2022 Vol. 48, No. 11

Display Method:
Volume 48 Issue112022
iconDownload (213979) 1332 iconPreview
A fingerprint indoor localization method against adversarial sample attacks
ZHANG Xuejun, BAO Junda, HE Fucun, GAI Jiyang, TIAN Feng, HUANG Haiyan
2022, 48(11): 2087-2101. doi: 10.13700/j.bh.1001-5965.2021.0789
Abstract:

With the development of urban intelligence, the indoor positioning services based on WiFi received signal strength (RSS) have attracted extensive attention of society. The deep learning technology is a powerful method to achieve high indoor positioning performance using RSS signal. However, it is vulnerable to adversarial sample attack, which brings serious security risks to the indoor positioning system. In this paper, we propose a deep learning based fingerprint indoor localization method using WiFi RSS against adversarial samples attack (AdvILoc), leveraging the research and analysis of anti-sample defense methods in the field of image recognition. The AdvILoc defend against adversarial samples attack through adding a polling layer, a full connection layer, and a noise layer with differential privacy to the fingerprint indoor positioning deep learning model, which contemplates the characteristics of single and dimension of RSS signals. It also solves the problem of overfitting and weak generalization of deep learning based fingerprint indoor localization model. Meanwhile, the robustness of the model against adversarial samples attack is improved by adding a Dropout layer and designing the parameters regularization of model. The experimental results on two real indoor RSS fingerprint datasets show that, compared with the existing indoor localization methods based on multi-layer perception (MLP) and convolution neural network (CNN), the AdvILoc improves the robustness of the localization model against adversarial samples attack without compromising the localization performance. Additionally, under the C&W attack that meets the l2-normal form specification, the localization accuracy of the model also decreases more smoothly with the increment of the attack size.

Stealthy configuration design and optimization analysis of microsatellite
QIN Yuantian, SUN Hanqing, YUE Xin
2022, 48(11): 2102-2110. doi: 10.13700/j.bh.1001-5965.2021.0392
Abstract:

To study the electromagnetic scattering characteristics of the TX-1 microsatellite, an electromagnetic calculation model with a stealthy shape is established. The physical optics (PO) is used to numerically calculate the radar cross section (RCS) under different conditions to verify PO accuracy through comparing with anechoic chamber experimental results. This serves as a foundation for the development of the satellite RCS incidence angle, polarization, frequency, electric size response characteristics and full attitude angle spatial RCS response characteristics. Finally, the configuration is optimized to a symmetric pointed cone configuration referring to the TX-1's stealthy design. By increasing the quantity of sharp cone edges to optimize the configuration, the olive-shaped satellite with a lower RCS configuration is obtained. The TX-1's stealthy trait can effectively dispel the monostatic radar threat. The spatial RCS average value in the best stealth attitude is 4.89 dBsm less than that in the non-stealth attitude. Under S-band (3 GHz), the RCS average value and RCS amplitude of the olive-shaped satellite are 4.77 dBsm and 31.66 dBsm lower than those of TX-1. Under X-band (10 GHz), the RCS average value and RCS amplitude of the olive-shaped satellite are 3.65 dBsm and 43.97 dBsm less than those of TX-1.

Opening characteristics of inlaid floating ring seal with high-speed gas film
ZHENG Rao, CHEN Xiaozhu, LI Shuangxi, ZHAO Xiang, SHI Renjie, SONG Zifeng
2022, 48(11): 2111-2120. doi: 10.13700/j.bh.1001-5965.2021.0083
Abstract:

This study investigates the inlaid floating ring seal with high-speed gas films in aeroengines, focusing on the opening performance of the seal with different structural parameters, starting modes, and material combinations. The solid domain model and the gas film fluid domain numerical analysis model of the inlay ring-graphite ring-runway are established, and the working gas film thickness and the pressure distribution of the gas film flow field are obtained. By calculating the seal force, the seal opening performance parameters, such as buoyancy, closing force and opening speed, are obtained. This study analyzes the effects of many factors on seal opening speed, such as the inlay-graphite ring thickness ratio and width ratio, and material matchings between the inlay and graphite rings and between the inlay ring and runway.A floating ring seal test bench and a floating ring displacement monitoring system are built, and the numerical simulation results are verified by experiments. Results show that the inlaid structure of the floating ring can effectively improve the sealing failure caused by the decrease of the gap between the graphite ring and runway when temperature rises. The material of the insert ring is a sensitive parameter, which affects the opening performance of seals. This performance decreases rapidly with the increase of the linear expansion coefficient of the material. The material matching between the inlay ring and runway is an important factor for the opening performance. When the inlay ring and runway have the same material, the graphite ring and runway are in a state with a "constant gap", and the opening performance of the seal is more stable at complex temperatures. Results also show that start-up mode has great influence on the opening performance of seals, and that this performance is best when the engine is started by increasing the speed to the working speed and then pressurized. Therefore, floating ring seals should avoid adjusting operating parameters for a long time with higher pressure and speed. The results provide a basis for structural design, material selection and system design of the inlaid floating ring seal for aircraft engines.

Stiffness optimization of M-shaped boom based on radial basis function surrogate model
YANG Hui, FAN Shuoshuo, WANG Yan, LIU Rongqiang, XIAO Hong
2022, 48(11): 2121-2129. doi: 10.13700/j.bh.1001-5965.2021.0091
Abstract:

In the execution of space missions, the hyper-elastic boom is mainly used in the deployment and support of large space deployable antennas and solar sails. In order to improve the supporting effect of the hyper-elastic boom in the state of deployment, the stiffness of the M-shaped hyper-elastic boom (M boom) with different sizes was studied. By using ABAQUS, the M boom's bending, compression, and torsion finite element models were created, and an explicit dynamic method was used to carry out a nonlinear numerical simulation of the M boom's buckling process.The bending stiffness, torsional stiffness and compression stiffness were taken as optimization objectives, the mass as constraint, and the cross-section arc length and radius as independent variables to establish the optimization model. The full factor method was used to design the experiment, the radial basis function (RBF) was used to establish the buckling surrogate model of the M boom, using the particle swarm optimization (PSO) algorithm to perform parameter optimization of the M boom. The ideal values for the length of bonding segment and the central angle were 7.894 5 mm and 26°, and the variation rule of stiffness with the length of bonding segment and the central angle was obtained.

Evaluation of high hitting accuracy performance of hypersonic vehicle
PENG Weishi
2022, 48(11): 2130-2137. doi: 10.13700/j.bh.1001-5965.2021.0094
Abstract:

To evaluate the hitting accuracy of hypersonic vehicles scientifically and reasonably, this paper proposes a high accuracy evaluation method using the error spectrum. First, the hit accuracy data of hypersonic vehicles are preprocessed to obtain the relative distance error. Secondly, the root mean square, average Euclidean error, harmonic average error, median error, error mode metric, geometric average error and iterative mid-range error are constructed to reflect the hitting accuracy of hypersonic vehicles. Then, we build the high accuracy evaluation model and its credibility model for hypersonic vehicles. Finally, two examples are given to verify the correctness and rationality of the proposed method. The simulation results show that this method can obtain not only the result of the hit accuracy evaluation, but also the credibility of the result. This research provides a new scientific evaluation method for evaluating high hitting accuracy of hypersonic vehicles.

Autonomous navigation based on PPO for mobile platform
XU Guoyan, XIONG Yiwei, ZHOU Bin, CHEN Guanhong
2022, 48(11): 2138-2145. doi: 10.13700/j.bh.1001-5965.2021.0100
Abstract:

This paper presents an autonomous navigation method based on proximal policy optimization (PPO) algorithm for mobile platform. In this method, GNSS and LADAR are used for sensing environment information. To define the state of reinforcement learning model, an ego position evaluation method is introduced based on improved artificial potential field algorithm. After that, on the basis of PPO algorithm, a kind of action policy function is designed based on Gaussian distribution, which solves the continuity problem of the vehicle linear velocity and yaw velocity. Furthermore, the network framework and reward function of the model are also designed for navigation scenarios. In order to train the navigation model, a virtual environment based on Gazebo is built. The training results show that the ego position evaluation method obviously helps to improve the speed of model convergence. Finally, the navigation model is transplanted to a real environment, which verifies the effectiveness of the proposed method.

Optical path simulation and design of NO rapid detection optical cavity structure
LI Wen, CAI Yongqing, CHEN Mengfan, LIU Peng
2022, 48(11): 2146-2152. doi: 10.13700/j.bh.1001-5965.2021.0105
Abstract:

According to the chemiluminescence reaction mechanism of nitric oxide and ozone, a new cylindrical total reflection S-type optical cavity design for rapid detection of nitric oxide gas is proposed. The optical cavity model is based on the total reflection S-type structure on the inner wall of the cylinder. Cylindrical light source is used as the light scattering element, so the chemiluminescence light is concentrated on the photosensitive surface of the detector with maximum efficiency, which strengthens the measurement signal of nitric oxide concentration and improves the detection accuracy. Optical software ZEMAX was used to simulate the optical path of the model. The comparative analysis showed that the chemiluminescence collection efficiency of the S-type optical cavity collection path was 36.6%, and is verified by experiments. The experimental results showed that in a certain range of concentration, there is a good linear relationship between the luminescence intensity of the reaction and the concentration of NO gas. The linear correlation was 0.999 2. In the range of 0‰~2.5‰, the detection limit was 0.001‰. The model is simple in structure and meets the national standards. Moreover, it provides a practical idea of design for the on-line exhaust gas detection.

Runway temperature hybrid prediction based on MFOA-KELM residual correction under ice and snow
CHEN Bin, LIU Yue, LI Qingzhen, DING Yu, WANG Liwen
2022, 48(11): 2153-2164. doi: 10.13700/j.bh.1001-5965.2021.0646
Abstract:

The runway surface temperature short-term accurate prediction is one of the key factors for runway icing warning.In order to solve the problem of error accumulation caused by a single mechanistic model with increasing prediction time, a hybrid runway temperature prediction method under ice and snow is proposed.The runway temperature mechanism model is combined with the kernel extreme learning machine (KELM) to develop a data-driven model for correcting the mechanism residuals. To address the problem that the fruit fly optimization algorithm (FOA) is slow to converge (converges slowly) and easily falls into local minima. By introducing a distance expansion factor and a weight update function, it is possible to modify the effect of the FOA's search for the global optimal solution and prevent falling into local minima. The modified fruit fly optimization algorithm (MFOA) is used to jointly optimize the KELM regularization parameter and the kernel parameter. A hybrid runway temperature prediction model is developed based on the modified fruit fly optimized kernel extreme learning machine (MFOA-KELM) with the actual data of runway temperature under ice and snow. The hybrid model is simulated and tested under different time lengths. The experimental results show that compared with the single mechanism prediction model, the mean absolute error of the MFOA-KELM hybrid model is reducedby at least 61.43% when the prediction length is 120 minutes, and the average prediction accuracy is 91.25% when the residual threshold is ±0.5℃. It can be seen that the MFOA-KELM hybrid model has higher prediction accuracy. The research findings show that this hybrid prediction method can provide a new idea for short time accurate prediction of airport runway temperatures.

Layered control of hybrid power loader based on fuel cell
ZHANG Zhiwen, DU Wenjie, LIANG Junfei, ZHANG Yangang, WU Yawen
2022, 48(11): 2165-2176. doi: 10.13700/j.bh.1001-5965.2021.0099
Abstract:

It is of great significance to study new energy technologies for loaders, which have high energy consumption and poor emissions. Combined with the operating characteristics of the loader, this paper proposes a power supply system driven by fuel cell and super capacitor. Our research focused on adaptive energy management strategy resulting from dynamic model and real-time data of fuel cell and supercapacitor system under complex working conditions. Firstly, we designed a composite power supply topology and power transmission scheme. Then, a multi-state model of the system was established under complex working conditions of the loader. And, based on the Haar wavelet theory, the power of the vehicle system was split. Subsequently, a fuzzy logic energy management strategy was proposed to dynamically balance the low-frequency components of the demand power. Lastly, the particle swarm optimization algorithm was used to optimize the control system. The simulation results showed that the power change was greatly slowed down because of the optimal threshold three-layer Haar wavelet on the load power, which effectively improved the life of the fuel cell system. The fuel cell power curve output by the fuzzy logic controller also changed smoothly. Meanwhile, the SOC value of the super capacitor was within the set area. Therefore, the overall efficiency of the composite power system was improved. After optimizing the controller by the particle swarm algorithm, the average output power of the fuel cell decreased by about 5% year-on-year, and the SOC value of the super capacitor reaches a dynamic equilibrium state of about 0.6, which improves the dynamic response and stability of the loader.

Multi-channel wireless sensor system based on CC1310 chip wtih high speed and low power consumption
DUAN Ruifeng, LYU Yanjie, DU Wenji, ZHOU You
2022, 48(11): 2177-2185. doi: 10.13700/j.bh.1001-5965.2021.0682
Abstract:

In order to effectively reduce the weight of sensor data acquisition and transmission system for the new-generation launch vehicle, a wireless sensor system based on chip CC1310 was designed and implemented. Multi-node networking and group management are accomplished using frequency division multiplexing (FDM) and time division multiplexing (TDM). The FDM scheme among groups not only increases the number of nodes, but also improves the transmission rate multiplexing multiple. When there are four groups, the system is capable of supporting more than 100 sub-nodes. In order to ensure high precision synchronization of multi-nodes, avoid node collisions, and obtain the optimal intra-group achievable rate, we also suggested an optimal method of master node timing in combination with a multi-node time-sharing transfer protocol. Moreover, a node wake-up/idle mode switching strategy is designed to reduce system power consumption effectively. The experimental results show that the transmission rate can reach 400 Kbps when two master nodes work in parallel with five sub-nodes, and the transmission rate will increase proportionally when the number of master nodes rises. The power consumption of the single sub-node is less than 60 mW during work hours and less than 12 mW during idle hours. The average power consumption of the single sub-node is 15.2 mW, which meets the requirements of low power consumption. At the same time, the wireless sensor system designed in this paper has good reliability and robustness.

Lightweight densely connected network based on attention mechanism for single-image deraining
CHAI Guoqiang, WANG Dawei, LU Bin, LI Zhu
2022, 48(11): 2186-2192. doi: 10.13700/j.bh.1001-5965.2021.0294
Abstract:

The rain streaks attached to the image seriously affect the analysis and follow-up research of the image information. To restore the background texture damaged by rain streaks, this paper proposes a lightweight densely connected network based on attention mechanism to remove rain from a single image. The attention mechanism makes the network locate in the rain streaks area accurately, and the densely connected network enhances the feature reuse, alleviates the gradient disappearance and model degradation problems. The utilization of multi-scale mix channel depthwise separable convolutions realizes lightweight design by reducing the scale of network parameters and enhancing the efficiency of network operation. Both qualitative and quantitative validations on synthetic and real-world datasets demonstrate that the proposed approach can achieve competitive performance in comparison with the state-of-the-art methods.

Monitoring and analysis on GPS P(Y) code power enhancement
LI Wenxuan, JIAO Wenhai, WANG Kai, QIU Ruijin, SUN Shuxian
2022, 48(11): 2193-2203. doi: 10.13700/j.bh.1001-5965.2021.0676
Abstract:

With programmable power output capabilities, global positioning system(GPS) Block IIR-M and Block IIF satellites can flexibly enhance transmit power of individual signal components. In order to systematically evaluate the power enhancement capability of GPS P(Y) codes, the theoretical analysis of the flex power principle was conducted, and a monitoring and analysis method of GPS signal power enhancement was proposed. Furthermore, the coverage, constellation performance, signal-in-space and user-side performance of power-enhanced P(Y) codes were analyzed based on the data of the International GNSS monitoring and assessment system (iGMAS) and international GNSS service (IGS) monitoring station, high-gain antenna monitoring data, and precision ephemeris. According to the findings, it is possible to increase the L1 P(Y) code and L2 P(Y) code power of Block IIF and Block IIR-M satellites by about 6 dB and 5 dB, respectively, compared with the normal level, while keeping the total transmit power and civil signal power unchanged. With respect to the dual-frequency single-point positioning test only using 19 enhanced satellites, the positioning accuracy is no more than 15 m (95%) in the power-enhanced signal coverage area. While the equivalent carrier-to-noise ratio reduction caused by multi-access interference between P(Y) codes is 0.4 dB, when there are 6 visible enhanced satellites and the enhanced P(Y) code carrier-to-noise ratio is 55 dB·Hz.

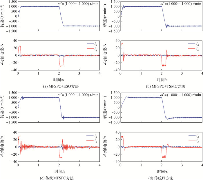
Ultra-local model-free speed predictive control based on ESO for PMSM
XU Lingliang, CHEN Guiming, LI Qiaoyang
2022, 48(11): 2204-2214. doi: 10.13700/j.bh.1001-5965.2021.0085
Abstract:

An ultra-local model-free speed predictive control (MFSPC) method based on an extended state observer (ESO) is proposed to address the control performance decrease of permanent magnet synchronous motor (PMSM) due to parameter changes and external disturbances, and to solve the one-step delay problem in digital systems. This method reduces the model mismatch caused by motor parameter changes, using only the input and output of speed loops without motor parameters. The ESO is established to overcome the problems of the traditional MFSPC method which adjusts many parameters with large workload and output pulsation, obvious chattering, and low anti-interference and robustness. The ESO monitors the total disturbance of the system in real time, and performs feedforward compensation. It also addresses the beat delay problem in the digital control system, using the generated speed prediction, and sets the control parameters to improve control performance based on frequency domain analysis. Experimental results show that the proposed method has strong anti-interference and robustness, can track the rated speed steadily, and has faster dynamic response.

Method for predicting on-orbit residual life of satellite atomic clock
FENG Jianguang, ZHENG Zixia, LONG Dongteng, ZHOU Bo, LU Mingquan, ZHENG Heng
2022, 48(11): 2215-2221. doi: 10.13700/j.bh.1001-5965.2021.0087
Abstract:

An atomic clock is one of the most critical loads of a navigation satellite. It is thus of great significance to carry out the work related to the health assessment and residual life prediction of atomic clocks to understand the performance and the health status of the atomic clock in time and to ensure that the satellite navigation system provides services with high availability and continuity. Based on the analysis of on-orbit failure characteristics of the atomic clock, a method for residual life prediction of the satellite atomic clock is presented in this paper. The method considers the random failure and the loss failure of the atomic clock comprehensively based on the multi-dimensional data generated in the life cycle of the atomic clock, and predicts residual life by means of probability statistics and machine learning. Case studies show that the method proposed is reasonable, effective, and applicable to engineering practices.

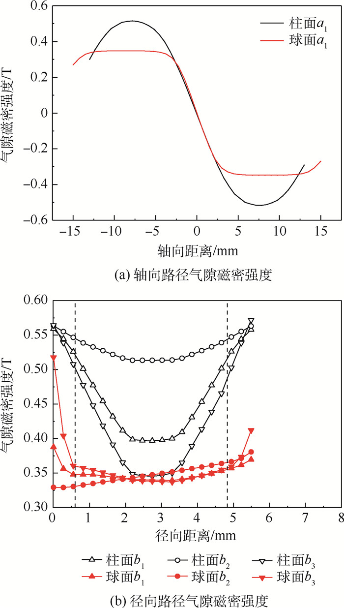
Design and analysis of high precision for spherical Lorentz force magnetic bearing
FU Baiheng, WANG Weijie, WANG Yuanqin, FAN Yahong, NIE Chen, JIA Haipeng
2022, 48(11): 2222-2229. doi: 10.13700/j.bh.1001-5965.2021.0103
Abstract:

Aim at solving following problems. Firstly, the limited deflection angle of the cylindrical Lorentz force magnetic bearing (LFMB) can leads to the short duration of torque output of magnetically suspended control and sensing gyroscope (MSCSG). Secondly, the low uniformity of magnetic density between the LFMB's air gap will also affect the control sensitivity of the MSCSG. A high-precision spherical design and analysis of LFMB are proposed. The spherical LFMB's rotor spherical magnetic sleeve and stator spherical winding are both concentric with the double spherical gyroscope rotor, and the air gap is spherical shell shape, which ensures that the width of the air gap on both sides of the winding coil remains unchanged during deflection. Compared to the cylindrical LFMB, the deflection angle of the spherical LFMB is increased from ±0.6° to ±2°. The mathematical analysis model of the air gap magnetic density of the cylindrical and spherical LFMB is derived by the equivalent magnetic circuit method, and the finite element simulation model of the cylindrical and spherical LFMB is constructed based on the ANSYS command stream. The simulation analysis shows that the maximum magnetic density of the spherical LFMB decreases by 34.1% compared to the cylindrical LFMB within the deflection range of the rotor along the deflection centerline. When the rotor is not deflected, the uniformity of the magnetic density at the cross-section of the spherical LFMB coil increases by 11.6% compared to the cylindrical. When the rotor is deflected, the uniformity of the magnetic density at the cross-section of the spherical LFMB coil increases by 17.7% compared to the cylindrical. The proposed method lays the foundation for the improvement of the control and sensitivity of the magnetically suspended control and sensing gyroscope.

Rotating parabolic-conical corrosion pit model establishment and its application
LIU Dejun, TIAN Gan, JIN Guofeng, YANG Zhengwei, REN Biyun, WEI Huali
2022, 48(11): 2230-2240. doi: 10.13700/j.bh.1001-5965.2021.0106
Abstract:

As one of the common degradation forms of metal structure exposed to the corrosive medium, pitting may cause the local stress concentration and decrease the strength, reliability and safety of the structure of equipment. Thus, an exact pit model is useful for the stress distribution analysis of the metal structure exposed to the corrosive medium. In this instance, by surveying the pattern of typical corrosive pitting, the concept of pit open angle is redefined, and a novel model called rotating parabolic-conial model is developed. Both FEM simulations and tensile experiments are performed to validate the accuracy and efficiency of the proposed model. It is shown that the maximum of the stress concentration caused by the pitting is generally located around the bottom or mouth area of the pit. Compared with the semi-ellipsoid model, the former is more accurate and sensitive on the description of the stress distribution around the bottom shoulder and mouth of a pit.

Multi-UAV round up strategy based on unity of group will
LIU Feng, WEI Ruixuan, ZHOU Kai, DING Chao
2022, 48(11): 2241-2249. doi: 10.13700/j.bh.1001-5965.2021.0109
Abstract:

To solve the problem of unmanned aerial vehicle (UAV) coordinated rounding up, a strategy was proposed based on the unity of group will. Inspired by the cognitive mechanism of human beings in collaborative tasks, this paper introduces "group will" to define the collaborative cognition of UAVs, builds a double-loop cognitive model, and integrates the cognition of the local situation acquired by the rounded up UAVs with the help of the graph convolutional network, so as to effectively reduce the computing load of UAVs. On the basis of the variational inference principle and generative autoencoder, the group will convergence learning is carried out on the UAV, and the coordinated rounding up is realized on the basis of the Apollonius circle so that the UAV cluster emerges a more intelligent rounding up effect. The simulation results show the effectiveness and intelligence of the designed rounding up strategy.

Non-line-of-sight signal detection based on unsupervised learning and particle filtering
HOU Ningning, LI Deng'ao, ZHAO Jumin
2022, 48(11): 2250-2258. doi: 10.13700/j.bh.1001-5965.2021.0077
Abstract:

Global navigation satellite system (GNSS) is the most widely used positioning technology at present. Due to high-rise structures blocking the signal, the performance deterioration caused on by non-line-of-sight propagation still remains while studying the positioning problem in urban canyons. In order to solve this problem, the unsupervised learning-partinle filter (UL-PF) algorithm is proposed. In the satellite signal classification stage, the unsupervised learning classification method using kernel k-means clustering is used. In the positioning stage, the particle filter method optimized by clustering algorithm is used. The method first considers the inherent similarity of the sampled particles in the state space distribution. Secondly, it explores how to select one particle as the key particle in each cluster and increase the diversity of resampled particle sets by using time series correlation techniques. Experiments show that the average positioning accuracy of the proposed algorithm in urban is improved from 15 m to about 5 m, and the convergence time is reduced from 500 s to about 200 s.

Numerical simulation of icing on aircraft rotating surfaces
GUO Qi, SHEN Xiaobin, LIN Guiping, ZHANG Shijuan
2022, 48(11): 2259-2269. doi: 10.13700/j.bh.1001-5965.2021.0081
Abstract:

Based on Shallow-Water icing thermodynamic theory, an unsteady icing model is developed to simulate icing on three-dimensional rotating surfaces. Jacobi and Gauss-Seidel iterative algorithms are adopted to numerically solve the governing equations of unsteady processes of surface icing. This method is used to calculate the simplified rotating blade model, and the results are compared with those of FENSAP, verifying the accuracy of the model. Then the effect of the rotation speed, droplet diameter and liquid water content on the rotating surface water film flow and icing shape is investigated. Results show that as the rotation speed increases, the deviation of the icing range and the water film coverage becomes more obvious. With the increase of the droplet diameter, the icing range and the water film coverage and thickness gradually increase. The icing and water film thicknesses increase as a result of the increase of the liquid water content, and the water film coverage also increases significantly.

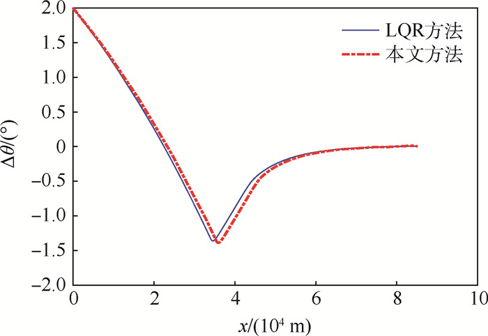
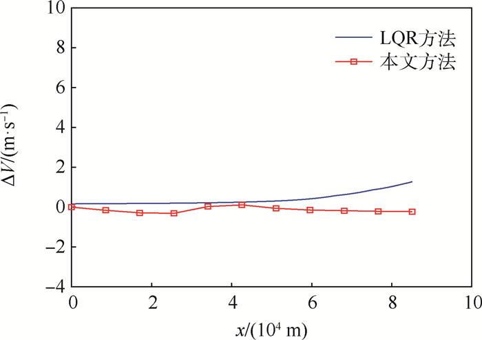
Rocket return trajectory tracking guidance based on convex optimization and LQR
WU Jie, ZHANG Cheng, LI Miao, XIONG Fenfen
2022, 48(11): 2270-2280. doi: 10.13700/j.bh.1001-5965.2021.0084
Abstract:

For the powered descent phase of the reusable launch vehicle, various strict process constraints, terminal constraints and requirements on fuel saving exist, which bring great challenges to the guidance. This paper proposes a trajectory tracking guidance method based on convex optimization and linear quadratic regulator (LQR). The improved receding horizon convex optimization method is used to track the reference velocity of the rocket without requiring accurate thrust control input, which greatly simplifies the optimization model, and thus saves the computational cost of solving the optimal control problem. Meanwhile, the fuel is reduced as far as possible under various initial errors and model errors. On the other hand, the LQR technique is used to track the position of the rocket with high precision. The simulation results show that compared with the traditional LQR tracking guidance method, the proposed method can obtain comparable tracking accuracy, while greatly reducing fuel consumption. And compared to the existing receding horizon convex optimization, the proposed method can evidently reduce the computational cost and improve reliability.

A parameter calibration method for manipulators based on laser displacement measurement
SHAO Xin, JI Li, ZOU Huaiwu, XIE Yangmin
2022, 48(11): 2281-2288. doi: 10.13700/j.bh.1001-5965.2021.0093
Abstract:

The traditional method of robot parameter target usually requires an expensive equipment, and the technical realization cost is high, a novel low-cost calibration method for manipulators is proposed, which utilizes a laser displacement sensor installed on the end of the manipulator to measure the relative position of the manipulator end with respect to an external cubic reference. A kinematic parameter calibration is designed for a 6 degree of freedom manipulator. Based on single-dimensional measurements, the error function is constructed with combined consideration of plane flatness and plane angles, and further minimized with a nonlinear optimization method to obtain the final calibration results. The proposed method is testified on an experimental system and compared with the calibration by a laser tracker. Results show that this method has similar calibration accuracy to the methods using expensive external measurement devices and provides a handy and cheap solution to manipulator calibration.

Obstacle avoidance method of mobile robot based on obstacle cost potential field
CHI Shengkai, XIE Yongfang, CHEN Xiaofang, PENG Fan
2022, 48(11): 2289-2303. doi: 10.13700/j.bh.1001-5965.2021.0095
Abstract:

A mobile robot operates in a dynamic environment, so it must react quickly, maintain a clear path, and keep a safe distance from obstacles. To solve this problem, this paper proposes a dynamic obstacle avoidance method for mobile robots based on the obstacle cost potential field. By establishing a static grid map and the obstacle cost potential field, the equipotential lines in the dynamic scene and the tangents passing through the start to end points are obtained. Then the initial candidate path is obtained by the minimum spanning tree. The candidate path anchor points for the length of the path, the distance from the obstacle and the smoothness are optimized. He candidate path anchor points are then optimized for the path's length, distance from the obstruction, and smoothness. By introducing the influence of obstacle speed on the cost potential field, the robot can respond to the moving obstacle in time. In order to verify the effectiveness of the algorithm, the static scene and the dynamic scene are simulated separately in a grid scene with a resolution of 1 200×1 000 m. The results show that the algorithm in this paper can ensure that the path has a high degree of smoothness and maintain safety between obstacles. Moreover, it makes the path as short as possible under the condition of distance. At the same time, it can still maintain the smoothness of the path and the safety of obstacle avoidance in the dynamic obstacle scene, which can meet the requirements of mobile robot path planning in the dynamic scene.

Application of data cube association mining in infrared anti-jamming
WU Xin, WU Youli, NIU Deqing, CAI Yuxuan, XU Yang, CHEN Bian
2022, 48(11): 2304-2313. doi: 10.13700/j.bh.1001-5965.2021.0096
Abstract:

This study aims at analyzing the coupling relationship between disturbance variables and miss distance of air-to-air missiles in infrared anti-jamming. Massive data are obtained by setting disturbance variables through an experimental simulation platform. The data cube is then constructed to preprocess the massive data and compute the support count of each transaction. The processed data are used to mine the association rules between disturbance variables and miss distance by FP-Growth algorithm. Analysis of the association rules show that the entry angle of the missile and the distance between the missile and the target are the main factors for miss distance. The disturbance variables cannot be combined freely, but should be selected according to the attack direction of the missile and the target maneuver mode. Otherwise, the jamming effect will be greatly reduced. A group of comparative experiments is also set up to verify the high efficiency of FP-Growth algorithm based on the data cube in processing the miss distance data with a high dimension.

2-D compressed sensing SAR imaging based on mixed sparse representation
XIONG Shichao, NI Jiacheng, ZHANG Qun, LUO Ying, WANG Yansong
2022, 48(11): 2314-2324. doi: 10.13700/j.bh.1001-5965.2021.0101
Abstract:

Compressed sensing (CS) theory has been applied in synthetic aperture radar (SAR) in the recent years. A 2-D CS SAR imaging method is proposed using mixed sparse representation (MSR) based on approximate observation model in non-sparse scene compressed sensing SAR imaging. Firstly, non-sparse scene with complicated ground features is decomposed into point-like, edges and smooth components. Then, edges and smooth components are transformed into sparse domain by discrete cosine transform and curvelet transform respectively. And based on approximate observation model, SAR images are derived from 2-D CS optimization problem. Owing to the sparse representation method of non-sparse scene, the proposed method can realize high quality SAR imaging for non-sparse scene. Compared to the existing method, the proposed method has better reconstruction quality for region containing distinct edges and lines, such as city and river. Both the simulation scene and real scene experiments demonstrate the effectiveness of the proposed method.

Operation risk of civil aircraft based on SOM and association rules
XIONG Minglan, WANG Huawei, NI Xiaomei, LIN Ruiguan
2022, 48(11): 2325-2334. doi: 10.13700/j.bh.1001-5965.2021.0102
Abstract:

To fully understand the risks of civil aircraft and learning from accidents, the major civil aircraft accidents (MCAA) are used as the research object to dig out its deep-level causal characteristics. Due to the poor readability information and nonlinear system behavior of MCAA, it is difficult to directly obtain the operational risk information or establish association with mapping relationship of accident factors, a method of learning the operational risk characteristics of civil aircraft from major accidents is proposed. According to the operation characteristics of civil aircraft, and drawing on MCAA information and cognitive reliability, and error analysis method (CREAM), the MCAA-CREAM model is designed. Furthermore, the civil aircraft multi-attribute technology major accident dataset was constructed. To complete the cluster analysis and abstract feature mapping, we take the dataset as a sample, input it into the self-organizing maps (SOM) model, and enhance the readability of risk factors in the form of a 2D map. The strong association between risk factors can be mined by association rules.

Low-altitude UAV detection method based on optimized CenterNet
ZHANG Ruixin, LI Ning, ZHANG Xiaxia, ZHOU Huiyu
2022, 48(11): 2335-2344. doi: 10.13700/j.bh.1001-5965.2021.0108
Abstract:

To achieve effective detection of "low, slow and small" unmanned aerial vehicle(UAV)and improve detection accuracy and positioning quality, we propose a low-altitude UAV detection method based on joint attention and CenterNet. Aiming at the problem of high miss-detection rate of small targets in general target detection algorithms, a decoupled non-local operator is introduced to capture the relevance of target regions in optical images. Utilizing the similarity between individuals of the UAV group, the discrete UAV features are correlated to each other to reduce the missed detection rate. Moreover, to obtain more accurate detection boxes, we optimized the label coding strategy and bounding box regression method of CenterNet, and the positioning quality loss is introduced to improve the positioning quality of the detection boxes. Experimental results show that the optimized S-CenterNet algorithm has an average accuracy increase of 8.9% compared with the original CenterNet, and the detection boxer positioning quality has been significantly improved.