2022 Vol. 48, No. 12

Display Method:
Volume 48 Issue122022
iconDownload (194453) 1215 iconPreview
Civil aviation luggage cart stacking algorithm based on dynamic quadtree search
XING Zhiwei, HOU Xiangkai, LI Biao, ZHANG Tao, WEN Tao
2022, 48(12): 2345-2355. doi: 10.13700/j.bh.1001-5965.2021.0144
Abstract:

Intelligent baggage packing is an important trend of future civil aviation baggage processing. To solve the problems of labor intensiveness and inefficiency in the current transportation, a new algorithm based on dynamic quadtree search is proposed. Using the dynamic planning of luggage configuration in the vertical direction, the quadtree is constructed for the empty code placement scheme of the root node. A dynamic minimum utilization formula is proposed to generate a composite layer in each layer of the quadtree.After placing the composite layer, the branches become the new schemes. A dynamic selection algorithm is also designed to optimize the remaining space. n optimal code placement schemes are selected and retained at each layer to continue searching. When the new code placement scheme cannot be generated, the algorithm ends, and the final code placement scheme has the highest filling rate among all the schemes. In the test of practical examples, the average space utilization rate of the schemes is 91.63%, 16.83% higher than that of similar algorithms.Moreover, the proposed algorithm is more stable and can load multiple bags one time.The results are verified by using areal manipulator stacking platform.

Extended target tracking algorithm based on MM-GGIW-PMBM filter
WU Sunyong, ZHOU Yusong, XIE Yun, CAI Ruhua, FAN Xiangting
2022, 48(12): 2356-2364. doi: 10.13700/j.bh.1001-5965.2021.0162
Abstract:

To address the problem of multiple maneuvering extended target tracking, this paper introduces the concept of interactive multiple models into the Poisson multi-Bernoulli mixture filtering (PMBM) algorithm, and proposes a multi-model algorithm with Gamma Gaussian inverse Wishart and PMBM (MM-GGIW-PMBM). Firstly, the algorithm integrates multiple motion models and realizes the hybrid estimation and prediction of the extended state of the maneuvering target and the centroid state through the interaction of the models. Secondly, the covariance matrix in the predicted GGIW components is modified by introducing the fading factor into the strong tracking filter (STF) to prevent the tracking model mismatch. Finally, the target shape is expanded in the PMBM update stage based on the completion of centroid estimation, and the likelihood function is used to update the model probability. The simulation shows that the proposed algorithm can effectively estimate the number and state of multiple maneuvering extended targets.

Optimization of transfer time efficiency evaluation index for airport arriving passengers
LUO Qian, LI Qi, WEN Tao, CHEN Fenghua, ZHU Ping
2022, 48(12): 2365-2372. doi: 10.13700/j.bh.1001-5965.2021.0116
Abstract:

The evaluation of transfer time efficiency is of great significance to improve the transfer efficiency of airport comprehensive transportation. The traditional index optimization method is difficult to truly reflect the index relationship and lacks of index screening rules in the transfer evaluation of inbound passengers at civil aviation airports. In light of the aforementioned issues, according to the target layer, factor layer, index layer and the correlation characteristics of indicators in the index system, this paper abstracts the importance, correlation equilibrium and independence of indicators, and uses DS evidence theory to fuse the comprehensive relationship of indicators. Based on the comprehensive relationship of indicators and the comprehensive evaluation method, evaluation accuracy is defined as the theoretical support of screening indicators, and the algorithm is designed to build the optimization model. Finally, the paper uses the data of 37 domestic airports to make an empirical analysis. The results show that the index comprehensive relationship can reflect the index relationship more accurately and optimize the index ranking, which is better than the index ranking based on principal component analysis and maximum mutual information coefficient, and can eliminate more redundant indexes. The evaluation accuracy identifies the indexes that may be intuitively eliminated, offering a useful basis for choosing indexes and enhancing the index optimization model.

Properties of gas discharge electron beam coaxial wire of fuse additive manufacturing and microstructure of TC4 titanium alloy
XU Haiying, YANG Guang, ZHANG Wei, YANG Bo, SANG Xinghua, WANG Zhuang
2022, 48(12): 2373-2380. doi: 10.13700/j.bh.1001-5965.2021.0147
Abstract:

Based on the analysis of fuse additive manufacturing using hot cathode electron beams with axial side feeding wires and gas discharge electron beam coaxial wire, the characteristics of droplet transfer of the gas discharge electron beam coaxial wire fuse additive manufacturing have been analyzed, and the conditions for obtaining droplet transfer and bridging transfer are also studied. A TC4 titanium alloy sample is made by gas discharge electron beam coaxial wire of fuse additive manufacturing by the mode of droplet bridging of Φ2 mm TC4 wire. The microstructure of the sample is compared with that manufactured by hot cathode electron beam fuse additive. Results show that the columnar and equiaxed grains of the sample overlap alternately layer by layer with an obvious decrease in their sizes, indicating that the sample grains of the sample are refined and that its mechanical properties can be improved.

Multi-scale depthwise separable convolution facial expression recognition embedded in attention mechanism
SONG Yuqin, GAO Shijie, ZENG Hedong, XIONG Gaoqiang
2022, 48(12): 2381-2387. doi: 10.13700/j.bh.1001-5965.2021.0114
Abstract:

For facial expression recognition, traditional machine learning method features extraction is relatively complex, shallow convolutional neural network recognition rate is not high, and deep convolutional network is easy to cause gradient explosion or dispersion problems. This paper constructs the multi-scale deep separable expression recognition network with residual network which embedded in attention mechanism. Through superposition of multi-layer and multi-scale depth separable residual elements, facial expression feature extraction of different scales is achieved; in the meanwhile, CBAM attention mechanism was used to screen the expression features for the purpose of improving the expression of the weight of the expression features and weakening the noise impact of training data. The algorithm network model in this paper achieves accuracy of 73.89% and 97.47% in Fer-2103 and CK+ expression data sets respectively, which indicates that this network has strong generalization.

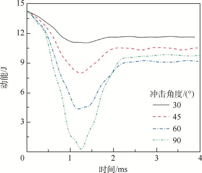
Damage analysis in composite laminates under low velocity oblique impact
ZHANG Chao, LIU Jianchun, FANG Xin
2022, 48(12): 2388-2397. doi: 10.13700/j.bh.1001-5965.2021.0154
Abstract:

Fiber reinforced composite laminates are sensitive to low velocity impact events, and the induced damage extensively reduces the load-bearing capacity and service life of composite structures. A continuum damage mechanics based finite element model is proposed to investigate the mechanical behavior of composite laminates under low velocity oblique impact. The Hashin criteria and a gradual degradation model are employed to predict the intra-laminar damage initiation and evolution; cohesive elements ruled by the bilinear Traction-Separation constitutive relation are applied to simulate delamination. A user material subroutine VUMAT is then developed and implemented to obtain the numerical solution based on ABAQUS/Explicit solver. The numerical results are largely consistent with the available experimental data under normal impact, thus validating the effectiveness of the proposed model. The effects of the impact angle and impact energy on the oblique impact properties of composite laminates are discussed and the damage mode and failure mechanism are analyzed in detail, providing insight into the numerical study on general oblique impact problems in composite structures.

Ultrasonic phased array imaging on aviation aluminum block fatigue crack
PENG Chaoyong, XU Songbai, DU Chuangzhou, ZHANG Jie
2022, 48(12): 2398-2404. doi: 10.13700/j.bh.1001-5965.2021.0161
Abstract:

Surface breaking fatigue crack propagation can lead to structural failure. The phased array ultrasonic imaging technology is used to monitor fatigue cracks and can obtain the crack information required for structural integrity evaluation. For the purpose of evaluating the structural integrity of a structure, fatigue cracks are monitored using the phased array ultrasonic imaging technique, which may also collect the crack information needed. It can promptly provide safety warnings before structural failures. The three-point bending fatigue test method is used to grow fatigue crack on an aviation aluminum test block. Fatigue cracks of different lengths are obtained by gradually cutting the material awayfrom the crack mouth surface. Phased array ultrasonic full matrix capture (FMC) and total focusing method (TFM) are applied by using fatigue crack tip and mouth image information to monitor crack growth and measure crack length. The test influences on ultrasonic imaging of phased array ultrasonic probe positioning, fatigue crack opening/closing, crack surface roughness are also carried out. The results show that the ultrasonic probe can better image the crack when irradiated from the side of the crack, which can truly reflect the morphology of the crack front inside the material. When the fatigue crack length is more than 3 times the ultrasonic length, the image of the crack tip and crack mouth is totally separated, the phased array ultrasonic FMC/TFM imaging technology can effectively measure the crack length, and the measurement error is less than 0.2 mm. Compared with being opened, the fatigue crack closing effect can weaken the reflection of the ultrasonic image signal at the crack tip by 4.5 dB, and the length measurement value is 0.6 mm smaller.

Burst tasks scheduling method for infrared LEO constellation based on multi-strategies
ZHANG Shengyu, ZHU Zhencai, HU Haiying
2022, 48(12): 2405-2414. doi: 10.13700/j.bh.1001-5965.2021.0119
Abstract:

Aiming at problems of the burst task planning and resource scheduling of the infrared LEO constellation, a method based on multi-strategies is proposed considering the temporal and spatial distribution characteristics of infrared LEO constellation. And drawing on the design characteristics of infrared LEO constellation such as the uniformity of the global distribution, the symmetry of the structure and the periodic motion, this multi-strategies involve a long-term on-duty grouping strategy based on geographic divisions and the event triggering strategy based on relative motion analysis. Under the guidance of these strategies, this paper completes task grouping and carries out work window scheduling. Through simulation analysis, the multi-strategies reveal the effectivity, while dealing with target triggers in different areas and fulfilling of grouping and working window scheduling in real time, which insure the timeline of system response under task emergencies. Due to the priority grouping strategy, global complexity is reduced, and the method is proved to be innovative with practical application values.

Scattering characteristics and measurement method of a square cavity
ZHAO Jingcheng, LOU Changyu, LI Jiabi, YANG Zongkai
2022, 48(12): 2415-2424. doi: 10.13700/j.bh.1001-5965.2021.0120
Abstract:

Radar cross section (RCS) is an important index to evaluate the stealth performance of aircraft. As the inlet has a great contribution to the RCS of aircraft, it is significant to the study of the scattering of aircraft inlet. Compared with the common convex surface target, the inlet belongs to the cavity, so the far-field condition calculation and measurement system configuration should be adjusted according to its own unique scattering mechanism. Based on the theory of the relationship between rectangular waveguide and far field, the scattering law of cavity type targets such as inlet is analyzed. Taking a square cavity as an example, the quantitative echo analysis is carried out by using geometrical optics method, and the correctness of the theoretical derivation is verified by FEKO simulation. The RCS of the cavity target is measured in the compact field and the far field. The results of numerical calculation and experimental measurement show that when measuring the scattering of cavity like targets such as inlet, the test field only needs to ensure that the size of the inlet surface meets the far-field conditions, but the measurement system needs to have the measurement ability of 2~5 times the length of the inlet.

Comprehensive evaluation on capability of civil aviation supervisor team based on cloud model
LI Jingqiang, FAN Tianchen, ZHOU Yanru, FANG Qiu
2022, 48(12): 2425-2433. doi: 10.13700/j.bh.1001-5965.2022.0363
Abstract:

Aiming at the lack of comprehensiveness in the quantitative evaluation of the capability of civil aviation supervisors, a comprehensive evaluation index system is proposed. Firstly, the constituent elements of the capability for the supervisor team and the corresponding primary and secondary indicators were extracted based on relevant study research and standard analysis in the civil aviation supervision industry. Then, the G1-CRITIC method was used to calculate the subjective and objective weights for the capability indicators of the supervisor team. To eliminate the one-sidedness of the single-weighting method, the subjective and objective indicators were linearly combined, and their weights were determined with game theory. Finally, the cloud model was employed to comprehensively evaluate the constructed indicator system. The result shows that the evaluation system clearly reflects the comprehensive capability of civil aviation supervisors with reasonable weighting indicators. In addition, the predicted deficiencies of the supervisor team could further support the scientificity of training, and stimulate the regulation efficiency of the supervisor team.

Effects of prepreg ambient-temperature storage life on mechanical properties of MT700/603 composites
WANG Rong, YU Yalin, WANG Lechen, MO Shenzhong, HUANG Yuqing, ZHOU Xiang
2022, 48(12): 2434-2441. doi: 10.13700/j.bh.1001-5965.2021.0121
Abstract:

A hot-melt prepreg MT700/603 was prepared. The correlation between ambient-temperature storage life and the degree of pre-curing, and effects of pre-curing degree on composite quality and mechanical properties were investigated and discussed. The relationship among prepreg storage life, pre-curing degree and composite properties was established. The results show that the minimum viscosity is increased by 4.6 times after 60 days' storage at room temperature. Meanwhile, the glass transition temperature is increased by 17.9 ℃ and the pre-curing degree is increased to 11.2%. When storage life is less than 30 days, the composites show good internal quality, uniform fiber distribution and low porosity (≤0.03%), and the pre-curing degree is less than 5.3%. The longitudinal compression strength and modulus of composites tendentiously dependent on the failure of resin matrix are more sensitive to porosity than the longitudinal tensile strength and modulus dependent on the failure of fiber reinforcement. With the extension of storage life, the pre-curing degree and the viscosity of resin increases, and there is a mismatch between the pressurized moment and the resin gel point, which is the fundamental reason for the decrease of mechanical properties in composites. The maximum ambient-temperature storage life can be deduced according to the design requirement and mechanical properties data in different storage periods, realizing the quantitative evaluation of the prepreg availability.

Precise references orbit design of miniSAR satellite
LIAO Xiang, ZHENG Jing, XU Yongsheng, XIE Chengqing, DING Qiangqiang
2022, 48(12): 2442-2449. doi: 10.13700/j.bh.1001-5965.2021.0141
Abstract:

In order to meet the requirements of the mini synthetic aperture radar (miniSAR) satellite interferometry mission for the space baseline, a set of precision reference orbit design algorithms was established by analyzing the features of the satellite reference orbit. The algorithm takes a group of orbit determination data after the successful orbit insertion of the miniSAR satellite and the estimation elements of reference orbit obtained by analyzing the reference orbit features as inputs. The Eckstein-Hechler mean elements model and nested iterative correction method are used to design and output the reference orbit within the mission duration. Numerical simulation shows that the spatial regression accuracy of the reference trajectory formed by the algorithm is better than 0.01 m, which can be applied to real engineering application.

A graph convolution network based latency prediction algorithm for convolution neural network
LI Zheyang, ZHANG Ruyi, TAN Wenming, REN Ye, LEI Ming, WU Hao
2022, 48(12): 2450-2459. doi: 10.13700/j.bh.1001-5965.2021.0149
Abstract:

Obtaining the inference latency of a convolution neural network (CNN) via learnable prediction algorithm have attracted more attention. Existing latency predictors suffer from two major problems. First, the high complexity of CNN design space requires tremendous cost of data collection. Second, traditional algorithms fail to accurately model the effect of the hardware complier's operator fusion on latency. To solve these problems, this paper proposes a latency predictor based on graph convolution network (GCN). This algorithm regards the latency of a complete network as accumulation of multi-node latency compensation, and utilizes graph convolution to model the effect caused by operator fusion. Furthermore, we propose a differential training algorithm to reduce the size of input space and improve the generalization of the algorithm. Experiments on HISI3559 in MB-C continuous search space show that our algorithm can reduce the average relative error from 302% to 5.3%. In addition, replacing the traditional latency predictor with the proposed predictor enables neural architecture search algorithms to find high precision networks with latency closer to the target.

Interfacial crack growth of delaminated composite laminates under hygrothermal environment
XIA Fei, XUE Jianghong, HE Zanhang, JIN Fusong
2022, 48(12): 2460-2472. doi: 10.13700/j.bh.1001-5965.2021.0137
Abstract:

The laminated composite structures in harsh hygrothermal environment are easy to undergo premature buckling and delamination propagation. This paper proposes a theoretical study on the nonlinear buckling and interfacial crack propagation of thick plate containing delamination by considering the hygrothermal effect and the contact effect. Based on the variational principles of variable boundary, the total potential energy of the laminates subjected to hygro-thermal-mechanical loading is established from which the governing equations for nonlinear post-buckling and the expression of energy release rate for delamination propagation are derived. The post-buckling equilibrium paths of the laminates characterized by the in-plane load vs deflection amplitude curves are determined via perturbation technique and Galerkin approach. With the available solutions from post-buckling analysis, the theoretical solution of threshold load corresponding to the delamination propagation is determined according to Griffith fracture criterion. By developing MATLAB program, numerical calculations are performed to discuss the effect of the temperature, the hygroscopic concentration and the delamination conditions on the buckling and delamination propagation threshold load. The solutions are compared with the results from ABAQUS finite element analysis and the predictions obtained from classical laminated plate theory, both showing good agreements with the presented theoretical solutions. Results show that hygro-thermal environment reduce the buckling load and the delamination propagation threshold load. Besides, neglecting the transverse shear strain may overestimate the load-carrying capacity of the laminates.

Robust optimization design under geometric uncertainty based on PCA-HicksHenne method
ZHANG Wei, WANG Qiang, LU Jiachen, YAN Chao
2022, 48(12): 2473-2481. doi: 10.13700/j.bh.1001-5965.2021.0142
Abstract:

The aerodynamic shape design of an aircraft requires a robust optimization approach that takes uncertainty into account. To the knowledge of the authors, research efforts were more paid to the robust optimization considering environmental perturbations, rather than geometric perturbations. For purpose of quantifying the geometric uncertainty, the principal component analysis (PCA) method was utilized to perform research on the parameterization process of the RAE2822 airfoil. The main geometric transformation modes of the airfoil were revealed subsequently. After that, the sensitivity analysis method was applied, and the thickness deformation mode, the camber deformation mode, and the axial displacement mode of the maximum thickness position on the upper surface were indicated as the main influential modes. Those modes were taken as the perturbation modes in the following robust optimization research. The results show that the lift variation of the deterministic optimal airfoil without consideration of perturbation is much huger, with the standard deviation increased by about 200%. However, the optimal airfoil considering geometric perturbation is more robust. The robust airfoil's variability, whether in lift or drag, are lower than those of the original RAE2822 airfoil along with the improvement in mean performance.

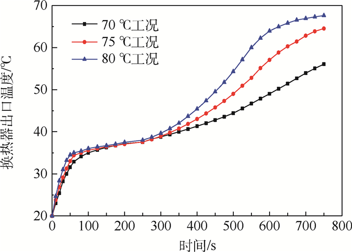
Performance analysis of skin temperature prediction model combining Smith's thermoregulation model with Tanabe model
WANG Tao, ZHANG Wanxin, LI Meng, BU Xueqin, ZHANG Chen, WANG Hailiang
2022, 48(12): 2482-2493. doi: 10.13700/j.bh.1001-5965.2021.0143
Abstract:

A human body thermoregulation model is designed to describe heat transfer from a human body to the environment, and predict thermal physiological parameters. This model is composed of a passive system and a thermoregulation system. The passive system employs the Tanabe model, consisting of 65 multi-nodes by dividing the human body into 16 segments, each of which has four layers: core, muscle, fat and skin. The 65th node is a blood pool transferring heat with each tissue layer. Pennes' bio-thermal equations are employed in each node to calculate heat exchange. In the thermoregulation system, the empirical control equations developed from the physiological experimental data in Smith's model are used to represent the three basal thermoregulation control modes of vasomotion, sweating and shivering in human bodies. The maximum absolute error between the simulation and experimental data is less than 0.8 ℃, and the mean value of the absolute error is about 0.5 ℃. The tests show that the proposed model based on Smith's and Tanabe's models can effectively predict skin temperature under the operating condition of this study.

Fluid and structure coupling analysis of split drag rudder
LI Yongchang, DAI Yuting, YANG Chao
2022, 48(12): 2494-2501. doi: 10.13700/j.bh.1001-5965.2021.0151
Abstract:

To explore the flow field morphology and fluid-structure coupling mechanism of split drag rudder, computational fluid dynamics (CFD) method is used to calculate the SDR flow field with different crack angles. Based on the dynamic mode decomposition (DMD) method, the flow characteristics and frequency variations of each mode are analyzed. Results show that at the crack angle of 20°, the flow field structure around the wing is mainly composed of the standing vortex in the crack area and the trailing edge shedding vortex, and that the modal frequencies increase with the increase of incoming flow velocity and decrease with the increase of the crack angle. Then the fluid-structure interaction of SDR with different crack angles is calculated. The results show that with the increase of the reduction velocity, the fluid-structure interaction mode of the system develops from the vortex induced vibration to flow instability, and that the instability boundary of the system increases with the increase of the crack angle.

Design and dimensional synthesis of a variable wing sweep mechanism
DU Xianchen, LIU Xue'ao, DONG Yang, WANG Hui, HE Tianyu, WANG Chunjie
2022, 48(12): 2502-2509. doi: 10.13700/j.bh.1001-5965.2021.0125
Abstract:

By changing the wing sweep angle, the variable wing sweep aircraft can achieve the best flight state under different flight speeds. To complete the folding and unfolding movements of the wing skin when the wing sweep angle changes under the single drive condition, we present a new driving mechanism for the variable sweep aircraft based on the planar compound linkage mechanism. To solve the problem of the combination of function generation and motion generation, the compound mechanism is divided into three sub-mechanisms. Furthermore, the vector loop equation of the compound mechanism is established and the movability of the mechanism is analyzed. Based on the vector loop equation, we propose a synthesis method to judge the movability and optimize the performance of the mechanism by using the optimization algorithm and kinematic analysis software. Finally, an example is presented to validate the effectiveness of the proposed method. The driving mechanism for the variable sweep aircraft is designed by using the proposed method. The designed mechanism meets the movability requirement and size constraint, and has the minimum envelope area, which prove the effectiveness of the method.

Control oriented longitudinal modeling and analysis of pigeon-like flapping-wing aircraft
PENG Cheng, SUN Liguo, WANG Yanyang, TAN Wenqian, XIAO Feng
2022, 48(12): 2510-2519. doi: 10.13700/j.bh.1001-5965.2021.0130
Abstract:

Pigeon usually flaps and twists its wings by changing the frequency or the amplitude to achieve efficient flying. Inspired by this, to provide a generic design and verification platform for the study of flapping-wing aircraft control laws and control allocation algorithms, a dynamic model of a pigeon-like flapping-wing aircraft with three control inputs is established, and then validated through open-loop and closed-loop simulation. Specifically, the longitudinal multi-rigid nonlinear dynamic model of the pigeon-like flapping-wing aircraft is founded based on Kane equation with the inertial forces and moments of the wings considered. The elevator deflection, the varying amplitude of the wing flapping angle and the varying amplitude of the wing torsion angle are selected as the control inputs, and the control mechanism is then given with a fixed wing-flapping time period. The aerodynamic and control derivatives are calculated in a practical way, and the control oriented linear time-varying periodic system model of the pigeon-like flapping-wing aircraft is finally established. The dynamic stability of the linear time-varying periodic system model is then analyzed based on Floquet theory, which indicates the result obtained is consistent with the subsequent open-loop time-domain simulation results. Finally, the closed-loop simulations are performed and show that the model established in this paper can well reflect the time-varying period dynamic characteristics of the pigeon-like flapping-wing aircraft, and lays a foundation for the study of control laws and allocation algorithms on pigeon-like flapping-wing aircraft.

Phase change heat transfer characteristics and fractal optimization of radial plate fin tube
WANG Weiqi, XING Yuming, ZHENG Wenyuan, HAO Zhaolong
2022, 48(12): 2520-2528. doi: 10.13700/j.bh.1001-5965.2021.0140
Abstract:

Based on the shell and tube phase change heat exchanger, the melting heat transfer characteristics of 35 paraffin outside the rectangular radial plate fin tube were studied by numerical simulation method. The three-dimensional model of fin element was established to study the influence of thermal fluid temperature and fin height parameters on the heat transfer process, and the heat transfer performance of optimal fractal fin was explored. The results show that the melting process can be divided into three stages with different heat transfer rates, which are suitable for different power requirements. Increasing the inlet temperature of the hot fluid and the temperature difference of the phase change material can enhance the total heat transfer power approximately in equal proportion. When the fin height is increased from 10 cm to 12.5 cm and 15 cm, the total melting time is reduced by 42.89% and 71.96%, and the heat transfer is enhanced, but the power to weight ratio is reduced. The total melting time is reduced by 41.95% with fractal structure optimization and the power is increased, which provides a reference for the optimal design of phase change finned tube.

Short-term load forecasting method based on PCC-LSTM model
LIU Qianqian, LIU Yushan, WEN Yeting, HE Jie, LI Xiao, BI Daqiang
2022, 48(12): 2529-2536. doi: 10.13700/j.bh.1001-5965.2021.0145
Abstract:

Short-term load forecasting is the basis for reasonable dispatch and smooth operation of the power grid. To improve the accuracy of short-term load forecasting, a method based on Pearson correlation coefficient (PCC) and long and short term memory (LSTM) neural network is proposed. This method uses Pearson correlation analysis to analyze the correlation of the time series composed of original multi-dimensional input variables, and selects the influencing factors with greater correlation with the power load data as the input to achieve the dimensionality reduction of the original data. Then, through the combination of LSTM neural network and Adam optimization algorithm, a network model is established for the nonlinear relationship between the influencing factors that have a greater correlation with the power load and the actual output sequence of the load. Taking the load data of Jiajie BOX and Chongqing International Grand Metropark Liyuan Hotel as calculation examples, the proposed model is compared with Prophet, LSTNet, and gated recurrent unit (GRU) models. Results show that the prediction accuracy of the proposed model is above 91%, with the highest up to 95.44%, thus effectively improving the accuracy of load forecasting.

Feature-fusion and anti-occlusion based target tracking method for satellite videos
LIU Yaosheng, LIAO Yurong, LIN Cunbao, LI Zhaoming, YANG Xinyan
2022, 48(12): 2537-2547. doi: 10.13700/j.bh.1001-5965.2021.0150
Abstract:

Targets in satellite videos are susceptible to occlusion and interference from complex environments, resulting in inaccurate estimation of the target motion state, eventually leading to target tracking failure. Therefore, based on the kernelized correlation filter (KCF) algorithm, two algorithms are designed to improve the success rate of target tracking to achieve robust target tracking. Firstly, extracting the different features (HOG features, gray features and Gaussian curvature features) of the target, then adaptively weighted fusion is carried out on the correlation response of different features of the target, whose purpose is to improve the anti-interference ability of the target against complex environments; Secondly, calculating the weight according to the maximum and average peak correlation energy (APCE) of the target response patch and using it as the confidence level to adaptively update the target model; Finally, the issue of the target being occluded in satellite videos can be resolved by employing the Kalman filter method to anticipate the position of the occluded target after the occlusion of the target is over and reappears. Many experimental results show that the improved correlation filter algorithm has sound effects on target tracking, especially in complex environments, occluded targets, and illumination variation. The success rate and precision have dramatically improved, laying the foundation for further target tracking in satellite videos.

Airborne PLC channel modeling by transfer function and its probabilistic guarantee analysis
QI Jiayi, LI Qiao, XIONG Huagang, YAN Ruowen
2022, 48(12): 2548-2555. doi: 10.13700/j.bh.1001-5965.2021.0153
Abstract:

Wiring can be made simpler and lighter by using power line communication (PLC) technology to replace some of the data cables used to connect avionics systems. According to airborne power line environment and avionics communication requirements, it is necessary to solve the problem of evaluating the real-time performance of PLC under the conditions of channel fading and interference. First of all, according to the wiring topology of the power lines in a certain aircraft, a modeling method of the PLC channel by transfer function is achieved in the form of a "bottom-up" construction with voltage ratio equations. Subsequently, the relationship between the transfer function, channel gain and instantaneous Shannon capacity is deduced. According to the effective capacity theory, by exploiting the relationship between the non-empty probability of the backlog queue and the quality of service (QoS) factor, It is possible to easily obtain the delay violation probability from the instantaneous Shannon capacity to evaluate the probabilistic guaranteeing of real-time performance. Simulation results verify the accuracy of our models and analysis to estimate the delay violation probabilities, and show the relationship between the delay limit and the violation probability under different channel transfer functions. They also demonstrate how the channel fading significantly affects the sustained real-time rate for airborne PLC systems under the probabilistic guaranteeing delay constraint.

Named entity recognition in nuclear power field based on ELMo-GCN
JING Xin, WANG Huafeng, LIU Qianfeng, LUO Siwu, ZHANG Fan
2022, 48(12): 2556-2565. doi: 10.13700/j.bh.1001-5965.2021.0155
Abstract:

In the process of knowledge management in nuclear power, it's necessary to use named entity recognition to extract high-quality semantic entities for intelligent analysis and processing of text in nuclear power.On the basis of existing research, the recognition precision rate of the model for nested named entities is improved by enhancing the ability of the network rate to extract context information. The experimental results show that the proposed method improves the precision and recall rate significantly compared with the existing methods. Compared with the BiFlaG network, the precision rate is increased by 9.52%, the recall rate is increased by 8.51%, and the F1 value is increased by 9.02%.

A new RF fingerprint identification method based on preamble of signal
ZENG Sheng, ZHU Fengchao, YANG Jian
2022, 48(12): 2566-2575. doi: 10.13700/j.bh.1001-5965.2021.0164
Abstract:

Deep learning-based RF fingerprint recognition methods now primarily use raw data samples as the input of the network, never taking into account how the signal's content affects classification outcomes, and the structure of the network is relatively simple. In response to the above problems, the preamble of the signal as the input of the network was studied and we proposed a new preamble extraction algorithm.We extracted the preamble of 10 ADALM-PLUTO software-defined radios (SDR) and built the preamble data sets at three different distances.The Inception network structure is proposed to be used in RF fingerprint identification in this paper, and the classification accuracy is still 98.58% under the wireless transmission distance of 10 m. The classification accuracy is increased as compared to the pre-existing convolutional neural network (CNN) built on the AlexNet network.

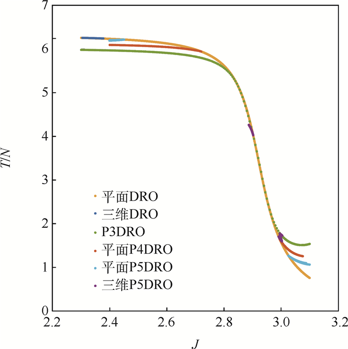
Distant retrograde orbits and its bifurcations in Earth-Moon system
CHEN Guanhua, YANG Chihang, ZHANG Chen, ZHANG Hao
2022, 48(12): 2576-2588. doi: 10.13700/j.bh.1001-5965.2020.0608
Abstract:

There exists a type of stable retrograde orbit around the Moon called distant retrograde orbit (DRO) in the Earth-Moon system. The circular restricted three-body problem (CR3BP) is taken as the dynamical model to study the dynamical structure around DRO. It is possible to determine the bifurcation point and type using Broucke's stability diagram. The numerical continuation method is used to calculate several new orbital branches. Tangent and multi-period bifurcations are the two primary forms of DRO bifurcations (starting from period tripling). New orbit families include planar orbits and 3D orbits. The characteristics of the new orbit family are discussed, including shape, period, energy, stability, hyperbolic manifold structure. The relationship between orbital period and energy is discussed. The bifurcation structure and the hyperbolic manifold structure of multi-periodic orbits are presented geometrically. The dynamic structure will provide theoretical support for the mission based on DRO families.

2022, 48(12): 2589-2606.
Abstract: