2021 Vol. 47, No. 2

Display Method:
Volume 47 Issue22021
iconDownload (22763) 1191 iconPreview
Ground- and ship-based guidance approaches for autonomous landing of UAV
SHEN Lincheng, KONG Weiwei, NIU Yifeng
2021, 47(2): 187-196. doi: 10.13700/j.bh.1001-5965.2020.0280
Abstract:

In recent years, with the rapid development of autonomous control technology and mission loads, more and more Unmanned Aerial Vehicles (UAVs) have mission autonomy capability. During the execution of the mission, the safety risk of the landing phase is the greatest, and poor navigation and positioning accuracy, personnel decision errors and other reasons are the main causes of accidents during the landing process. By summarizing the demand for guidance control in the process of UAV autonomous landing, the autonomous landing solutions for the military and civilian application are introduced, the key technologies and research status of UAV autonomous landing are analyzed, and the main directions of future development in this field are proposed.

A reentry steady glide guidance algorithm based on fuzzy control
ZHOU Rui, ZHANG Yuhang, XIONG Wei, SHI Zhiguang
2021, 47(2): 197-206. doi: 10.13700/j.bh.1001-5965.2020.0264
Abstract:

Considering the periodic oscillation in reentry glide of Lifting Hypersonic Vehicle (LHV), a feedback correction method based on fuzzy logic and fuzzy control is proposed to reduce the oscillation and keep reentry glide trajectory smooth. First, the longitudinal guidance is developed based on the prediction of the landing error and the correction of the guidance command, and a fuzzy controller whose input consists of altitude ratio and airspeed is applied to outer loop of the bank angle control system. Then, the lateral guidance is designed by the course angle error corridor and bank reversal logic, which realizes the lateral controls in large transverse range conditions. This method is independent of Quasi-Equilibrium Glide Condition (QEGC) and the problem of parameters design in parametric feedback law is avoided, which enhances the adaptive ability. Based on LHV model, the numerical simulations show that periodic oscillation is effectively reduced by the fuzzy feedback control law within terminal and reentry corridor constraints. Meanwhile, the Monte Carlo simulation with random dispersions and errors verifies the robustness of the proposed algorithm.

Three-dimensional vibration measurement method for lightweight beam based on machine vision
PENG Cong, MIAO Weidong, ZENG Cong
2021, 47(2): 207-212. doi: 10.13700/j.bh.1001-5965.2020.0211
Abstract:

Vibration measurement is one of the methods of state detection and fault diagnosis. In view of the loading effect in the current contact vibration measurement method and other problems, this paper studies the three-dimensional vibration measurement method based on machine vision. First, based on the two-dimensional vibration measurement method of video phase, the two-dimensional vibration data of the measured object in the image collected by the camera is extracted. Then, on the basis of two-dimensional vibration measurement method, combined with binocular stereo vision, a three-dimensional vibration measurement method based on machine vision is designed. Finally, the vibration measurement experiment of cantilever beam is performed. The experimental results show that the proposed method can realize non-contact and label free vibration measurement, and can accurately measure the three-dimensional vibration information.

Design of underwater-launched controller for small rotor UAV
WU Jiang, CHEN Enmin, GAO Yijie, LIU Yipeng, GAO Xin, XIA Jie
2021, 47(2): 213-222. doi: 10.13700/j.bh.1001-5965.2020.0281
Abstract:

The attitude stability of the underwater-launched small rotor UAV directly affects the result of the entire submarine launch task. Aimed at the problems that the rotor UAV's attitude is difficult to adjust quickly during the launching period, and the initial launch attitude is easily interfered by ocean waves, a novel control scheme for the UAV underwater-launched system is proposed. Meanwhile, this paper specifically uses a booster rocket with a vector control engine to adjust the attitude of the UAV in the launch period, and optimize the UAV launch time by the ocean waves' attitude prediction model. Aimed at the problem of the unstable attitude of the rotor UAV when the rotor unfolds after the launch, the attitude control law based on the L1 adaptive method is designed for stability augmentation. Simulation results show that the vector control engine of the booster rocket can quickly adjust the pitch attitude of the UAV within 2 s. The designed L1 adaptive attitude control law can complete the stable control of the pitch attitude within 2 s when the rotor unfolds, and has robustness to the uncertain changes of aerodynamic parameters in the submarine launch.

Path planning method for spacecraft formation reconfiguration based on CGAPIO
HUA Bing, SUN Shenggang, WU Yunhua, CHEN Zhiming
2021, 47(2): 223-230. doi: 10.13700/j.bh.1001-5965.2020.0277
Abstract:

Aimed at the path planning problem of spacecraft formation reconfiguration, an Adaptive Pigeon-Inspired Optimization algorithm based on Chaos initialization and Gaussian disturbance (CGAPIO)is proposed.In order to make the initial value of the pigeons more diverse and uniform, the Tent Map chaotic model is used to initialize the pigeons. In the map and compass operator, in order to improve the global search ability, adaptive weight factors and learning factors are introduced to update the individual's position and speed; in the landmark operator, in order to avoid the algorithm falling into the local optimum, the Gaussian disturbance is added to the center of the pigeon population.Simulation experiment results show that the CGAPIO significantly improves the global search ability and avoids the local optimum. The planned path is smoother and has lower collision probability of each spacecraft. The total fuel consumed by the formation reconfiguration is significantly reduced by 12% at least compared with the basic pigeon-inspired optimization algorithm and particle swarm optimization algorithm.

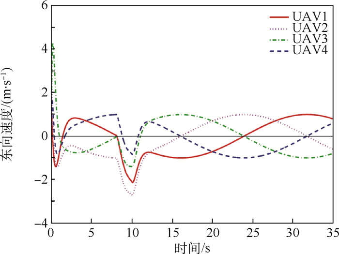
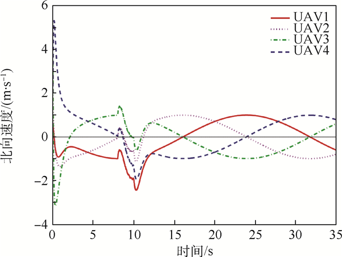
Maneuver trajectory optimization method of multicopter under space-time constraints
CAI Zhihao, ZUO Yiming, WANG Yingxun
2021, 47(2): 231-239. doi: 10.13700/j.bh.1001-5965.2020.0272
Abstract:

Multicopter are often used in complex and variable scenarios such as post-earthquake search and rescue, geological exploration, etc. Considering their endurance and environmental characteristics, optimizing the flight trajectory of multicopter to complete tasks better and faster has become a key issue. To this end, a multicopter's traversing indoor diagonal slit mission is set up, and a trajectory optimization method under multi-constraint based on the parabolic principle and the Pontryagin's minimum principle is proposed. By imitating the process of throwing things through a narrow window and from the perspective of analyzing the oblique slit of the task object, a parabolic trajectory is designed to guide the aircraft to cross the oblique slit with inertia. For the initial state required to throw the aircraft, Pontryagin's minimum principle is usedto realize the state transition trajectory. A 3D model was built in MATLAB to verify the crossing effect. The experiment shows that the multicopter can pass through the inclined seam with a vertical tilt of 63° or a horizontal tilt of 32°.

Performance reliability of multi-state navigation system based on T-S fuzzy fault tree
LIU Yong, LUO Delin, SHI Cui, WU Huaxin
2021, 47(2): 240-246. doi: 10.13700/j.bh.1001-5965.2020.0276
Abstract:

The T-S fuzzy fault tree model is applied to the performance analysis of the multi-state navigation system, considering that complex multi-state system has different performance reliability in different fault states. The T-S fuzzy fault tree is used to represent the performance variables of the system and mapped to the performance index of the multi-state system. Combined with the expectation idea of statistics, the performance reliability of the system is calculated when the system is at different levels of failure event. The navigation system, combined with the typical Global Positioning System (GPS) and the Inertial Navigation System(INS), is used to analyze and build the tree to solve the problem of the system in the multi-fault state. The performance reliability index of the system is analyzed by making an example analysis. The results show that no matter whether the bottom event is in a minor or severe failure state, it will affect the system performance. The intermediate event is a weak link in the navigation system. Even a slight failure in the middle layer will cause a significant decrease in system performance reliability.

High-g maneuver dynamic surface control of fighter plane under input saturation
ZHOU Zhangyong, SHAO Shuyi, HU Wei
2021, 47(2): 247-254. doi: 10.13700/j.bh.1001-5965.2020.0209
Abstract:

An adaptive neural network dynamic surface control method is proposed to resolve the input saturation problem of aircraft high- g maneuver flight. The Radial Basis Function (RBF) neural networks are utilized to approximate the unknown uncertain parts of aircraft model. The hyperbolic tangent function is used to handle the system input saturation problem. A new error is defined by the difference between saturated actual control input and desired control input, and a high- g maneuver flight control law is designed by combining this error, and the robust term is constructed to offset the influence of approximation error of neural network, external interference and modeling errors. The dynamic surface control technique is used to avoid the complex derivative operation of the virtual controller and reduce computation amount. It is proved from Lyapunov stability theorem that all the signals in the closed-loop control system are bounded, and the attitude angle tracking error can converge to an arbitrarily small neighborhood around zero by choosing the appropriate design parameters. Simulation results demonstrate the good robustness and stability of the proposed method.

Guidance law design based on stochastic maneuvering model and impact point predictions
YANG Shu
2021, 47(2): 255-261. doi: 10.13700/j.bh.1001-5965.2020.0202
Abstract:

A novel guidance law design method based on impact point predictions is proposed in this paper. A stochastic maneuvering model and the adaptive Kalman filter are used to estimate the projectile states, and predicted impact points are solved analytically. Guidance commands are generated based on errors between predicted impact points and the target. The proposed guidance law is free from projectile aerodynamics data and real-time numerical solutions to projectile equations of motion, which are commonly required by the existing impact point based guidance laws, and thus the on-line computation cost is avoided. Numerical simulations based on the nonlinear model of a spinning artillery rocket are conducted to examine the performance of the proposed guidance law under nominal and perturbed parameter conditions. Performance comparison between the proposed guidance law and the proportional navigation guidance law is also conducted. The results show that the proposed guidance law has better guidance performance than the proportional navigation guidance law in most scenarios.

Control strategy and simulation for probe-and-drogue aerial autonomous refueling
HUA Yixin, ZOU Quan, TIAN Haiming
2021, 47(2): 262-270. doi: 10.13700/j.bh.1001-5965.2020.0213
Abstract:

The probe-and-drogue Aerial Autonomous Refueling (AAR) technology has been widely studied because it requires little modification of refueling equipment and can be applied to a variety of refueling processes. However, there are few researches on the whole flight control process from take-off to disengagement. In this paper, the corresponding flight command loop control law and guidance law are designed respectively to study the control strategy of rendezvous, formation, docking, refueling and disengagement stages during the probe-and-drogue AAR. Based on the study of domestic and foreign experience and flight procedure of aerial refueling test, the control mechanism of each stage of AAR under two different modes of "manned-unmanned" and "unmanned-unmanned" is established, and the difference between two control strategies is analyzed. Taking K8 aircraft and one aircraft as the tanker and receiver, a complete multi-mode control strategy is established. The traditional PID control method is adopted in the command loop, and the feedback gain and forward gain of each mode are obtained by pole assignment method, so that the aircraft can reach the desired speed and angle under the multi-mode integrated control system. Meanwhile, the whole process control laws for each stage of aerial refueling are designed based on the test flight experience data. Finally, the simulations of the designed control law show that the designed control strategy is reasonable and feasible, and the control method has strong anti-interference ability and high tracking accuracy.

Time-varying formation H control for air unmanned swarm system
KANG Yuhang, DAI Hongde, QI Yahui, ZHANG Bangchu, LIU Xuanbing, CHENG Jun
2021, 47(2): 271-280. doi: 10.13700/j.bh.1001-5965.2020.0200
Abstract:

This paper studies the time-varying formation H control problem for Air Unmanned Swarm System (AUSS) under directed communication topology, corrupted by communication delay and external disturbances. First, based on the expected formation configuration information of swarm system, the real-time state information of Unmanned Aerial Vehicle (UAV) and the state error information with communication delay between UAVs which are able to communicate, the formation control approach of unmanned swarm system is proposed. Through variable substitution, the swarm system formation control problem is converted into the asymptotic stability problem of lower-dimensional closed-loop system, and the sufficient conditions for the stability of the system and the calculation formula of the maximum allowable communication delay are given in the form of Linear Matrix Inequalities (LMIs). Then, it is proved that the unmanned swarm system can accomplish time-varying formation by constructing Lyapunov-Krasovskii (L-K) functional. Finally, through numerical simulation, the accuracy and effectiveness of the proposed method are verified.

ADRC-based roll-yaw coupling control of underactuated moving mass flight vehicles
LIU Zhitao, LI Jianqing, GAO Changsheng
2021, 47(2): 281-288. doi: 10.13700/j.bh.1001-5965.2020.0206
Abstract:

Considering the underactuated problem of flight vehicles with single moving mass roll control system, this paper proposes a controller based on the idea of active disturbance rejection, which achieves the command roll angle tracking and sideslip angle stabilization control only with the laterally configured single moving mass. The system attitude dynamics is modeled based on the momentum theorem of particle system, analysis shows that the roll and yaw channels share the same control input and are coupled by moving mass inertial and movement terms, and the lateral offset of the moving mass will impact the yaw channel. Therefore, an Active Disturbance Rejection Controller (ADRC) is designed to deal with the roll-yaw coupling control problem, where the modeling error, moving mass coupling and uncertainties are regarded as total disturbances, and extended state observation and dynamic compensation of total disturbances for both the roll angle control and sideslip angle stabilization subsystems are conducted, the controller with simple structure is easy to implement and it is capable of resisting both internal and external disturbances. Finally, the effectiveness and robustness of the proposed controller are verified by numerical simulations with perturbations.

Trajectory control method for unmanned carrier aircraft taxiing
LIANG Tianjiao, CHEN Xiaoming, YANG Zhaoxu, WANG Haifeng, LIANG Qing
2021, 47(2): 289-296. doi: 10.13700/j.bh.1001-5965.2020.0294
Abstract:

Unmanned aircraft is an important weapon of carrier-aircraft system. Autonomous taxiing of aircraft is significant for the efficiency of deck operation. The trajectory control problem of unmanned aircraft taxiing on deck of an aircraft carrier is studied in this paper. First, the task of aircraft taxiing on the deck is described. On this basis, the mathematical model for taxiing trajectory control problem is established. In this model, the ground motion of aircraft is contained, the constraints of aircraft taxiing are considered, and the performance index is designed to evaluate the trajectory control task. Considering deck environment and trajectory control task requirement, a model predictive control based method is proposed to obtain the feasible taxiing path of aircraft. Trajectory control is integrated into online taxiing path planning, and rolling optimization method is adopted to calculate the practical taxiing trajectory and obtain the control command signal. Taking the Nimitz-class aircraft carrier as an example, the taxiing trajectories of multiple unmanned aircraft at different parking positions are calculated. Simulation results demonstrate the rationality of the established model and the validity of the proposed method.

Weapon-target assignment in UAV cluster based on pheromone heuristic wolf pack algorithm
LIU Senqi, WANG Hong, YU Ningyu, HAO Likai
2021, 47(2): 297-305. doi: 10.13700/j.bh.1001-5965.2020.0208
Abstract:

Unmanned Aerial Vehicle (UAV) cluster operation is an important mode of intelligent warfare in the future. In order to give full play of the overall operational advantages of UAV cluster, a mathematical model is constructed to solve the Weapon-Target Assignment (WTA) problem in UAV cluster attacks and obtain the optimal scheme. The constraints of mission completion, effective killing and attack consumption are established in the model, which can meet the requirements of the mission, and also save the consumption of UAV combat units to maintain the power of UAV cluster. The improved Wolf Pack Algorithm (WPA) with scouting and summoning operators is used to solve the model. To obtain the higher global optimization efficiency and avoid trapping in local optimum, the weapon-target assignment in UAV cluster attack based on Pheromone Heuristic Wolf Pack Algorithm (PHWPA) is proposed to improve WPA's scouting behavior and renewable mechanism by using pheromone heuristic rules from Ant Colony Optimization (ACO). The simulation results show that the proposed method is effective. Compared with several algorithms, PHWPA has more efficient search ability. The proposed method can provide support for firepower planning of UAV cluster.

Unmanned vehicle positioning and mapping method based on multi-constraint factor graph optimization
NIU Guochen, WANG Yu
2021, 47(2): 306-314. doi: 10.13700/j.bh.1001-5965.2020.0212
Abstract:

Aimed at the problem that the current low-speed positioning system of unmanned vehicle extremely relies on the Global Navigation Satellite System (GNSS), which has low positioning accuracy, large drift error and serious environmental impact, a low-cost and high-precision positioning and mapping method is proposed. This method is based on the three-dimensional laser Simultaneous Localization and Mapping(SLAM) technology. First, the point cloud Principal Component Analysis (PCA) is used to implement laser odometry based on feature matching. Then, the GNSS location information, ground plane and clustering feature of point cloud obtained by point cloud segmentation and clustering are added to the graph optimization framework as pose constraints, and the cumulative error of the laser odometry is eliminated. Finally, an optimal pose and large-scale scenes point cloud map is obtained to achieve the unmanned vehicles' position navigation. The proposed SLAM algorithm is evaluated using the KITTI dataset containing large outdoor urban street environments. The results show that the positioning deviation of this system can be controlled below 1.5 m at a movement distance of 3 km, and both in terms of local accuracy and global consistency, it is superior to other odometry systems and provides new ideas for the positioning of unmanned vehicles.

Distributed optimal rendezvous of multi-UAV systems in prescribed time based on time-domain mapping
DING Chao, WEI Ruixuan, ZHOU Kai
2021, 47(2): 315-322. doi: 10.13700/j.bh.1001-5965.2020.0215
Abstract:

To solve the prescribed-time optimal rendezvous problem for multi-UAV systems, a distributed optimization framework is established based on time-domain transformation technique. By introducing a specific time-domain transformation, the prescribed-time decision problem in original time-domain is transformed into an asymptotically stable problem in the infinite domain, which simplifies the analysis and design process. Then, we design a prescribed-time gradient descent algorithm whose convergence time is independent of the initial states as well as other parameters and therefore can be pre-specified. Besides, the application of time-varying gain removes the parameter selection process, which enables the proposed method in the context of a serious lack of global information. The simulation results show that this method is able to achieve the distributed optimal rendezvous for multiple UAVs in prescribed time, and the closed-loop system remains globally bounded in mission time.

Distributed event-triggered group attitude coordinated control of multi-spacecraft
WANG Shuailei, ZHOU Shaolei, DAI Feiyang, LIU Wei, YAN Shi
2021, 47(2): 323-332. doi: 10.13700/j.bh.1001-5965.2020.0266
Abstract:

Group attitude coordinated control of multi-spacecraft on the basis of distributed event-triggered mechanism is investigated. The multi-spacecraft system contains several subgroups, and the information exchange among spacecraft is regarded as undirected topology. The attitude of spacecraft is described by Modified Rodrigues Parameters (MRP), an auxiliary variable with attitude and angular velocity is constructed, and distributed control input is designed. Under distributed event-triggered mechanism, triggering function is designed for every spacecraft. It is proved with algebraic graph theory and Lyapunov stability theory that multi-spacecraft can reach group attitude coordination asymptotically, and it is also proved that Zeno behavior will not occur in the system. The effectiveness of the control input proposed under distributed event-triggered mechanism is verified by simulation results.

Satellite time series data classification method based on trend symbolic aggregation approximation
RUAN Hui, LIU Lei, HU Xiaoguang
2021, 47(2): 333-341. doi: 10.13700/j.bh.1001-5965.2020.0332
Abstract:

As the main symbolic representation method widely used in time series data mining, the Symbolic Aggregation Approximation (SAX) uses the mean value of segments as the symbolic representation. Since it is impossible to distinguish different time series that have different trends but the same mean value, it may lead to incorrect classification. This paper presents an improved symbol representation-Trend Symbol Aggregation Approximation (TrSAX), which integrates SAX and least squares method to describe the mean and slope value of the time series, and constructs the BOTS classifier. In addition, this paper analyzes the angle sequence, rotation speed sequence, and current sequence in the satellite analog telemetry time series data, and selects three datasets similar to these three sequences from the UCR public dataset for classification experiment verification. They are compared with the 1-NN classification methods using SAX, two improved SAX, classic Euclidean Distance (ED) and Dynamic Time Warping (DTW). The results show that the classification error rate of the proposed BOTS classification method is significantly lower than the other five classification methods.

Visualization and noise reduction algorithm based on event camera
YAN Changda, WANG Xia, ZUO Yifan, LI Leilei, CHEN Jiabin
2021, 47(2): 342-350. doi: 10.13700/j.bh.1001-5965.2020.0192
Abstract:

To overcome the problem that the asynchronous event stream generated by the event camera is hard to observe, utilize and there is a lot of noise, we introduce an improved visualization and noise reduction algorithm for the event camera. Because the event stream reacts to the object movement, the proposed algorithm gets valid events by filtering the noise with the time and space continuity of moving edge. To easily observe and apply, events are accumulated with a double limitation of the events number and the time threshold. In the real dataset experiment, the noise reduction algorithm can effectively deal with the background activity noise and save the detail edge information when the movement begins or moves slowly, increasing the number of corner detections. The visualization algorithm reduces the variance of events number while ensuring the frame rate, and improves the information uniformity of the "event frame". The experimental results show the effectiveness of the proposed method in terms of noise reduction and visualization.

A smooth Sun-pointing guidance method for satellites constrained by deviation of Earth-pointing
JI Haoran, HUANG Di
2021, 47(2): 351-358. doi: 10.13700/j.bh.1001-5965.2020.0293
Abstract:

Under traditional Sun-pointing guidance method constrained by the deviation of Earth-pointing, the expected attitude of the satellite would rapidly flip when the angle between the satellite-Sun line and the satellite-Earth line reaches the extreme value, leading to the large peak power consumption and lifetime damage. Aimed at this problem, this paper provides a novel Sun-pointing method constrained by the deviation of Earth-pointing, which can make the expected attitude change smoothly. By this method, the expected attitude of the satellite is set to rotate periodically around a reference attitude. The deviation of Earth-pointing is kept less than the constraint angle with the attitude moving smoothly, while the effectiveness of Sun-pointing is not evidently reduced. Numerical simulation results show that the proposed method can greatly reduce the peak angular velocity of the satellite, and can meet the requirements of both Sun-pointing and Earth-pointing.

Real-time obstacle avoidance algorithm based on pigeon-inspired optimization
LI Shuanglin, HE Jiahao, AO Haiyue, LIU Yanbin
2021, 47(2): 359-365. doi: 10.13700/j.bh.1001-5965.2020.0198
Abstract:

In order to ensure that the mobile robot can reach the target position without collisions, this paper proposes a real-time obstacle avoidance algorithm that integrates the pigeon-inspired optimization into the Circle Sector Expansion plus (CSE+) method. This algorithm includes a judgment mechanism to evaluate the distribution of obstacles. When the obstacles are densely distributed, the safest path will be selected. Otherwise, the pigeon-inspired optimization will be used to find an optimal position as the next target position in the safe range. In addition, a search tree is used to detect and avoid the dead-end situation. The simulation results show that this algorithm can improve the efficiency of path planning, the effect is more obvious when the obstacles are sparsely distributed, the dead-end situation can be detected, and the robot can pass through the narrow and long corridors.

Survivability of underwater communication system based on node connectivity
WANG Yida, LIANG Qingwei, ZHANG Xin
2021, 47(2): 366-372. doi: 10.13700/j.bh.1001-5965.2020.0210
Abstract:

In the underwater communication system, it is one-sided to describe the importance of each node in the underwater communication system only by considering the strength of the node. In order to better evaluate the importance of the node in the underwater communication system, this paper proposes the node connectivity.This indicator describes the underwater communication system, explains the definition and method of node connectivity, and calculates and derives the importance and failure mode of the underwater communication system node, and obtains the information of the underwater communication system node. The probability calculation method, by simulating an underwater communication model, verifies that the node connectivity index can describe the survivability of the underwater communication system.The underwater communication system is composed of nodes and links. Identify those nodes that play a vital role in the communication information transmission process of the underwater communication system, and accurately assess the importance of the nodes in the underwater communication system. Improving the survivability of the entire communication system has great theoretical guidance and practical application significance. In the underwater communication system, it is one-sided to describe the importance of each node in the underwater communication system by only considering the strength of the node. In order to better evaluate the importance of the node in the underwater communication system, this paper proposes the node connectivity. This index describes the underwater communication system, and by simulating an underwater communication model, it is verified that the node connectivity index can describe the survivability of the underwater communication system.

Maneuvering flight control of QUAV based on bi-directional motor actuation
XU Lihao, ZHANG Yu, XU Bin
2021, 47(2): 373-381. doi: 10.13700/j.bh.1001-5965.2020.0221
Abstract:

The position and attitude control of Quadrotor Unmanned Aerial Vehicle (QUAV) determines its maneuverability. First, to overcome the mobility defect of the under-actuated system, the dynamic model of bi-directional-motor-driven QUAV based on quaternion is presented, including the analysis on omnidirectional movement process. The attitude and position controllers and QUAV's control allocation matrix are illustrated. Then, considering the vertical x-z plane model custom-built for the new QUAV, the optimal planning tool is used to propose the maneuvering flight trajectory generation method suitable for QUAV by setting reasonable parameters and restrictions. The trajectories are produced but not limited within flip, vertical roll and point-to-point. The thrust and torque outputs are optimal to achieve rapidity under the conditions above. Finally, a QUAV simulation environment with circuit, electronic speed controllers, motors, blades and frames is established. By evaluating the results of simulation, this paper demonstrates that compared with unidirectional-rotor-driven QUAV, the bi-directional-motor-driven one effectively improves the accuracy of attitude and position tracking and promotes maneuverability.

Event-triggered attitude control of liquid-filled spacecraft
DONG Xinlei, QI Ruiyun, LU Shan, WANG Huanjie
2021, 47(2): 382-390. doi: 10.13700/j.bh.1001-5965.2020.0282
Abstract:

Aimed at the attitude system of liquid-filled spacecraft with large-amplitude liquid sloshing and limited communication resources, a control strategy combining adaptive sliding mode control and event-triggering mechanism is proposed. First, sliding mode variable structure control is used to weaken the nonlinear effect of large-amplitude liquid sloshing for a liquid-solid coupled spacecraft attitude system, and an adaptive updating law is designed to estimate the uncertain parameters online to improve the robustness of the system. Then, considering the limitation of onboard computer resources, an event-triggering mechanism with relative threshold is designed to determine the update of control input signal, so as to reduce the occupation of communication network caused by signal update between controller and actuator. Finally, the simulation results show that, under large-amplitude liquid sloshing, the control strategy can not only make the spacecraft attitude system converge to an arbitrary small boundary, but also reduce the control signal transmission by 96% and reduce the communication load of spacecraft.

Unmanned aerial vehicle swarm formation control based on paired interaction mechanism in jackdaws
ZHANG Ling, DUAN Haibin, YONG Ting, DENG Yimin, WEI Chen
2021, 47(2): 391-397. doi: 10.13700/j.bh.1001-5965.2020.0265
Abstract:

Inspired by the paired flight mechanism of jackdaws, a paired interactive swarm model is proposed and applied to the Unmanned Aerial Vehicle (UAV) swarm control system. Firstly, by imitating the paired interaction between jackdaw individuals, the neighbor selection mechanism is designed in pairing interaction. Considering inertial acceleration, long-range attraction, close-range repulsion, speed matching and motion damping, the paired and unpaired individual's differential equation of kinematics is established based on the social forces. Then the construction of the paired interaction model is completed. Secondly, based on the UAV control model, a UAV swarm controller in paired interaction mechanism is designed. Finally, two sets of simulation experiments are conducted to study the characteristics of the model proposed when it is used on the UAV swarm. Simulation results show that the paired interaction model can ensure the consistency of the UAV swarm. The communication load of the UAVs can be reduced by less average number of neighbors in UAV interaction. The UAV swarm has higher stimulation accuracy if the paired UAV is taken as the information individual when facing external stimuli.

An analytical predictor-corrector guidance method designed for spacecraft reentry with short range
ZHOU Liang, ZHANG Hongbo
2021, 47(2): 398-405. doi: 10.13700/j.bh.1001-5965.2020.0318
Abstract:

For the manned lunar return spacecraft reentry problem, an analytical predictor-corrector guidance method for short range reentry is proposed. Firstly, the concept of glide reentryis introduced, which has been studied in the trajectory design of high lift-to-drag ratio vehicle.In order to pre-design the reentry trajectory, a trajectory parameter is chosen to describe the analytic trajectory form, and then the analytical formula to predict the range-to-go is derived. The false position method is used to modify the trajectory parameter and finally converts to the command bank angle, eventually satisfying the terminal precision requirements. The proposed analytical method succeeds in achieving spacecraft reentry with a mission range of 2 100km in 400-450 seconds. During the entire reentry phase, the loads are under a level of 6.5 g0, which is beneficial to manned spacecraft emergency return situation. Simulation has proved that this method has relatively high accuracy and robustness.

Trajectory planning of unmanned helicopter formation based on improved artificial fish swarm algorithm
MA Ziyuan, GONG Huajun, WANG Xinhua
2021, 47(2): 406-413. doi: 10.13700/j.bh.1001-5965.2020.0203
Abstract:

To solve formation path planning problem of the Unmanned Helicopter (UH), a path planning algorithm is proposed based on improved Artificial Fish Swarm Algorithm (AFSA). An adaptive vision model of artificial fish for artificial fish swarm algorithm was put forward from two aspects of neighborhood learning and algorithm characteristics. The evolutionary strategy of fish swarm was improved on the basis of asexual reproduction. The trajectory planning model of unmanned helicopter formation was established from three aspects of planning principle, cost function and constraint conditions. The coding method and clustering strategy were improved in order to solve low searching efficiency and poor accuracy problems in route planning. An example of three-aircraft formation path planning was used to verify the proposed method. Simulation results indicate that, through the improvement of AFSA, the establishment of trajectory planning model and other measures, good unmanned helicopter formation path planning can be achieved, and meanwhile the search efficiency, convergence velocity and solution accuracy are improved significantly.

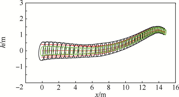
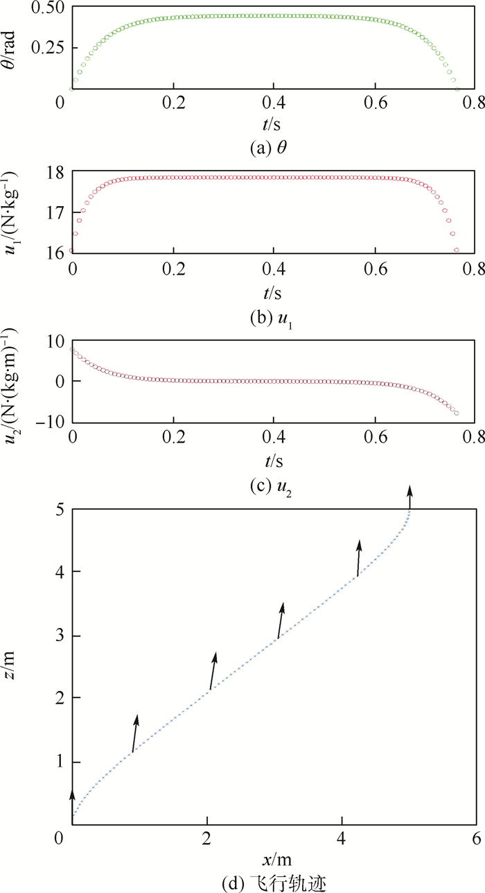
Trajectory tracking control and optimal computation of attraction domain for aircraft in perching maneuvers
WANG Wutian, HE Zhen, YUE Cheng
2021, 47(2): 414-423. doi: 10.13700/j.bh.1001-5965.2020.0207
Abstract:

For the longitudinal movement of fixed-wing aircraft in perching maneuvers, the perching trajectory control design and the optimization method of attraction domains are investigated. First, according to the perching dynamics model and the constraints of states during the perching, the nominal trajectory was generated by using the general pseudo-spectral method. Then, based on this, a piecewise linear trajectory tracking control law was designed. Based on the Sum-of-Squares (SOS) method, the attraction domain of the trajectory control system is calculated to ensure that the UAV in the attraction domain can ultimately perch in the target area. Finally, the iterative computation algorithm of the attraction domain is further improved to expand the scope of the attraction domain. The simulation results verify the effectiveness of the trajectory tracking control law of the perching maneuver, and show that the attraction domain is enlarged by using the proposed computation algorithm of attraction domain.

Swarm rounding up method of UAV based on situation cognition
WU Zichen, HU Bin
2021, 47(2): 424-430. doi: 10.13700/j.bh.1001-5965.2020.0274
Abstract:

UAV swarm rounding up is an important mission mode of intelligent UAV swarm operation. Most of the existing swarm rounding up methods are based on the known environment, and the strategy often fails in the face of unknown mission environment. To solve this problem, a developmental model based on situation cognition is proposed in this paper to explore a better adaptive method of rounding up. First, the swarm rounding up behavior is decomposed and the rounding up is discretized. Then, based on the Deep Q-Network (DQN), a method of generating the rounding up strategy is designed. Finally, the state-strategy knowledge base is established, and through the training of a large amount of effective data, different strategies are obtained according to different environments to develop the knowledge base. The simulation results show that the proposed developmental model based on situation cognition can effectively adapt to different environments and complete the rounding up in different environments.