2022 Vol. 48, No. 5

Display Method:
Volume 48 Issue52022
iconDownload (99195) 1498 iconPreview
Optimized charging method of lithium-ion batteries based on dynamic characteristics of electrodes
ZHANG Caiping, LI Feng, ZHANG Linjing, WANG Yubin, JIA Xinyu, ZHANG Weige
2022, 48(5): 725-735. doi: 10.13700/j.bh.1001-5965.2020.0660
Abstract:

Aiming at the problems existing in the fast charging of electric vehicles, the charging and discharging characteristics of lithium-ion batteries are well studied. And an optimized charging protocol are proposed. The maximum allowable charging current rates of positive and negative electrodes have been determined under different state of charge (SOC) with the boundary condition of none lithium-metal deposition in negative electrode. The charging energy consumption and charging time model is established for the full cell charging process. And the optimal charging current pattern is obtained for the full cell by employing the particle swarm optimization method and constraining the maximum allowable charging current of each electrode. The results demonstrate that the battery can be charged from 0% to 80% SOC within 34 minutes using the optimal charging current pattern, and the charging time can be reduced by about 26.5% when compared to that of 1 C constant-current charging. Meanwhile, the energy consumption of battery can be reduced by about 1.5% with the optimized charging current pattern, when compared to the constant-current charging pattern using its average value.

A robust auction algorithm for distributed heterogeneous multi-AUV task assignment
LI Xinbin, GUO Lizheng, HAN Song
2022, 48(5): 736-746. doi: 10.13700/j.bh.1001-5965.2020.0655
Abstract:

In order to solve the task assignment problem of multiple heterogeneous autonomous underwater vehicle (AUV), a distributed robust auction algorithm is proposed. First, a heterogeneous multi-AUV task assignment distributed auction model is established, including the task assignment system (auctioneer) optimization model and the AUV optimization model. Second, in view of the existing auction algorithms that ignore the interests of the auctioneer and do not conform to the market rules, we introduce task reward feedback mechanism, and the task assignment system, through several rounds of testing the auction market, adaptively adjusts the task rewards, which effectively reduces the cost of task assignment system when guaranteeing AUV utility at the same time, for the purpose of promoting the task assignment system to participate in the auction. Finally, a robust optimization algorithm is proposed to deal with the uncertainties caused by underwater ocean currents, which improves the ability of multi-AUV task assignment system to deal with complex underwater environment. Simulation results show the robustness and effectiveness of the proposed algorithm.

Multi-box container loading problem based on hybrid genetic algorithm
ZHANG Changyong, LIU Jiayu
2022, 48(5): 747-755. doi: 10.13700/j.bh.1001-5965.2020.0665
Abstract:

Aviation multi-box container loading is an important link to realize fast, efficient and safe air cargo transportation. Aimed at the multi-box container loading optimization problem of multiple cargoes and container types under realistic constraints, a mathematical optimization model is built and a hybrid genetic algorithm is proposed to solve the cargo loading layout scheme, so as to make full use of the container loading space. The three-stage code is used to determine the loading order, cargo placement status and container number to generate the initial population randomly. The optimal solution protection strategy is added in the conventional selection operation, and the center of gravity, non-overlapping and load-bearing constraints are taken into account in the fitness function to evaluate the solution. The simulated annealing operator is added to avoid falling into the local optimum by using its jump property, which further improves the optimization effect. Through the comparison of examples, it shows that the proposed algorithm can still maintain a high volume utilization rate under various constraints, and can well solve the loading of strong and weak heterogeneous cargoes. The feasibility and applicability of the algorithm are further verified by using specific cargo data. The average volume utilization rate of four kinds of air container is higher than 82%, which shows that the proposed algorithm can effectively solve the cargo loading problem of regular and irregular multi-box containers, and has good engineering application value.

A combined estimation functions method for autoregressive model with time-varying variance
HAN Yu, TIAN Baocheng, WANG Shupeng
2022, 48(5): 756-761. doi: 10.13700/j.bh.1001-5965.2020.0657
Abstract:

With regard to the problem of parameter estimation, the combined estimation functions method is used to carry out statistical research on the parameter of autoregressive model with time-varying variance. The research status of the autoregressive model with time-varying variance and the combined estimation functions theory is reported. The combined estimation functions theory is used to obtain the parameter estimators of the autoregressive model with time-varying variance, and it is proved that the parameter estimators of the combined estimation functions method asymptotically converge to normal distribution. The numerical simulation is carried out for the comparative analysis of the proposed parameters. The simulation results show that, compared with the quasi maximum likelihood estimators and the least squares estimators, the proposed parameter estimators of combined estimation functions are slightly better than those of quasi maximum likelihood estimation, and the statistic is less affected by the distribution function of error terms.

Height control of stratospheric aerostat based on secondary airbag
LIN Kang, MA Yunpeng, ZHENG Zewei, WU Zhe
2022, 48(5): 762-770. doi: 10.13700/j.bh.1001-5965.2020.0679
Abstract:

In the past, when the aerostat hovering or flight control was designed, wind was used as an interference item or resistance, and the propeller was required to overcome the wind resistance. The energy carried by the aerostat is limited, so there is a problem of insufficient energy in the design of the aerostat.According to the characteristics of the stratospheric wind field, this paper uses a secondary airbag to control the height of the aerostat, realizes the utilization of wind fields with different heights in the stratosphere, and can reduce the energy consumption of the aerostat. In this paper, the aerostat height control model is established, backstepping is used to design the aerostat height controller, the state observer is used to estimate the aerostat model error and input error, and simulation analysis is performed to prove the designed controller can effectively control the height of the aerostat. And this paper establishes the change model of the pressure difference between the inside and outside of the airbag when the aerostat height is controlled, and simulates and analyzes the influence of the change of aerostat height on the pressure difference between the inside and outside of the airbag.

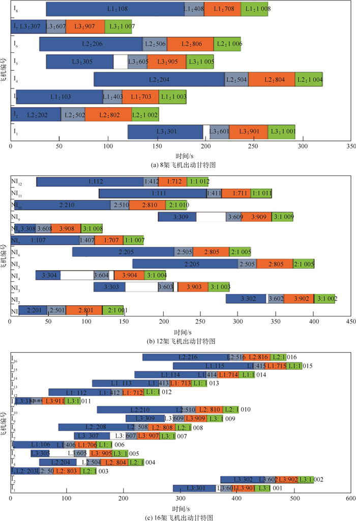
Carrier-based aircraft departure scheduling optimization based on CE-PF algorithm
WAN Bing, HAN Wei, SU Xichao, LIU Jie
2022, 48(5): 771-785. doi: 10.13700/j.bh.1001-5965.2020.0674
Abstract:

Carrier-deck operation scheduling is a key technology to improve the combat effectiveness of aircraft carriers, and the optimization scheduling problem of complex constraints with time, space and resource constraints has been proved to be NP-hard. We study the optimization problem of carrier-based aircraft sortie and departure scheduling, which is abstracted as a zero-buffer hybrid flow shop scheduling model. A mixed integer programming model including aircraft collision avoidance and other constraints is established. Then, a cross entropy-operation profile fitting (CE-PF) optimization intelligent algorithm is proposed to solve the mathematical model. The flowchart of solving algorithm is given. The jobs grouped by heuristic rules are accomplished by the cross-entropy algorithm through Gaussian sampling, the scheduling design of task sorting, operations permutation and constraint checking in the grouped jobs is completed by the operation profile fitting algorithm, and the gap approximation algorithm is used to perform the target value evaluation, elite population selection, sampling parameters update and optimal convergence decision. The simulation results show that the CE-PF algorithm can solve the departure scheduling problem efficiently. The sensitivity analysis shows that the take-off mode and space constraints have a great influence on aircraft sortie efficiency.

Construction method of software runtime behavior model for reliability prediction
LI Qiuying, LU Minyan, GU Tingyang
2022, 48(5): 786-794. doi: 10.13700/j.bh.1001-5965.2020.0680
Abstract:

Runtime behavior model construction is a component of software runtime model construction oriented to reliability prediction. It provides runtime component-to-component dynamic interaction relationship and state transition probability information for software reliability prediction. Based on Java development platform, a construction method of software runtime behavior model based on non-intrusive monitoring is proposed, including the following steps: obtaining the current runtime architecture model; determining the monitoring objects according to the runtime architecture model; declaring the proxy Bean in the monitoring method; declaring the monitoring Bean to realize the extraction of the dynamic component interaction information; declaring the interface between the proxy Bean and the monitoring Bean; based on the construction algorithm, the runtime behavior model is constructed. Finally, based on the Rainbow-znn software, an example is carried out, which verified the feasibility of this method.

Android malicious APP multi-view family classification method
HAO Jingwei, LUO Senlin, ZHANG Hanqing, YANG Peng, PAN Limin
2022, 48(5): 795-804. doi: 10.13700/j.bh.1001-5965.2020.0658
Abstract:

Aimed at the problems of incompleteness and singularization of feature construction in the existing Android malware family classification methods, a malicious APP family classification method based on multi-view features regularization and convolutional neural network (CNN) is proposed. We combine the MiniHash algorithm to visualize the original features of the three perspectives which contain APIs of Android framework, opcode sequences, and permissions and Intents in AndroidManifest.xml file, while retaining the similarity among APPs. The feature extraction and information fusion of each view are accomplished through a multi-view convolutional neural network, and then build a set of malicious APP family classification models. The experimental results based on Drebin, Genome and AMD public datasets show that the classification accuracy of malicious APP family is over 0.96, which proves that the proposed method can fully exploit the behavioral characteristic information of various perspectives and effectively make use of the heterogeneous characteristics among multiple perspectives, which has strong practical value.

Dynamic sorting planning of Cartesian robot based on greedy strategy
CHEN Lin, BI Shusheng, LI Dazhai, LIN Chuang, OUYANG Tong
2022, 48(5): 805-815. doi: 10.13700/j.bh.1001-5965.2020.0668
Abstract:

An improved greedy strategy planning algorithm for continuous robot sorting is proposed for the problem that the efficiency is low when traditional sequential sorting algorithm is applied to sort dynamically materials with Cartesian robot. Kinematic model of the Cartesian robot was established to ensure that materials can be accurately picked up. Time window was designed to divide the continuous flow materials on the conveyor belt into regions one by one, and the greedy strategy was applied to plan the sorting sequence of materials in the same time window. Cost function was designed to improve the greedy strategy considering the risk of missing materials in the sorting, which enhances the practicality of the algorithm. Simulation environment was designed to simulate the algorithm, and the sorting experiment was carried out using the designed robot platform to verify the feasibility and effectiveness of the algorithm. Experiments show that the algorithm can plan an effective sorting path in the actual sorting operation of the robot. The average sorting distance and sorting time are both smaller than the sequence planning algorithm, which improves the efficiency of robot sorting for continuous moving materials in the plane. The algorithm, with good real-time performance and strong practicability, has certain guiding significance for the research on the optimization of the sorting path in the case of dynamic sorting with Cartesian robot.

Complex equipment cost estimation model based on entropy theory
WEI Dongtao, LIU Xiaodong, DING Gang, CHEN Yujin
2022, 48(5): 816-823. doi: 10.13700/j.bh.1001-5965.2020.0678
Abstract:

In order to improve the cost prediction accuracy of large and complex equipment such as aircraft and airplanes, based on the principle of similar information priority and entropy theory, the selection of similar equipment is regarded as a process of information fusion, and distance entropy and grey relational entropy are introduced to construct a comprehensive similarity index in order to measure the similarity between the equipment sample and the equipment to be predicted, assign weights to different samples, and establish a weighted least squares method to predict equipment costs. In the situation where the number of equipment samples is less than the number of parameters, the cost driven effect matrix is established and the calculation of the corresponding entropy weight is performed by constructing equipment parameters. The parameter with larger entropy weight is selected as the independent variable of the prediction model.The comparative analysis of examples shows that the weighted regression calculation model based on entropy theory has high prediction accuracy and stability.

A modified Mahalanobis distance discriminant method
WANG Keyao, WANG Huiwen, ZHAO Qing, WANG Shanshan
2022, 48(5): 824-830. doi: 10.13700/j.bh.1001-5965.2020.0652
Abstract:

Mahalanobis distance discriminant method is an effective multivariate statistical analysis method based on the Mahalanobis distance. An important feature of the Mahalanobis distance is its introduction of the inverse of covariance matrix, which avoids the disturbance to the distance measurement from the scales of the attribute variables and the correlations among these variables. However, when there is multicollinearity among the attribute variables, the singularity of the covariance matrix will affect the stability of the inverse matrix estimation, and will greatly damage the effect of the Mahalanobis distance discriminant method. We propose a modified Mahalanobis distance discriminant method, which adopts the general cross-validation (GCV) to choose the dimensions of these variables with the best prediction effect, so that the inverse of the covariance matrix can be well estimated when these attribute variables are highly correlated. The modified Mahalanobis distance discriminant method can provide a reliable estimation of the covariance matrix, resist the disturbances outside the sample set, improve the discriminant accuracy of the model, and enhance the generalization ability of the model. Simulations are conducted to verify the improvement of the discriminant performance of the modified Mahalanobis distance discriminant method compared with the classical one.

Effects of web cutout on bearing performance of composite beam webs under shear load
ZHOU Rui, GAO Weicheng, LIU Wei
2022, 48(5): 831-840. doi: 10.13700/j.bh.1001-5965.2020.0659
Abstract:

The buckling unstability and post-buckling bearing capacity of plain woven composite beam webs under shear load were investigated through experiments and finite element method in this paper. Based on characteristics of the experimental strain results and numerical buckling mode of the finite element analysis, the buckling characteristics of the composite beam webs were analyzed. Hashin failure criteria for plain woven composite materials were imported in the post-buckling bearing analysis, and the main failure modes of the webs from the numerical results are fiber tensile failure in the warp direction and fiber compressive failure in the weft direction. The simulated failure behavior of the webs agrees well with the experimental results. A parametric study based on the experimentally validated finite element model was conducted to investigate the effects of web cutout size and form on the stability, bearing capacity and failure mode of plain woven composite beam web under shear load. The research results provide reference for the design and strength analysis of composite structures.

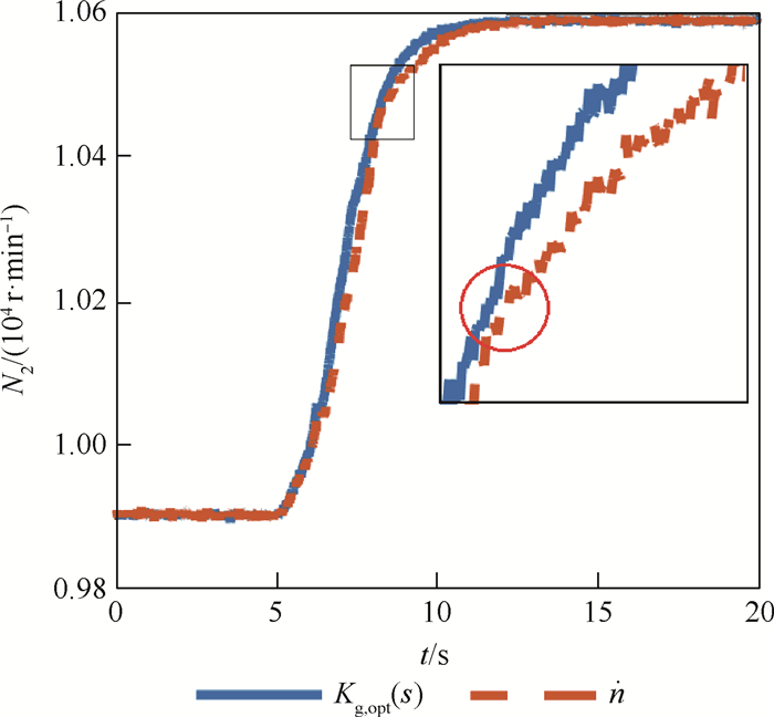
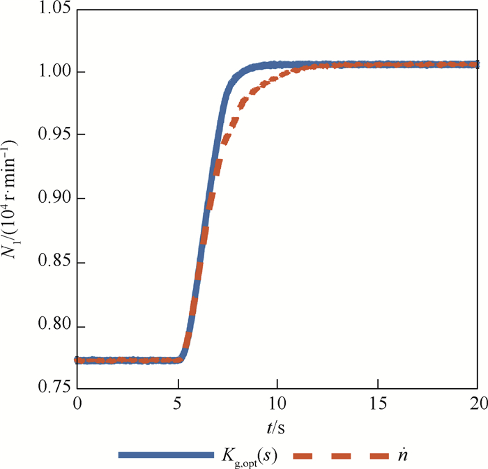
Optimal design of transient main closed-loop control law based on LMI
MIAO Keqiang, WANG Xi, ZHU Meiyin
2022, 48(5): 841-854. doi: 10.13700/j.bh.1001-5965.2020.0661
Abstract:

In order to solve the problem that it is difficult to design transient multivariable control law for turbofan engines, a method of extracting linear model at quasi steady working point of transient acceleration and deceleration line based on power import and extraction is proposed. Based on this, a transient main closed-loop control optimal design method is proposed. It is extended from the steady multivariable control law's linear matrix inequality (LMI) design method to the design of transient main closed-loop control for turbofan engines because the gain-schedule can be used as nonlinear dynamic control method. Minimum matrix trace optimization closed-loop pole is configured to ensure the feasibility of the method. As demanded by two different transient main closed-loop control schedules, two different minimum matrix trace optimization transient multivariable main closed-loop control laws were designed respectively. Dual channels transient performance ground simulations based on a nonlinear turbofan engine model and containing the dynamic state between idle state and maximum power setting state were done. The results show that settling time of transient control dual channels N1 and N2 is no more than 5.0 s and the maximum overshoot is 0.8% in case one. In case two, settling time of transient control dual channels πT and N2 is no more than 5.6 s and the maximum overshoot is 0.8%.

Structural missing image inpainting based on low rank and sparse prior
HU Xunyong, YANG Xiaomei, LI Haoyi, MEI Yubo, ZHENG Xiujuan, LIU Kai
2022, 48(5): 855-862. doi: 10.13700/j.bh.1001-5965.2020.0663
Abstract:

To handle the problem that the image matrix completion algorithm based on low rank prior cannot effectively deal with the structural missing image inpainting, a matrix completion model using double prior on the observation matrix was established. The sparse prior was integrated with low rank prior, so as to make better use of the prior characteristics of the observation matrix. The model used low rank prior and sparse prior to regularize the matrix by using the correlation between rows and columns and within the row and column, respectively. Furthermore, in order to more accurately approximate the rank function, the truncated Schatten-p norm was used to replace the nuclear norm as the low rank prior. Thus, a matrix completion model integrating low rank and sparse prior was proposed, and the alternating direction method of multiplier was used to solve the proposed completion model effectively. The experimental results show that the details of the inpainting image are clear. Compared with the truncated nuclear norm model algorithm, the corresponding improvement ranges of peak signal-to-noise ratio and structure similarity are 2%-44% and 0.7%-8%, respectively.

Multi-aircraft conflict resolution algorithm based on cooperative game
ZHANG Honghong, GAN Xusheng, XIN Jianlin, LIU Yiqun, CHEN Xuyi
2022, 48(5): 863-871. doi: 10.13700/j.bh.1001-5965.2020.0670
Abstract:

In order to solve the problem of inequity of individual cost in conflict resolution of low-altitude UAV, a multi-aircraft conflict resolution algorithm based on the concept of "nucleolus solution" in cooperative game is proposed. According to the characteristics of low-altitude multi-aircraft conflict scenarios, based on the "nucleolus solution" concept, the UAV conflict resolution payment matrix is established. Combined with the advantages of artificial potential field method and ant colony optimization, a hybrid conflict resolution strategy based on artificial potential field-ant colony optimization (APF-ACO) is proposed. The simulation results show that the APF-ACO hybrid solution strategy has the best performance by integrating the three evaluation indexes of calculation time, feasibility and system efficiency. The solution strategy based on cooperative game "nucleolus solution" can improve individual fairness to a certain extent. At the same time, the priority UAV can be quickly planned to achieve the goal at the expense of a small amount of overall benefits.

Deep learning based UAV vision object detection and tracking
PU Liang, ZHANG Xuejun
2022, 48(5): 872-880. doi: 10.13700/j.bh.1001-5965.2020.0664
Abstract:

An improved model based on the Yolov3-Tiny algorithm is proposed for object detection with high miss and false detection rates of small target objects. The k-means clustering method is improved by adding 3×3 and 1×1 convolutional pooling layers, upsampling the output of the 9th convolutional layer, and connecting it with the feature map obtained from the 8th convolutional layer to obtain a new output: 52×52 convolutional layers, forming a new feature pyramid. The object tracking is implemented based on Kalman filtering algorithm. And the detection network with fusion tracking algorithm is proposed. The Hungarian algorithm is used to optimally match the detection edge frame with the tracking edge frame, and the tracking result is used to correct the detection result. The detection speed is improved and the detection capability is enhanced at the same time. The proposed algorithm is tested in a comprehensive simulation environment of ROS, Gazebo and autopilot software PX4 for comparison. The test results show that the improved algorithm reduces the average detection speed by 15.6% and increases the mAP by 6.5%. The fusion tracking algorithm improves the average detection speed of the network by 34.2% and the mAP by 8.6%. The network after the implementation of fusion tracking algorithm can meet the requirements of system real-time property and accuracy.

Pedestrian re-identification method based on channel attention mechanism
SUN Yibo, ZHANG Wenjing, WANG Rong, LI Chong, ZHANG Qi
2022, 48(5): 881-889. doi: 10.13700/j.bh.1001-5965.2020.0684
Abstract:

To address the problem of insufficient expression of pedestrian characteristics, we propose a pedestrian re-identification method based on channel attention mechanism. The channel attention mechanism named SE module is embedded in the backbone network ResNet50 to weight and strengthen the key feature information. The dynamic activation function is used to dynamically adjust the parameters of ReLU according to the input characteristics, and enhance the nonlinear expression ability of the network model. The gradient centralization algorithm is introduced into the Adam optimizer to improve the training speed and generalization ability of the network model. Experiments on the three mainstream datasets: Market1501, DukeMTMC-ReID and CUHK03 show that Rank-1 is increased by 2.17%, 2.38%, and 3.50% respectively, and mAP is increased by 3.07%, 3.39%, and 4.14% respectively. The results indicate that our approach can extract more robust pedestrian expression features and achieve higher recognition accuracy.

Mandatory lane change decision-making model based on neural network
CUI Jieming, YU Guizhen, ZHOU Bin, LI Cunjin, MA Jiwei, XU Guoyan
2022, 48(5): 890-897. doi: 10.13700/j.bh.1001-5965.2020.0662
Abstract:

Aiming at the problem of fast-speed and high risk of lane changing behavior on expressway, we focus on the ineviteable, freguent and serve mandatory lane-changing behaviors to improve the lane-changing model based on gated recurrent unit (GRU), and predict the decision-making behaviors of mandatony lane-changing. To verify the effectiveness of the model, adopt the next generation simulation (NGSIM) data as the training set and test set of the model. From this data, the lateral acceleration threshold is obtained to screen out the phenomenon of lateral swing of vehicles. The experimental results indicate that the optimized model could determine the location of mandatory lane change with an accuracy of 96.01%. The accuracy of the model is improved by 3.67% compared with the LSTM model, and is improved by 7.31% compared with the naive Bayes network.

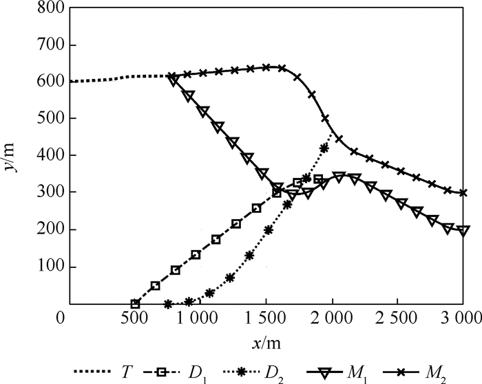
Differential game guidance law design for integration of penetration and strike of multiple flight vehicles
CHENG Tao, ZHOU Hao, DONG Xiaofei, CHEN Wanchun
2022, 48(5): 898-909. doi: 10.13700/j.bh.1001-5965.2020.0673
Abstract:

To solve the problem of dodging the defense missile group and hitting the target, a differential game guidance law which can be applied under the condition of incomplete enemy information is proposed. The linearized model of multi-vehicle engagement was established and the order of the model was reduced according to different combat teams. A time operator is introduced to unify the terminal time of all teams, and thus the guidance law was deducted based on two-person zero-sum differential game theory. The state estimation of interceptors and target was applied to the proposed guidance law by employing the extended Kalman filter (EKF). The penetration miss distance is greater than 5 m assuming complete hostile state information, and the interception miss distance is less than 0.1 m. Given only the rough and noisy observations, to be a contrast, the state estimation error of interceptors and target is well acceptable, and similar miss distance accuracy can be achieved. The simulation results demonstrate that the proposed guidance law can effectively guide attacking missiles to evade interception and hit the target accurately.

Autonomous deformation decision making of morphing aircraft based on DDPG algorithm
SANG Chen, GUO Jie, TANG Shengjing, WANG Xiao, WANG Ziyao
2022, 48(5): 910-919. doi: 10.13700/j.bh.1001-5965.2020.0686
Abstract:

An intelligent 2D deformation decision method based on deep deterministic policy gradient (DDPG) algorithm is proposed for the autonomous deformation decision making of morphing aircraft. The vehicle that can change at the same time the span length and sweepback is taken as the research object, DATCOM is used to calculate the aerodynamic data, and through the analysis, the relation between deformation and aerodynamic characteristics is obtained. DDPG algorithm learning steps are designed based on the given span length and sweepback deformation dynamics equation. The deformation strategy under the condition of symmetrical and asymmetrical deformation is learned and used to train. The simulation results show that the proposed algorithm can achieve fast convergence, and the deformation error is kept within 3%. The trained neural network improves the adaptability of the morphing aircraft to different flight missions, and the optimal flight performance can be obtained in different flight environments.

Design of missile incremental adaptive fault tolerant control system
FANG Yizhong, LU Yuting, HAN Tuo, HU Qinglei
2022, 48(5): 920-928. doi: 10.13700/j.bh.1001-5965.2021.0454
Abstract:

Aerodynamic parameter uncertainties and actuator failures in missile flight will severely affect the stability and operation of the flight system. Therefore, we investigate an incremental adaptive passive fault tolerant control method to ensure safe control in missile flight as well as effectiveness and reliability of the control algorithm. A control oriented coupled attitude dynamics model was presented. In order to avoid system uncertainties and actuator failures, a passive fault tolerant control law was designed based on incremental nonlinear dynamic inversion. An incremental nonlinear dynamic inversion-based adaptive fault tolerant control law was established by combining the adaptive sliding mode control method and the incremental nonlinear dynamic inversion approach. Meanwhile, the residual of the system was analyzed and compared. A typical full trajectory attitude tracking mission was conducted to verify the control performance under actuator faults. Simulation results show that the proposed system can ensure robustness and fault tolerance without the fault diagnosis knowledge, which could eventually achieve safe and reliable flight control.