2022 Vol. 48, No. 7

Display Method:
Volume 48 Issue72022
iconDownload (120917) 1587 iconPreview
A power budgeting method for dark silicon chips based on task mapping
LI Xin, LI Zhi, ZHOU Wei, WU Ruiqi, TANG Haoran, CHEN Yehang
2022, 48(7): 1115-1124. doi: 10.13700/j.bh.1001-5965.2021.0011
Abstract:

The power budgeting for dark silicon systems can be regarded as a NP-hard problem. To achieve two opposite optimization objectives of improving chip average temperature and reducing communication cost, a power budgeting method based on task mapping for dark silicon chips is proposed. To reduce the computational complexity, a model is established to transform the task graph into a maximum spanning tree, based on the rule that the task with high throughput and less impact on subsequent mapping is mapped first. The priority value determines the mapping order of tasks. Then, the core-by-core optimization is carried out in a steady state. The sorted tasks are assigned to appropriate active cores. The power budgets of the identified active cores are solved in the form of convex quadratic programming. Experimental results show that compared with the classical thermal safe power budgeting method, the method proposed increases the total power budget by 11.8% and reduces the communication energy consumption by 38.2% for 36-core system with 12 active cores.

Partial observable Petri nets fault diagnosis with quantum Bayesian learning
LIU Jiufu, ZHANG Xinzhe, WANG Hengyu, TOMAS DIAS A.M., WANG Zhisheng, YANG Zhong
2022, 48(7): 1125-1134. doi: 10.13700/j.bh.1001-5965.2021.0010
Abstract:

This paper proposes an algorithm to construct a quantum Bayesian Petri nets model for the fault, and uses the sub net model to analyze the fault of Petri net system. According to the reachability identification diagram, which is the transition firing path can not judge the system state, establish the quantum Bayesian Petri nets subnet model to tackle the unobservable faults in partial observable Petri model. Through the quantum interference caused by the uncertain path, recalibrate the conditional probability table of the transition to obtain the quantum probability amplitude table. According to the pre-set of fault transition and quantum Bayesian reasoning, calculates the firing prior probability of transition. The posterior probability is modified by the observable transition in the post-set, and the state of the system is estimated by the maximum posterior probability. When the fault transition is not unique, the fault with the maximum probability is selected as the fault source. Finally, establishes a partial observable Petri nets model of a real fault system. Combined with the probability sequence information of observable label and quantum Bayesian probability estimation, the fault diagnosis of the unobservable parts of the system is carried out to verify the effectiveness of the algorithm with the data in simulation experiment.

Inertial pedestrian navigation algorithm based on zero velocity update and attitude self-observation
DAI Hongde, ZHANG Xiaoyu, ZHENG Baidong, DAI Shaowu, ZHENG Weiwei
2022, 48(7): 1135-1144. doi: 10.13700/j.bh.1001-5965.2021.0037
Abstract:

Aiming at the problem of reduced navigation accuracy caused by the divergence of the heading angle in inertial pedestrian navigation, an inertial pedestrian navigation algorithm based on zero velocity correction and attitude self-observation is proposed. A four-condition zero velocity detection algorithm is used to detect the zero velocity interval in the walking gait. In the detected zero velocity interval, the principle of the zero velocity update is used to construct the observation of the velocity error; the characteristic that only gravity acts and the heading angle remains unchanged in the zero velocity intervals is used to construct the observation of the attitude angle error. Then, the attitude angle, velocity and position error in the zero velocity interval are estimated by Kalman filtering. The error correction of pedestrian navigation is carried out using the obtained state estimation to further improve the accuracy of inertial pedestrian navigation. Actual walking experiments show that in the rectangular path, the average value of navigation trajectory relative error of this algorithm is only 0.98%, which is reduced by 78.11% compared with the zero velocity update algorithm and the standard deviation of navigation trajectory error of this algorithm is only 0.14 m, which is reduced by 88.62% compared with the zero velocity update algorithm. In the closed loop path of the classical 400 m playground, the relative position error of the solution end point is only 1.18%. The solved trajectory has a high degree of matching with the actual trajectory, which has good application value.

A rapid path planning method for multiple UAVs to cooperative strike
CHEN Qingyang, XIN Hongbo, WANG Yujie, TANG Zhongnan, JIA Gaowei, ZHU Bingjie
2022, 48(7): 1145-1153. doi: 10.13700/j.bh.1001-5965.2021.0022
Abstract:

Focusing on the cooperative strike problem to important with multiple suicide UAVs, a cooperative striking strategy based on hierarchical space distribution is proposed. The strategy is proposed with the vehicle kinematic constraint, the collision constraint of UAVs, and the space-time cooperative constraint. With the proposed strategy, the collision constraint can be solved. What's more, with the strategy, the resistibility of the UAVs to the recovery system of the target can be improved, and the chance of survival can be increased. A rapid path planning method for multiple UAVs with space cooperative requirements is proposed. The Dubins curve is combined in the method, and the exponential increment of computation with the number of UAVs is transformed intoa polynomial form. The real-time requirement can be satisfied with the method, and sub-optimal trajectories can be generated. Simulation and flight experiments are carried out, and the results show that the UAVs can be guided to the target with the generated paths effectively, and the effectiveness of the proposed method is verified.

Occlusion recognition algorithm based on multi-resolution feature auto-selection
XIE Xiangying, LAI Guangzhi, NA Zhixiong, LUO Xin, WANG Dong
2022, 48(7): 1154-1163. doi: 10.13700/j.bh.1001-5965.2021.0289
Abstract:

The identification of obstructions of photovoltaic modules is an indispensable link in modern photovoltaic operation and maintenance systems. Traditional identification methods mostly rely on manual inspections, but they are costly and inefficient. Therefore, based on the convolutional neural network, PORNet, an occlusion recognition algorithm for photovoltaic modules, is proposed. By introducing feature pyramids, image features with rich semantic information at multiple resolutions are constructed, enhancing the sensitivity to the scale and density of occlusions. Through feature auto-selection, the most representative feature maps are screened out to strengthen the semantic information expression of the object contexts. Finally, the screened feature map is used to complete the occlusion recognition, improving the recognition accuracy. Experimental comparison and analysis are carried out on the self-built photovoltaic module falling leaf occlusion dataset, and the recognition performance is evaluated. Compared with existing object recognition methods, the accuracy and recall rate of the proposed method are increased by 9.21% and 15.79%, respectively.

Design and characteristics of reverse direct-acting high-pressure reducing valve for pneumatic actuator
LIU Yanbin, WANG Xuesheng, QIN Xinya, WANG Hao, CHEN Qinzhu, ZHAO Sai
2022, 48(7): 1164-1173. doi: 10.13700/j.bh.1001-5965.2021.0292
Abstract:

Pneumatic actuator is the key component of the flight attitude control system for air-defense missile, directly influences flying stability and attitude control ability. Missile-borne high-pressure gas provides power for pneumatic actuator through pressure reduction, which can reduce the space occupied by the pneumatic system and increase missile range by carrying more gas. For a particular type of missile, a reverse non-balanced direct-acting high-pressure reducing valve with conical clack was designed. Mathematical models of thermodynamic and static analysis were built for the valve and the design & check software were developed. The simulation models with steady and unsteady inlet pressure were built based on AMESim, and the characteristics of pressure, flow rate and spool displacement were analyzed. Results show that the pressure reducing valve has good pressure and flow characteristics under design parameters, and the theoretical calculation and simulation results agree well.

End face deformation and friction and wear of high-speed dry friction mechanical seal
MA Runmei, ZHAO Xiang, CHEN Xiaozhu, LI Shuangxi, YANG Haichao
2022, 48(7): 1174-1182. doi: 10.13700/j.bh.1001-5965.2021.0005
Abstract:

In order to solve the problem of seal failure caused by excessive deformation and wear of mechanical seal end face due to improper design under high-speed dry friction conditions, a thermal structure coupled numerical calculation model was established to analyze the temperature field and end face deformation of mechanical seal. The temperature rise of the stationary ring was tested, the characteristics of the end face of the stationary ring were analyzed, and the wear mechanism under high speed dry friction was discussed. The results show that: the established finite element model can accurately predict the temperature and end face deformation of the seal, and the difference between the calculated value and the experimental value is less than 11%; the peak temperature of the seal end face is more sensitive to the rotating speed, and with the extension of the operating time, the temperature first increases rapidly and then gradually slows down; the static ring is prone to taper deformation, resulting in the uneven contact pressure and wear of the end face, and the "correction" effect of the stationary ring seat can improve this kind of deformation; the existence of friction transfer film plays a key role in the temperature rise and surface roughness of the seal. The moving ring surface is sprayed with Cr2O3 metal oxides, which can better maintain the dense graphite transfer film and reduce the wear of the seal. The research results provide a basis for the design, optimization and application of mechanical seals.

Effect of suction flow rate on performance of catalytic inerting system
WANG Chenchen, PAN Jun, WANG Yangyang, DUAN Weijie
2022, 48(7): 1183-1189. doi: 10.13700/j.bh.1001-5965.2021.0026
Abstract:

Based on the principle of oxygen-consuming inerting system, the AMESim simulation model of low temperature controllable oxygen consumed catalytic green inerting system (3CGIS) was established. The effect of the suction flow rate of 3CGIS on the inerting time, and the change of the oxygen volume fraction in the fuel tank ullage under the flight envelope were researched. The prediction of oxygen volume fraction under the entire flight envelope was verified against the experimental data, showing a satisfactory agreement, and its validity wasvalidated with the comparison of results. On the basis of modeling, the suction flow rate is approximately inversely proportional to the initial inerting time were obtained; under a certain inerting time, the required suction flow rate increaseswith the decrease of fuel load. Aiming at the possibility that the oxygen volume fraction in the fuel tank ullage during the descent stage may exceed 12%, a dual-flow inerting mode design method is proposed to ensure that the oxygen volume fraction is less than 12% under the entire flight envelope. The results can be provided as a reference for design and optimization of low temperature controllable oxygen consumed catalytic green inerting system.

Numerical investigation on evolution of T-S wave on a two-dimensional compliant wall with finite length
HONG Zheng, YE Zhengyin
2022, 48(7): 1190-1199. doi: 10.13700/j.bh.1001-5965.2021.0030
Abstract:

Inspired by the flexible characteristics of bird feathers, numerical simulations are used to study the influence of the compliant wall on the evolution of T-S wave in the subsonic boundary layer flow. First, the numerical results on the rigid wall are in good agreement with the linear stability theory, which verifies the reliability of the adopted numerical methods. On this basis, part of the rigid wall is replaced with a compliant wall, and the results show that the compliant wall can suppress the spatial growth of T-S wave, thus delaying the flow transition. Furthermore, the deformation of the compliant wall not only follows the waveform of T-S wave, but also includes larger-scale vibrations with the same frequency as the disturbance source, which are caused by the leading edge and trailing edge of the compliant section. The actual deformation of the compliant wall is a superposition of these waves. Later parameter study shows that increasing the surface mass density has almost no effect on the compliant wall in terms of attenuating disturbance. Increasing the surface tension or increasing the elastic coefficient of the foundation can increase the stiffness of the compliant wall and thus reduce the amplitude of wall deformation. Increasing the damping can suppress the propagation of large-scale wall vibrations generated at the leading edge and trailing edge of the compliant section, while having little effect on the deformation directly corresponding to T-S wave. The overall trend is that when the amplitude of wall deformation decreases, the attenuation effect of the compliant wall on T-S wave decreases.

Gust load alleviation analysis based on vortex lattice method in state-space form
YANG Lan, AN Chao, XIE Changchuan, YANG Chao
2022, 48(7): 1200-1209. doi: 10.13700/j.bh.1001-5965.2021.0023
Abstract:

Gust response and gust load alleviation control system design is an important issue in aeroelasticity. This paper presents a gust response model based on the vortex lattice method (VLM) in state-space formulation and gives the couple relationships between finite element method modes/control surface modes and boundary conditions of VLM, which can be applied to complicated aircraft model. This method can avoid the disadvantages of the traditional gust response analysis method with no requirement of rational function assessment and iteration calculation with lots of resources. Introducing the traditional PID control algorithm, a gust load alleviation system is given, and gust time response of open loop/closed loop under a discrete gust and von Karman continuum gust excitation are presented. The alleviation effect can be solved by contrasting the response amplitude. The simulation results show that gust response analysis results based on this method are accurate and the gust load alleviation control system can alleviate the load response of the original aeroelastic system effectively.

Decoupled active disturbance rejection control method for magnetically suspended rotor based on state feedback
YIN Zengyuan, CAI Yuanwen, REN Yuan, WANG Weijie, CHEN Xiaocen, YU Chunmiao
2022, 48(7): 1210-1221. doi: 10.13700/j.bh.1001-5965.2021.0021
Abstract:

A decoupled anti-interference control method for rotor tilting is proposed to address the strong coupling of rotor deflection channels of magnetically suspended control and sensitive gyroscope (MSCSG), as well as disturbance instability during spacecraft attitude measurement. The coupling of rotors tilting with two degrees of freedom is analyzed, and a decoupling controller is designed based on state feedback. The MSCSG interference torque to the magnetically suspended rotor produced by attitude motions during spacecraft attitude measurement is deduced. The anti-interference control of the rotor is realized by the active disturbance rejection control (ADRC). The tracking performance and stability of the constructed extended state observer (ESO) are analyzed. The stability of the system with bounded inputs is achieved by adjusting the nonlinear state error feedback coefficients. Simulation results show that the state feedback decoupling can realize the complete decoupling of tilting freedom degrees, that ESO has good tracking performance, and that ADRC has better anti-interference performance than the traditional PID control method.

Target tracking algorithm based on efficient attention and context awareness
BAI Luo, ZHANG Hongli, WANG Cong
2022, 48(7): 1222-1232. doi: 10.13700/j.bh.1001-5965.2021.0013
Abstract:

The matching-based Siamese network algorithm often lacks the overall perception of a target, which easily leads to inaccurate target state estimation and target missing in complex environments. Therefore, this paper designs two lightweight modules on the basis of the twin network to achieve more accurate and robust target tracking. An efficient channel attention module is embedded into the backbone network after its construction for feature extraction. Efficient extraction of target features and enhanced differential representation are achieved. so that the network pays more attention to the target information. The features after template matching pass a local context awareness module, thus enhancing the network's overall perception of the target to deal with the complex and changeable environment in the tracking process. The Anchor-free state estimation strategy is used to achieve accurate estimation of the target. Experimental results show that on the datasets OTB100, VOT2016 and VOT2018, SiamCC algorithm outperforms DaSiamRPN algorithms and ATOM algorithm, with the tracking speed reaching 85 frame/s.

A DDQN-based mixed-criticality messages scheduling method for network-on-chip
LI Guoliang, LI Qiao, XU Yajun, XIONG Huagang
2022, 48(7): 1233-1241. doi: 10.13700/j.bh.1001-5965.2021.0006
Abstract:

Real-time scheduling of mixed-criticality messages carried by network on chip (NoC) is the key to its application to on-chip muli-core communication in avionics system. A double deep Q-network(DDQN) method was proposed to solve the problem of satisfiability modulo theories (SMT) to low efficiency and high delay of low-priority messages. The message scheduling problem under wormhole switch mechanism was modeled as a Markov decision process, and a scheduling model including environment, action, state and reward was established. Then, DDQN was applied to interact with environment in different message distribution generated randomly, and the empirical sequence obtained through interaction was regarded as the training sample of the neural network. In addition, a scheduling method named pore-DDQN was implemented, that is, a time slot was reserved for rate-constrained (RC) messages on the condition that time-triggered (TT) messages can be scheduled. The case study shows that the solution time and the average end-to-end delay of TT messages of DDQN are lower than that of SMT, and the delay of RC messages with pore-DDQN is significantly lower than that of DDQN and SMT.

VWKNN location fingerprint positioning algorithm based on improved discrete coefficient
XU Tian, HE Jingsha, ZHU Nafei, DENG Wanhang, WU Shuang, TA Yongjun
2022, 48(7): 1242-1251. doi: 10.13700/j.bh.1001-5965.2021.0019
Abstract:

The location fingerprint algorithm is the main method to study the indoor positioning technology, and the online matching algorithm is one of the main factors affecting the indoor positioning accuracy. At present, the matching algorithms in online stage include the nearest neighbor algorithm, K-nearest neighbor algorithm and weighted K-nearest neighbor algorithm. However, these three algorithms do not take into account the influence of the fluctuation of AP signal on the positioning result. In order to improve the matching algorithm in online stage, a weighted K-nearest neighbor algorithm based on the improved discrete coefficient is proposed. In offline stage the purpose is to establish a fingerprint database, in the online stage using discrete coefficient to reflect the stability of the various AP signal and treat the anchor point with weighted Euclidean distance between the reference point, calculate all the weighted Euclidean distance, choose the nearest k reference points, so as to estimate the physical location of pending sites. Finally, experiments show that the weighted K-nearest neighbor algorithm based on the improved discrete coefficient can achieve an average positioning accuracy which is 15%-17% higher than the K-nearest neighbor algorithm and 11%-13% higher than the weighted K-nearest neighbor algorithm.

Design and optimization of large-stroke decoupled three-translational micro-positioning platform
LIN Miao, MENG Gang, JU Yongjian, XU Weisheng, CAO Yi
2022, 48(7): 1252-1262. doi: 10.13700/j.bh.1001-5965.2021.0007
Abstract:

To design large-stroke three-translational micro-positioning platforms with excellent decoupling characteristics, a new 2T3R type motion pair was proposed. The structure of three-translational micro-positioning platform was designed based on the 2T3R type motion pair. The theoretical models of force-displacement relationship and lost motion were established by nonlinear model method, the theoretical models of platform natural frequency were established by Lagrange equation. The goal programming method was used to optimize parameters of the micro-positioning platform. The correctness of the above theoretical model was verified by finite element simulation. According to the theoretical calculation and simulation results, the first-order natural frequency of the platform is 51.27 Hz. the lost motions in x and z directions are less than 0.67% and 0.20% in 1 mm motion stroke, and the input and output motions are completely decoupled. Results show that the structure design of motion pair and platform is effective, and the optimization model is feasible.

PM based super-resolution method of azimuth detection for electromagnetic vortex wave fuze
SUN Lihua, YAN Xiaopeng, LIU Qiang, HAO Xinhong, ZHANG Hongyun
2022, 48(7): 1263-1268. doi: 10.13700/j.bh.1001-5965.2021.0020
Abstract:

To improve the azimuth detection accuracy of air defense missile radio fuze at low signal-to-noise ratio (SNR) background, a super-resolution method of azimuth detection for electromagnetic vortex wave fuze based on propagator method (PM) is proposed. Vortex electromagnetic waves with different orbital angular momentum modes are sequentially emitted to irradiate the target by a phase-controlled uniform circular array, and the target echo mathematical model is derived based on the multiple-input single-output (MISO) model. The received signal matrix is constructed through the approximate deformation of the echo equation. Then, PM is used to construct the spatial spectrum function, and spectral peak searching is performed to estimate the target azimuth. The effectiveness of the proposed method is verified by simulation. Results show that the proposed method can accurately detect the azimuth of a target in the case of low SNR and few elements.

Images inpainting via structure guidance
HU Kai, ZHAO Jian, LIU Yu, NIU Yukai, JI Gang
2022, 48(7): 1269-1277. doi: 10.13700/j.bh.1001-5965.2021.0004
Abstract:

Aiming at the problem of obvious visual artifacts in the content of rough network with less prior knowledge, a two-stage image inpainting method based on an edge structure generator is proposed. The edge structure generator is used to perform feature learning on the input image edge and color smoothing information, and generate the missing structural contents so as to guide the fine network to reconstruct high-quality semantic images. The mentioned method has been tested on the public benchmark datasets such as Paris Street-View. The experimental results show that the proposed approach can complete the hole images with the mask rate of 50%. The quantitative evaluation indicators: PSNR, SSIM, L1 and L2 errors respectively surpass current images inpainting algorithms with excellent performance, such as EC, GC, SF, etc. Among them, when the mask rate is 0%-20%, the PSNR index reaches 33.40 dB, which is an increase of 2.37-6.57 dB compared to other methods; the SSIM index is increased by 0.006-0.138. Meanwhile, the completed images get clearer texture and higher visual quality.

Low computational-cost multicast subgrouping for SVC streams
YANG Jingxuan, XU Zhen
2022, 48(7): 1278-1286. doi: 10.13700/j.bh.1001-5965.2021.0014
Abstract:

Multicast is widely used in multimedia transmission because it can utilize channel bandwidth efficiently. However traditional multicast scheme has bottleneck rates problem, which may limit the multicast transmission rate. Subgroup formation can solve the problem, which involves splitting and classifying the multicast group into smaller sub-groups based on intra-group users' channel qualities. Firstly, this paper proposed a user-oriented video multicast transmission scheme, that combined scalable video coding (SVC) technology with subgroup formation. Each subgroup demodulated SVC streams of different layers according to actual data receiving capability, during which the scheme maximized the total system rate on the basis of user video transmission. Moreover, a low computational-cost subgroup algorithm for fair resource allocation is proposed. This proposal considered SVC layer limitation based on low-complexity subgrouping (LCS) algorithm and adopted a constant vector to suppress unfair resource allocation. Finally, the results show that the proposed algorithm achieves well performance in terms of system rate, spectrum efficiency and system fairness when the bandwidth resource and the number of users change. In addition, the computational complexity of the algorithm is low, thus it can be applied to video transmission under 4G and 5G network architectures.

Orbital dynamics of rings of small bodies
WU Tailong, WANG Yue
2022, 48(7): 1287-1296. doi: 10.13700/j.bh.1001-5965.2021.0003
Abstract:

With the development of astronomical observations, it has been found that, not only Saturn, Jupiter and other giant planets, but also some small bodies are surrounded by rings. Focussing on rings of the Centaur 10199 Chariklo, we study the orbital dynamics of particles in the gravitational field of Chariklo, and analyze the impacts of equatorial ellipticity and rotation of Chariklo on the orbital motion of particles. The first kind of periodic orbits and 1:3 resonant periodic orbits are obtained by using KAM torus iteration on the Poincaré sections. The relationship between the position of rings and the mean motion resonances are revealed by analyzing the properties of the periodic orbits. The results show that, the particles in the inner ring of Chariklo are most likely associated with the first kind of periodic orbits and their quasi-periodic orbits, but are also likely associated with the 1:3 resonant periodic orbits and their quasi-periodic orbits. The particles in the outer ring of Chariklo are not associated with the 1:3 resonant periodic orbits, but are associated with the first periodic orbits and their quasi-periodic orbits.

Calibration method for high precision camera based on plane transformation
PENG Yan, GUO Junbin, YU Chuanqiang, KE Bing
2022, 48(7): 1297-1303. doi: 10.13700/j.bh.1001-5965.2021.0015
Abstract:

Traditional methods do not consider the existence of perspective deviation, and usually extract the center of the ellipse as the projection point of a real physical center, resulting in camera calibration errors. A calibration method for high precision cameras was proposed based on plane transformation. The corner points on the inner and outer borders of the calibration plate were extracted to carry out the plane transformation of the calibration plate, and the marked points were projected from ellipses into approximate standard circles. The coordinates of the center of the standard circle were extracted by image moments, and were projected back to the plane of the original calibration plate to obtain the pixel coordinates of the actual center of the marked points. According to the coordinates of the actual center of the circular markers, the Zhang Zhengyou calibration method was used to complete the camera calibration. Experimental results show that compared thus the traditional method, the proposed method reduced the camera calibration error by 66.169%, thus effectively improving the camera calibration accuracy.

Hot spot detection algorithm of photovoltaic module based on attention mechanism
FAN Tao, SUN Tao, LIU Hu
2022, 48(7): 1304-1313. doi: 10.13700/j.bh.1001-5965.2021.0457
Abstract:

The hot spot phenomenon is one of the important reasons for the reduction of power generation capacity of photovoltaic panels, and the detection of hot spots is an essential task for operation and maintenance personnel. The scale of distributed photovoltaic power plants is generally small, the site is scattered, the environment is complex and diverse, and the operation and maintenance personnel need to invest a lot of human resources to detect hot spots using traditional hot spot detection methods. In this paper, we propose a new hot spot detection algorithm HSNet. Firstly, the influence of reflection is eliminated through image segmentation. Secondly, the feature information between channels is learned in combination with the channel attention mechanism to enhance the importance of the target area. The method of user-defined anchor points is used to improve the detection speed. Then, the focus loss activation function and the category prediction method based on the prior probability of objects are used to improve the problem of low classification accuracy caused by the imbalance of training target samples, Finally, the accurate target position is obtained by regression method. Experiments show that the target detection algorithm designed in this paper has significant advantages over other algorithms in terms of window regression accuracy and classification accuracy, and the mean accuracy and accuracy of the bounding box are improved by 3.18% and 2.42%, respectively.

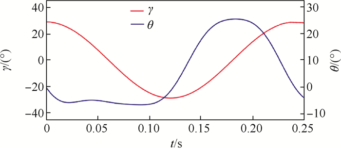
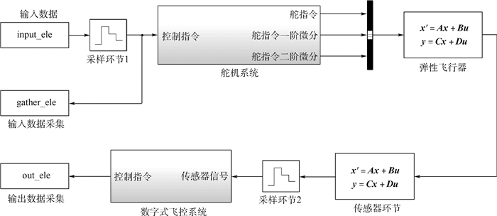
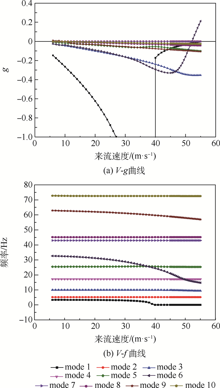
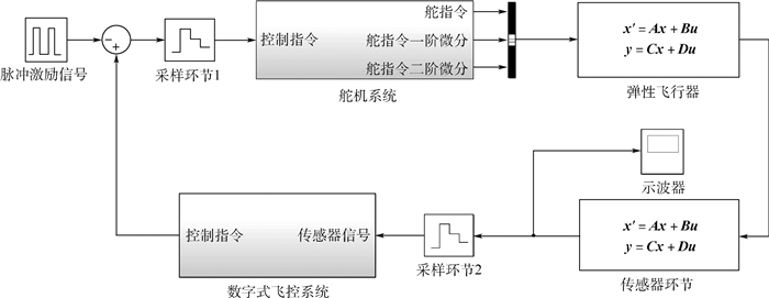
Mechanism analysis of a new aeroservoelastic instability mode
JIANG Yu, YANG Chao, WU Zhigang
2022, 48(7): 1314-1323. doi: 10.13700/j.bh.1001-5965.2021.0571
Abstract:

Recently, the structure of a supersonic missile disintegrated due to aeroservoelastic instability in flight test. Through the analysis of flight test data, it is found that the vibration frequency of aerodynamic servo elastic instability is higher than the first-order bending elastic modal frequency of missile body. Based on the frequency domain analysis of aerodynamic servo elastic stability of missile, it is not found that aeroservoelastic instability occurs in this frequency band. To solve this problem, a simulation analysis method of aeroservoelastic stability considering the influence of sampling process of digital flight control system is established, and the missile is modeled and analyzed. The numerical results reproduce the instability phenomenon of the missile. The causes of this new instability phenomenon are discussed, including the frequency shift phenomenon caused by the discretization of continuous structure filter and frequency aliasing. Finally, the corresponding improvement measures and relevant conclusions are given.

Optimal design of motion parameters of flapping wing
WU Yue, XIE Changchuan, YANG Chao, An Chao
2022, 48(7): 1324-1331. doi: 10.13700/j.bh.1001-5965.2021.0593
Abstract:

The flight of an ornithopter depends on the motions of the flapping wing. The optimal aerodynamic characteristics of a specific flapping wing will be obtained when using an optimized motion strategy. Furthermore, it provides a design basis for the transmission mechanism of a flapping wing aircraft. However, there is currently a lack of effective method for motion optimization in design stage to determine a set of optimal motion parameters for a given wing. In this paper, the unsteady vortex lattice method (UVLM) is applied to calculate the aerodynamic effect caused by the flapping motion. To verify accuracy of the aerodynamic calculation method, the result is correctly compared with existing experiment data. Then based on the DIRECT (divide rectangle) global optimization algorithm, the flapping kinematics parameters are iteratively optimized to maximize the propulsion efficiency. The results show that the optimization method can effectively solve the optimal parameters of flapping kinematics parameters and improve specific aerodynamic performance. The average thrust calculated by the optimization algorithm in this paper has a 104% numerical improvement compared to that of the baseline motion. Besides, it indicates that reducing the lift and thrust constraints are beneficial to the optimization to achieve a higher propulsion efficiency in the design process. The maximum propulsion efficiency without aerodynamic constraints in this paper is improved by 46.8% compared to that of the baseline motion.

Design and implementation of a high precision 6-DOF parallel platform for a space optical remote sensor
LIANG Fengchao, TAN Shuang, HUANG Gang, FAN Jiankai, LIN Zhe, KANG Xiaojun
2022, 48(7): 1332-1342. doi: 10.13700/j.bh.1001-5965.2021.0224
Abstract:

The high precision 6-DOF parallel platform can precisely adjust the position and pose of the secondary mirror of the space optical remote sensor, which could realize the ground optical alignment and the active correction of optical aberration on orbit. In order to solve the two difficulties, ie, ulti index and multi constraint structural optimization design and high-resolution driving strut design, in the development of a high-precision parallel platform, 3 steps are taken as follows: Firstly, the inverse solution mathematical model and ADAMS parametric model of the 6-DOF parallel mechanism are established, and the structure optimization objective function is determined. The structure optimization design is carried out in combination with the constraints such as strut length and hinge angle, therefore, the structure parameters and the requirement of 60 nm driving strut resolution are obtained. Then, to get high resolution strut, the driving strut based on "brushless DC motor+ball screw+grating ruler" is designed, and PI control law is used to realize the high-precision closed-loop servo control of eliminating static error. As a result, the resolution of the driving strut reaches 50 nm. Finally, the accuracy of the parallel platform is tested, and the test results show that the resolution of the platform is 0.2 μm, and the angular resolution is 1″, which meet the requirements of the index. The platform has been successfully applied to the ground optical alignment and aberration active correction experiment of the space remote sensor, which lays a solid theoretical and practical foundation for the on orbit application.