001-5965.2022.0109
Abstract:

The application of graph convolutional network (GCN) to hyperspectral image (HSI) classification is the hotspot and frontier of current research. Nevertheless, the over-smoothing, feature adaptive selection, and calculation complexity issues still exist for the graph convolution network approaches that are now accessible. To circumvent these problems, a superpixel segmentation method to reduce the spatial dimension of the HSI is proposal, which reduces the amount of calculation while preserving the spectral characteristics of the nodes. In addition, the dense structure is adopted to retain the features of the convolution in process, and the problem of excessive smoothing of the graph convolution is settled. Finally, a mechanism for extracting the practical local knowledge produced by each layer of the dense GCN is created using a layer-wise context-aware learning approach. The network realizes end-to-end semi-supervised classification. The experimental results on three real datasets show that the proposed algorithm outperforms the compared state-of-the-art methods on all indices and improves the classification accuracy of HSI.

Fast 3D path planning of UAV based on 2D connected graph
PAN Deng, ZHENG Jianhua, GAO Dong
2023, 49(12): 3419-3431. doi: 10.13700/j.bh.1001-5965.2022.0147
Abstract:

A fast 3D path planning method based on a 2D connected graph is proposed in order to address the issue of the unmanned aerial vehicle 3D path planning problem's slow problem-solving speed in a complicated real environment. In order to create a multi-level equivalent 3D digital map based on digital elevation model, it is first necessary to analyze the topographic features and architectural components of the actual geographic environment. Based on this analysis, a 2D connected graph is transformed into a 3D connected graph, which is then transformed into and optimized in 3D. For global path planning in a connected graph, a sparse A* search algorithm with changeable steps based on a step size map is designed, which can effectively reduce the path search time while ensuring the quality of path. For local path planning in connected graphs, a real-time path replanning algorithm using probabilistic roadmap method based on obstacle prediction is proposed to meet the real-time obstacle avoidance requirements of UAVs. The simulation flight is carried out in a mountain scene and an urban scene respectively, the results show that the proposed method can effectively reduce the difficulty of solving 3D path planning and complete the path planning of different scales and requirements in a complex environment in a short time; compared with the 3D A* algorithm and the 2D A* algorithm based on 2D connected graph, global path planning algorithm reduces the search time by 99% and 95% respectively, local path replanning algorithm can complete the path replanning in a single sampling period of 1 s, avoid unknown obstacles in real-time and ensure the safety of the flight process.

Optimization method of thermo-elastic lattice structure based on surrogate models of microstructures
LU Hongbo, CAI Yujie, LI Shu
2023, 49(12): 3432-3444. doi: 10.13700/j.bh.1001-5965.2022.0155
Abstract:

Lattice material is a new type of lightweight and multifunctional material, which has a variety of microstructures and high porosity. Excellent macroscopic properties can be obtained by designing its mesoscale features. To maximize the design potential of materials and structures, an optimization method for the thermo-elastic lattice structure is proposed. As for mesoscale material research, the effective thermo-elastic properties prediction of three-dimensional lattice materials is implemented. Relevant coefficients are solved using the idea of the representative volume method under periodic boundary conditions. Surrogate models are constructed to build the relationship between macroscopic responses and microstructures, and are proved to have good accuracy through error verification tests. As for macroscale material research, a structural optimization model filled with equivalent materials is established. Considering the thermal and mechanical loads, a mathematical model for structural optimization of thermo-elastic lattice structure with minimum strain energy is proposed using the surrogate models of effective properties as the material interpolation schemes. The result of an optimal spatially varying metamaterial is obtained in a typical three-dimensional structure example, and the thermal stiffness of the structure is improved under a certain volume constraint, demonstrating the effectiveness of the optimization method.

Applicability of convolutional autoencoder in reduced-order model of unsteady compressible flows
XIAO Ruoye, YU Jian, MA Zhengxiao
2023, 49(12): 3445-3455. doi: 10.13700/j.bh.1001-5965.2022.0085
Abstract:

To effectively reduce the design cost and cycle time of using computational fluid dynamics (CFD) methods, the reduced-order model (ROM) has gained wide attention in recent years. For complex compressible flows, using linear methods such as proper orthogonal decomposition (POD) for flow field dimensionality reduction requires a large number of modes to ensure reconstruction accuracy. It has been shown that the mode number can be effectively reduced by using nonlinear dimensionality reduction methods. Convolutional autoencoder (CAE) is a neural network composed of the encoder and decoder, which can realize data dimensionality reduction and reconstruction, regarded as a nonlinear extension of POD method. CAE is used for nonlinear dimensionality reduction, and long short-term memory (LSTM) neural network is used for time evolution. To address flow incompressibility, the combination of Autoencoder and LSTM for flow field reconstruction has been extensively studied. We examine the one-dimensional Sod shock tube, Shu-Osher problem, two-dimensional Riemann problem and Kelvin-Helmholtz instability problem to test the validity of the ROM for unsteady compressible flows. The ROMs of Sod shock tube and Riemann problem are constructed based on POD by different modes for comparison. The results show that CAE-LSTM method can obtain high reconstruction and prediction accuracy on the premise of using less latents for unsteady compressible flows.

Numerical study on coupled heat transfer of rotating disc in centrifugal atomization
PENG Lei, LI Long, ZHAO Wei
2023, 49(12): 3456-3466. doi: 10.13700/j.bh.1001-5965.2022.0152
Abstract:

Rotating disk atomization is an important method to prepare spherical metal powder. In the preparation of high-melting-point metal powders, by this method, thermal protection is required for both the turntable structure itself and the lower-end driving motor. The coupled heat transfer problem of centrifugal atomization flow field model of molten aluminum was analyzed by numerical simulation, and the temperature field distribution of disk under different materials and disk structures was given. To improve the cooling efficiency, a new type of rotary disk thermal protection structure with fins was developed. The heat dissipation mechanism of the fin structure was analyzed, and the thermal protection effects of different fin positions, fin thickness and fin diameter were compared. The results revealed that the metal rotating shaft with larger specific heat capacity and lower thermal conductivity has lower temperature at its bottom. Moreover, the annular nitrogen flow field formed between the fin and the rotary disk is the main reason to improve the heat dissipation capacity of the rotating shaft. Finally, the lower position the fins, the larger diameter, and the thicker the thickness , the lower the temperature at the bottom of the shaft, resulting in a better cooling effect.

A machine learning based method for lithium-ion battery state of health classification and prediction
GAO Haotian, CHEN Yunxia
2023, 49(12): 3467-3475. doi: 10.13700/j.bh.1001-5965.2022.0154
Abstract:

Accurate state of health (SOH) prediction for lithium-ion batteries is a key technology in battery applications. However, because of the varied failure modes, complicated electrochemical systems, and production variations, the degradation of lithium-ion batteries frequently exhibits high dispersion, making it challenging to precisely forecast the SOH of the lithium-ion battery. To solve this problem, this paper proposes a machine learning-based method for classifying and predict the SOH of lithium-ion batteries. First, based on the accuracy constraints, the double subgroup optimization algorithm is used to determine the appropriate number of categories and category ranges for the training set data. Then, based on the Softmax classification model, lithium-ion batteries are classified according to the early-cycle data, so that the batteries with a similar degradation trend are divided into one class. To limit the impact of data dispersion and increase forecast accuracy, the SOH prediction model for each kind of battery is built using a backpropagation neural network. Compared with the traditional method, the prediction error of the proposed method is reduced by more than 34%, which verifies the effectiveness and superiority of proposed method.

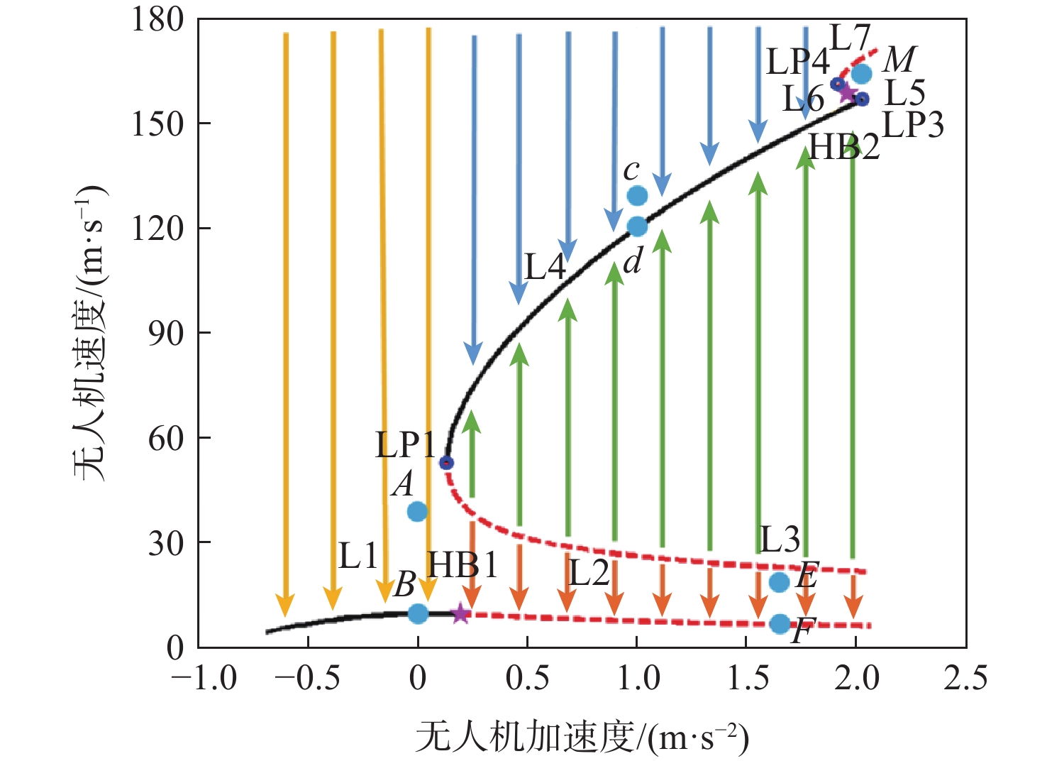
Research on turning directional stability of taxiing with changing speed for high-speed UAV
KONG Dexu, YIN Qiaozhi, SONG Jiayi, WEI Xiaohui
2023, 49(12): 3476-3488. doi: 10.13700/j.bh.1001-5965.2022.0159
Abstract:

High-speed UAV is prone to spin out of control, veer off the runway, and other major incidents because of the influence of numerous nonlinear elements such tire forces, aerodynamic forces, and rudder surface forces during the ground taxiing process. At present, the bifurcation is used to analyze the stability of aircraft ground taxiing nonlinear turning system, which is based on the equilibrium system of constant speed taxiing system. And it is impossible to analyze the influence of acceleration and deceleration on the stability of nonlinear non-autonomous aircraft ground taxiing systems by this theory. Thus, the D’Alembert principle is used to transform the nonlinear dynamic system into an equivalent nonlinear equilibrium system to study the bifurcation characteristics. To convert the system into an analogous equilibrium system, inertia force is incorporated into the system model based on the D’Alembert principle, and the nonlinear ground variable speed taxiing dynamics model of the UAV is built in MATLAB/Simulink. Then the global stability and bifurcation characteristics of the system are solved by the numerical continuation method, and the effect of acceleration on the stability of the turning direction is analyzed, and the saddle-node bifurcation and Hopf bifurcation in the system are analyzed. The motion states and forces of the UAV under three typical operating conditions are also analyzed, and the nature and mechanism of the directional instability of the UAV during the turning of ground variable speed sliding are revealed. Finally, based on the single-parameter bifurcation analysis of acceleration, the front wheel steering angle is introduced as an additional parameter into the UAV ground taxiing dynamic model by using the open folding method, and the dual-parameter bifurcation analysis is carried out to discuss the influence of two parameters on the stability of ground taxiing direction. And the phenomena of BT bifurcation, GH bifurcation, and ZH bifurcation on the stability of the ground taxiing direction of UAV is discussed.

UAV swarm decision methods under weak information interaction conditions
WANG Ziquan, LI Jie, LI Juan, LIU Chang
2023, 49(12): 3489-3499. doi: 10.13700/j.bh.1001-5965.2022.0066
Abstract:

The development of unmanned systems and intelligent technology has presented a broad application prospect of UAV swarms, one of the typical applications of unmanned systems in both civilian and military fields. When the swarm size is large, however, the traditional networking communication method will be limited by bandwidth and interference, which greatly affects the cooperative combat effectiveness of UAV swarms. This paper proposes a weak information interaction UAV swarm model (WIIUSM), not relying on two-way data interaction between UAVs but achieving the desired swarm behavior by using only one-way visual perception. Firstly, this paper establishes a weak information-interaction UAV swarm model. Next, an improved genetic algorithm (IGA) is used as an optimization method for the decision model, and several simulation tests are conducted with the area search task. A comparison with the snake search method based on top-level planning reveals the effectiveness of search efficiency of the proposed method. The degradation of search effectiveness under the conditions of different proportions of UAV failure is also tested, showing the robustness of our methods compared with the snake method.

Combination weighting based cloud model evaluation of autonomous capability of ground-attack UAV
YAN Jingtao, LIU Shuguang
2023, 49(12): 3500-3510. doi: 10.13700/j.bh.1001-5965.2022.0072
Abstract:

To address the uncertainty in quantitative evaluation of autonomous capability of ground-attack UAVs, an evaluation method with the cloud model is proposed based on combined weightings. Based on the cognitive control structure, the evaluation index system of autonomous capability is constructed from five aspects: perceptual detection, planning and decision-making, combat execution, security management, and learning evolution. The one sidedness of determining the index weight by a single weighting method is overcome, using the combination weighting method based on game theory, and combined with the improved analytic hierarchy process and the improved entropy weight method to determine the combination weight. Considering the fuzziness and randomness of the autonomous capability evaluation process, an evaluation method based on cloud model is proposed for the autonomous capability of ground-attack UAVs, and the floating cloud algorithm is used to realize the effective synthesis of the evaluation index cloud. The simulation results of three ground-attack UAVs show that the proposed method considers both subjective and objective factors of the evaluation object, eliminates the limitations of a single weighting method, and achieves scientific and reasonable weight distribution. The quantitative evaluation of autonomous capability of the cloud model can effectively distinguish autonomous capability levels of different types of ground-attack UAVs, with accurate and reliable evaluation results.

Person re-identification based on random occlusion and multi-granularity feature fusion
ZHANG Nan, CHENG Deqiang, KOU Qiqi, MA Haohui, QIAN Jiansheng
2023, 49(12): 3511-3519. doi: 10.13700/j.bh.1001-5965.2022.0091
Abstract:

Aiming at the problems of occlusion and monotony of pedestrian discriminative feature hierarchy in person re-identification, this paper proposes a method combining random occlusion and multi-granularity feature fusion based on the IBN-Net50-a network. First, in order to enhance the robustness against occlusion, random occlusion processing is performed on the input images to simulate the real scene of pedestrians being occluded. Secondly, the network includes a global branch, a local coarse-grained fusion branch and a local fine-grained fusion branch, which can extract global salient features while supplementing local multi-grained deep features, enriching the hierarchy of pedestrian discrimination features. Furthermore, further mining the correlation between local multi-granularity features for deeper fusion. Finally, the label smoothing loss and triplet loss jointly train the network. Comparing the proposed method with current state-of-the-art person re-identification algorithms on three standard public datasets and one occlusion dataset. The experimental results show that the Rank-1 of the proposed algorithm on Market1501, DukeMTMC-reID and CUHK03 is 95.2%, 89.2% and 80.1%, respectively. In Occluded-Duke dataset, Rank-1 and mAP achieved 60.6% and 51.6%. The experimental results are better than those of the compared methods, which fully confirm the effectiveness of the proposed method.

Thermal model of aircraft fuel tank based on oxygen consumption inerting technology
LIU Guannan, WANG Liqun, WANG Yue, XU Yang, WANG Yangyang, FENG Shiyu, FAN Juli
2023, 49(12): 3520-3527. doi: 10.13700/j.bh.1001-5965.2022.0097
Abstract:

The temperature serves as a crucial indicator in the airworthiness compliance verification process of the fuel tank inerting system. Using MATLAB Simulink software, a mass and heat transfer model was established and validated for analyzing the behavior of gas phase space nodes and fuel nodes' temperatures within an aircraft's fuel tank inerting system under varying conditions such as different gas extraction flow rates or outlet temperatures. The results demonstrate that this developed model exhibits high reliability when applied to analyze thermal characteristics inside an aircraft's fuel tank during its operation with different operating parameters.

Satellite selection based on parallel genetic algorithm for high orbit autonomous satellite navigation
SHI Tao, ZHUANG Xuebin, LIN Zijian, ZENG Xiaohui
2023, 49(12): 3528-3536. doi: 10.13700/j.bh.1001-5965.2022.0118
Abstract:

After the BeiDou-3 navigation satellite system was finished, the performance of high-orbit autonomous navigation was improved, but it also occasionally resulted in the redundancy of visible satellites. In order to reduce the arithmetic operations to ensure the real-time performance, based on a multiple-population parallel genetic algorithm (PGA), a new method to quickly select the optimal combination of visible satellites was proposed. The algorithm chooses the weighted dilution of precision (WDOP) as the fitness function, uses sub-populations in coarse-grained to speed up the search, and improves the searchability through the differential setting of mutation factors and the information exchange between sub-populations. The simulation experiments result of 7 or more satellite selection tasks in several typical high orbit environments show that the average absolute error between the PGA-based selection algorithm solution and the optimal solution obtained by the ergodic method is less than 0.1, and the maximum relative error is less than 1%. The outcomes demonstrate that, when the receiver employs the four-system integrated navigation in a typical high-orbit environment, the algorithm can efficiently execute the task of choosing satellites for the specified number of satellites fast and precisely.

Dimension reduction of multivariate time series based on two-dimensional inter-class marginal Fisher analysis
HU Gang, LI Zhengxin, ZHANG Fengming, ZHAO Yongmei, WU Jiangnan
2023, 49(12): 3537-3546. doi: 10.13700/j.bh.1001-5965.2022.0128
Abstract:

In order to address the drawbacks of the traditional marginal Fisher analysis and related methods, a dimension reduction method for multivariate time series based on two-dimensional inter-class marginal Fisher analysis is proposed in this study. First, it conducts model improvement to cope with the limitation of marginal Fisher analysis, introduces an inter-class penalty graph based on eigenimage and penalty graph to describe the distance between the centers of each class, and improves objective function, then finally puts forward an inter-class marginal Fisher analysis model; then, by expanding the aforementioned model to two dimensions, we introduced the two-dimensional inter-class marginal Fisher analysis approach to directly analyze two-dimensional matrix data while successfully preserving structural information. Thereafter, by calculating the covariance matrix, the multivariate time series set is transformed into the equal-length feature set, and the equal-length feature set is projected into a low-dimensional space by using the dimension reduction model to achieve the purpose of data dimension reduction and feature representation. The experimental results show that this method can effectively reduce the dimension of multivariate time series and achieve good classification results compared with other methods.

Relative entropy method in target recognition with fuzzy features
ZHANG Hubiao, WANG Xing, XU Yuheng, WU Xiaotian, HU Wenhui
2023, 49(12): 3547-3558. doi: 10.13700/j.bh.1001-5965.2020.0237
Abstract:

A relative entropy method combining fuzzy modeling and improved CRITIC was presented to recognize targets with fuzzy features. The observed values from multiple times were converted into fuzzy numbers through fuzzy modeling based on the statistical characteristics of multiple sets of the observed values. As a result of measuring the distance between the fuzzy numbers, similarities between the values of the target feature and the observed values were determined. The improved CRITIC was proposed to calculate the objective weights of the target features. According to the feature weights and the similarities between the target feature values and the observed values, the recognition result was obtained by the relative entropy evaluation method. The simulation results indicate that the uncertainty in target recognition is better reflected by the fuzzy features, and the proposed method has a high target recognition rate for the target with fuzzy features with good real-time and robustness, which has a certain application value.