2020 Vol. 46, No. 4

Display Method:
Volume 46 Issue42020
iconDownload (75877) 920 iconPreview
Real-time performance evaluation technology of airborne network for avionics system
HE Feng, ZHOU Xuan, ZHAO Changxiao, LI Qiao, WANG Peng, XIONG Huagang
2020, 46(4): 651-665. doi: 10.13700/j.bh.1001-5965.2019.0297
Abstract:

Airborne network is the key to realize real-time reliable transmission of information in avionics system. Its development degree and capability determine the overall configuration and comprehensive information efficiency of avionics system. Unlike general computer networks, airborne networks emphasize the real-time ability of airborne network and need strict and efficient methods to analyze and evaluate the real-time performance. Taking the process of message transmission in switched networks as analysis object, the end-to-end delay model is summarized and the comparison indexes of evaluation pessimistic degree and calculation tightness for different real-time evaluation methods are proposed. The typically evaluation solutions for avionics environment such as analytical analysis, behavior simulation and model checking are listed, the differences in calculation tightness and effectiveness of these real-time evaluation methods are compared, and the realization approach is analyzed. Furthermore, these methods are verified and illustrated through two typical networking cases:a simple network and an industrial scale network, and the calculation tightness of different evaluation methods is also compared and analyzed. Finally, the development trend of airborne network real-time performance evaluation technology for avionics system is discussed.

Separation technology of system noise in error motion test
FENG Ming, ZHOU Chengyu, ZHANG Kun, WANG Xinjie
2020, 46(4): 666-673. doi: 10.13700/j.bh.1001-5965.2019.0316
Abstract:

Since the error motion of the high-precision spindles is often in the same order as the noise of the test system, the measuring accuracy of the three-point method is greatly reduced by the noise signals. With the synchronous error motion (SEM), a combined processing algorithm with equal angle sampling and reconstruction, ensemble average filtering and wavelet filtering for noise-containing signal is proposed. A method for quantitatively determining the wavelet decomposition layer based on the diameters of both sensor and measured spindle is proposed. The simulation results show that the new combined method has good denoising effect. With the asynchronous error motion (ASEM), a method for eliminating the noise of the test system is proposed, and the influence of the number of test cycles on ASEM is studied. In addition, a test system was built and the effectiveness of the proposed methods was experimentally verified.

Airline hub network optimization design under uncertain demand
LE Meilong, ZHENG Wenjuan, WU Minggong, WANG Zekun
2020, 46(4): 674-682. doi: 10.13700/j.bh.1001-5965.2019.0319
Abstract:

In order to help airlines plan route network reasonably and reduce operation cost, from the perspective of airlines, airport capacity is regarded as a function of arrival and departure flights to draw airport capacity envelope curve. Based on airport capacity envelope curve, a two-stage mixed integer stochastic programming model with multi-allocation and non-strictness under stochastic demand is established. In the first stage, the hub location of the network is determined, and in the second stage, the transportation routes of each city pair and the flow ratios of different routes under different demand scenarios are determined. When demand scenario is a discrete variable, the model is transformed into a deterministic equivalent programming. Then taking China Eastern Airlines as an example, 13 airports are selected to validate the model, and the sensitivity analysis of transportation cost discount factor is carried out. The results show that the hub airports selected under different discount factors are different, the larger the discount, the more the hub selected, the lower the total network cost, and the hub selected under three discount factor scenarios is in good agreement with the actual situation; in each discount factor case, when the demand is different, the layout of the route network is different; by comparing the model results between certain and uncertain demand, it is concluded that the total cost of the network is lower when the demand is uncertain. Therefore, the proposed stochastic programming model under uncertain demand is closer to reality, which can help airlines plan hub-and-spoke network that is in line with the actual situation, and determine their capacity share in hub airports.

Physics-based numerical simulation of AUV docking by self-propulsion
WU Lihong, WANG Shiwen, FENG Xisheng, LI Yiping, LIU Kaizhou
2020, 46(4): 683-690. doi: 10.13700/j.bh.1001-5965.2019.0305
Abstract:

To predict the effect of dock on hydrodynamic performance of autonomous underwater vehicle (AUV) and to improve AUV underwater docking success rate, a method of multi-block hybrid grids combined with dynamic layer method and user defined function (UDF) was presented, which was applied to the physics-based numerical simulation of AUV underwater docking by self-propulsion with a discretized propeller. In this method, subdomain-moving substitutes for boundary-moving used in traditional dynamic mesh, which could improve the calculation efficiency. After the numerical validation of the velocity history of AUV self-propulsion against the experimental results, the hydrodynamic performance and flow field of AUV underwater docking were investigated. The results demonstrate that the time of AUV underwater docking from rest by a constant rotating propeller of 300 r/min is about 16 s. The end velocity reaches 0.75 m/s, which meets the demand for collision. The effect of the dock on AUV locates on the neck point B. There is a drag on AUV before B, followed by a suction after B. The increment of resistance is small with a value of 2.4%. Therefore, it is achievable for AUV docking with the dock.

Terrain match aided navigation method of hypersonic glide vehicle
XIAN Yong, REN Leliang, YANG Zicheng, ZHANG Daqiao, LI Jie
2020, 46(4): 691-702. doi: 10.13700/j.bh.1001-5965.2019.0310
Abstract:

The height of the hypersonic vehicle gliding flight is over 30 km, so the atmosphere is extremely thin and the traditional terrain match aided navigation with barometric altimeter cannot work properly. In order to improve the accuracy of terrain match, on the basis of analyzing the insensitivity of the matching algorithm to the terrain constant value error, the scheme of using inertial system to solve absolute height is demonstrated in detail, and the scheme that simplifies the short-time gliding trajectory to equal high flight is compared and analyzed. Based on the strap-down inertial navigation system (SINS) error model, the analytic model of the short-time stability of the inertial system is established by the height channel block diagram and Laplace transformation. In addition, the numerical simulation environment is established with CAV-H as study object. The simulation results show that the analytical model has high accuracy and the scheme that the absolute height is solved by SINS can meet the accuracy requirements of terrain match aided navigation system, which is better than the accuracy of the normal operation of the barometric altimeter.

Path planning for mobile robot based on improved genetic algorithm
WEI Tong, LONG Chen
2020, 46(4): 703-711. doi: 10.13700/j.bh.1001-5965.2019.0298
Abstract:

Path planning is the key technology to realize autonomous navigation of mobile robots. For the problem that the path length is not the shortest and the path is not coherent in the two plan cycles with conventional path planning method, a new method for inter-frame correlation smooth path planning based on improved genetic algorithm is proposed. Firstly, the candidate paths were generated by combining random and directional search methods. Then, the insertion operator and deletion operator were added to conventional genetic operators, and the path coherence of two plan cycles was considered in the fitness function to calculate the fitness value of each candidate path. Finally, the path with the highest fitness value was output as the current optimal path. Simulation results show that the proposed method is correct and feasible. Experimental results show that, compared with A* algorithm and conventional genetic algorithm, the path length of mobile robot is reduced by 3.05% and 1.85%, the variation of maximum yaw angle is reduced by 38.02% and 32.43%, and the sum of absolute value of turning angle is reduced by 23.97% and 19.94% respectively during the movement of mobile robot. It shows that the resulting path of this method is more optimal, which observably improves the moving efficiency and stationarity of the mobile robot.

Video formatting method of near-space data for Web scientific visualization
TAN Jian, WANG Shenghua, GUO Changshun
2020, 46(4): 712-723. doi: 10.13700/j.bh.1001-5965.2019.0300
Abstract:

As a transitional region from sky to space, near-space has important value in the fields of science, economy and military. With the development of remote sensing technology and the continuous development of mode simulation, the massive near-space data of higher spatial and temporal resolution is increasing. On the other hand, efficient and convenient Web scientific visualization and information extraction for near-space data are inevitable requirements for the continuous deepening and expansion of near-space data applications. However, the existing data types are cumbersome and the amount of data is huge in near-space, which becomes the key bottleneck of Web transmission and real-time visualization. This paper focuses on the visualization of near-space data on the Web digital globe, and studies it from the point of data organization methods. According to the characteristics of near-space data, combined with the principle of video compression, we propose to decompose, interpolate and color space transform the near-space data to form an image, and then select the appropriate video compression coding method to encode the image into video. Experiment results show that this method can be implemented efficiently. The video organization of spatial data in the Web environment realizes the real-time visualization of near-space data by reducing the amount of data network transmission while ensuring the quality of visualization. The research results in this paper can directly solve the real-time visualization problem of near-space data on Web, provide visual theory and technical support for the near-space science research and knowledge discovery, and provide a reference for the Web scientific visualization on similar massive data.

Research on wagon-wheel fuel grain parametric design and internal ballistics performance of hybrid rocket motor
LI Xintian, CAI Qiang, LI Yancheng, WANG Xuekun, DAN Linpeng
2020, 46(4): 724-730. doi: 10.13700/j.bh.1001-5965.2019.0314
Abstract:

The study of fuel grain design and internal ballistic performance can provide the foundation for the design and optimization of hybrid rocket motor. Fuel grain design and internal ballistics calculation process and method of hybrid rocket motor were established. Based on the fuel regression rate law, the variation relationships of burning area and fuel port area with fuel thickness of the wagon-wheel fuel grain were obtained. For certain design specifications and propulsion system scheme, fuel grain schemes were designed for wagon-wheel fuel grain with central port, wagon-wheel fuel grain without central port, double-D fuel grain, and tube fuel grain. The calculation results show that wagon-wheel fuel grain can provide larger burning area, higher propellant loading fraction, and lower length-to-diameter ratio. For tube fuel grain, variations of oxidizer-to-fuel ratio, combustion pressure and thrust with time are much less. Decreasing the fuel diameter can increase the propellant loading fraction of tube and double-D fuel grains. However, the length-to-diameter ratio increases at the same time. The results can provide a good support for the understanding of the internal ballistic characteristics and laws of hybrid rocket motors with wagon-wheel fuel grain.

Inter-satellite communication rate control method of Beidou navigation constellation
LI Xianbin, WANG Jian, FAN Guangteng, YANG Zhixi
2020, 46(4): 731-738. doi: 10.13700/j.bh.1001-5965.2019.0411
Abstract:

Beidou navigation constellation can achieve autonomous orbit determination and performance enhancement by introducing inter-satellite ranging and transmitting links. During data transmission of inter-satellite links, the relative position change of satellites with time causes the constant change of the characteristics of transmission channel. In view of the time-varying characteristics of inter-satellite transmitting links, an inter-satellite communication rate control method based on ephemeris is proposed. On the condition that the quality of transmission service is satisfied, the optimal inter-satellite transmission rate is quantitatively calculated according to the high-precision ephemeris resources that navigational satellite possesses, and the transmission efficiency is improved through the dynamic adjustment of the rate. The simulation results show that, using the proposed method, the inter-satellite transmission efficiency of Beidou navigation constellation can be improved by 1.92 times, which verifies the effectiveness of the method.

Interval interference time-variant reliability analysis method for propellant tank
XIN Tengda, ZHAO Jiguang, CUI Cunyan, DUAN Yongsheng
2020, 46(4): 739-745. doi: 10.13700/j.bh.1001-5965.2019.0294
Abstract:

During the service period of propellant tank, due to the existence of uncertain factors such as structural strength degradation and external random loads, the reliability of propellant tank is with time-variant characteristic. Based on interval theory and stress-strength interference theory, an interval interference time-variant reliability analysis method is proposed for the time-variant reliability analysis of propellant tank. By analyzing the stress of the cylindrical tank with ellipsoid bottom, the stress and strength are converted into the form of time-varying interval variables according to the equivalent stress distribution and strength power exponential degradation model. Combined with the stress-strength interference theory, the stress and strength intervals at any time are converted into the standardized interval. According to the position relation between the critical state function and the standardized interval, the interval interference time-variant reliability index is defined. Finally, the time-variant reliability of tank is analyzed with the sample parameters, and the validity of the proposed method is verified by comparing with the stress-strength interference reliability that obeys normal distribution and the interval reliability analysis results.

Residual vibration suppression method of a cylindrical material loading robot
ZHENG Yu, GUANG Chenhan, YANG Yang
2020, 46(4): 746-753. doi: 10.13700/j.bh.1001-5965.2019.0296
Abstract:

In order to improve the material loading efficiency in vehicles, this paper proposes a new cylindrical material loading robot used in confined space. The residual vibration of the end-effector has been suppressed by optimizing the joint trajectory. Firstly, the overall design scheme and work flow of the material loading robot are given. Then, combined with the structural characteristics of material loading robot, a closed-form rigid-flexible coupling dynamic model is established according to Lagrange method. The calculation method of end-effector's dynamic response is obtained by modal analysis method. Finally, taking the minimization of the sum of the robot joints' residual elastic potential energy as the optimization target, max-min ant system was taken to optimize the trajectory of the robot joint. The optimization results were verified by simulation. Simulation results show that the optimized joint trajectory can reduce about 34.4% of the joint residual elastic potential energy and about 37.6% of vibration amplitude of the end-effector, while satisfying the demand for fast loading.

High-precision decoupling calibration method of multi-dimensional mounting spacecraft
MAO Boyuan, JI Junpeng, ZHANG Pengfei
2020, 46(4): 754-760. doi: 10.13700/j.bh.1001-5965.2019.0285
Abstract:

Aimed at the calibration problem of spacecraft multi-dimensional installation in the coupling situation, an on-orbit calibration method based on imager observation is proposed, and this method effectively overcomes the coupling nonlinearity of the calibration equations. Firstly, the geometric equations that should be satisfied are derived by combining the physical meanings of the imager observation, the vector equations are established by the installation and transfer relationship of each mechanical mechanism, and then the matrix equations are established by the dual-vector method. Secondly, the necessary conditions for the establishment of the matrix equation are analyzed. Through flexible use of the mathematical characteristics of "eigenvector", the installation of the series mechanical mechanism is decoupled, and a mathematical method for on-orbit calibration based on imager observation is obtained, extending the two-dimensional installation to the general case of n-dimensional installation, and giving a standard calculation process. Finally, the calibration algorithm is verified by mathematical simulation. At the same time, the influence of observation noise on the calibration method is simulated. The simulation results show that the method of decoupling calibration using "eigenvector" is effective and accurate.

TSKF algorithm for pulsar position error estimation
XU Qiang, FAN Xiaohu, XU Liguo, WANG Hongli, FENG Lei
2020, 46(4): 761-768. doi: 10.13700/j.bh.1001-5965.2019.0288
Abstract:

In order to improve the robustness of the pulsar position error estimation to the proper motion and satellite position error and the efficiency of the overall algorithm, a two-stage Kalman filter (TSKF) algorithm is designed. Firstly, the influences of pulsar proper motion and satellite position error on pulsar error estimation are analyzed, and the simulation results are verified by combining relevant algorithms. Secondly, based on the CV model and the principle of two-stage Kalman filter, the update equations of TSKF algorithm are derived, and the basic flow of parallel computing is analyzed. The data of the simulation experiment show that position accuracy of the TSKF algorithm is about 0.1 mas and corresponding proper motion accuracy is about 1.1 mas/a in the case of both proper motion and satellite position error. Compared with the estimation algorithm based on CV model, the floating point operation of TSKF algorithm only increases by 0.048%.

Formation control for high-order linear swarm systems with complex communication conditions
SHI Xiaohang, ZHANG Qingjie, LYU Junwei
2020, 46(4): 769-780. doi: 10.13700/j.bh.1001-5965.2019.0302
Abstract:

The formation control problems for high-order linear swarm systems with time-varying delays, topology uncertainties and external disturbances are investigated. Firstly, the mathematical description of the formation control for swarm systems is established, and the formation control protocol is proposed based on the consensus nearest neighbor principle. Secondly, the necessary and sufficient conditions for swarm systems to achieve the formation are presented. By decomposing the state and using the variable substitution method, the design method of formation protocol is given under the constrained conditions. Furthermore, in order to get the upper bound of the time-varying delays, the free-weighting matrices are introduced, and the linear matrix inequality (LMI) criteria with lower conservation are obtained. Finally, numerical examples and simulation results are given to demonstrate the effectiveness of the proposed method. The formation control method is robust for bounded time-varying delays, topology uncertainties and external disturbances.

Interval type-2 adaptive fuzzy sliding mode control design of reentry attitude for reusable launch vehicles
YANG Zhenshu, MAO Qi, DOU Liqian
2020, 46(4): 781-790. doi: 10.13700/j.bh.1001-5965.2019.0474
Abstract:

Considering the attitude tracking problem for reusable launch vehicles (RLVs) during reentry phase with high nonlinear and multi-variable coupling characteristics in the presence of parameter uncertainties and external disturbances, an interval type-2 adaptive fuzzy sliding mode based attitude control method is proposed in this paper. Firstly, the dynamic model for the RLV is developed, which is further transformed into attitude angle and angular rate subsystems using backstepping method. Secondly, the parameter uncertainties and external disturbances of the RLV model are regarded as part of the nonlinear terms of the subsystems. Thirdly, the nonlinear terms of the subsystems are approximated by the interval type-2 fuzzy system, while the virtual control signal and the actual control signal can be obtained respectively by combining the adaptive technique and sliding mode control method. Besides, the first-order low-pass filter is used to deal with the virtual control law of subsystem. The stability of the closed-loop control system is guaranteed via Lyapunov theory and the attitude tracking error can converge to a small neighborhood around the origin. Finally, the numerical simulation on the reentry vehicle is conducted to verify that the developed control method can track the reference commands effectively and have strong robustness again external disturbances.

High-precision geomagnetic reference map construction method based on compressed sensing
MA Xiaoyu, ZHANG Jinsheng, HAO Liangliang, LI Ting, WANG Shaobo, LI Lin
2020, 46(4): 791-797. doi: 10.13700/j.bh.1001-5965.2019.0313
Abstract:

The construction of geomagnetic reference map is the cornerstone of geomagnetic matching navigation.In this paper, the compressed sensing theory is applied to the geomagnetic information acquisition, which aims at solving the problem that the accuracy of the geomagnetic reference map is not satisfactory with the less measured data based on interpolation methods.A high-precision method of geomagnetic reference map construction based on compressed sensing is put forward, taking the structural characteristics of the geomagnetic reference map into consideration. The discrete cosine transform matrix is used as sparse basis, the unit matrix is used as measurement matrix, and the compression sampling matching pursuit (CoSaMP) algorithm is used as the reconstruction method. The experimental results show that the proposedmethod has better reconstruction accuracy and stability compared withthe methods of cubic spline interpolation, Kriging interpolation and PSO-Kriging interpolation. Compared with the PSO-Kriging interpolation method which has the best performance among the three, when geomagnetic reference map is reconstructed at the sampling rate of 6.25%, the proposed method makes the peak signal-to-noise ratio (PSNR) increase from 66.97 dB to 74.67 dB, themeanabsolute error reduce from 25.47 nT to 10.26 nT, and the root mean square error decrease from 28.57 nT to 11.33nT.

Design and analysis of a 3-PPP compliant parallel micro-positioning stage
WANG Baoxing, MENG Gang, LIN Miao, LI Wei, CAO Yi
2020, 46(4): 798-807. doi: 10.13700/j.bh.1001-5965.2019.0286
Abstract:

The structure layouts of the existing spatial translational compliant parallel micro-positioning stages are not compact, and the parasitic motion of each kinematic joint accumulates during multi-axis actuation, which leads to the augment of cross-axis coupling error. In order to solve these problems, first, a distributed-compliance 3-PPP spatial translational compliant parallel micro-positioning stage (CPMS) based on compliant sheet was designed. Secondly, the stage volume was reduced, and the parasitic motion accumulation phenomenon of kinematic joints in each limb was eliminated by the way of structure optimization. Then, the theoretical model of input stiffness was deduced through compliance matrix method. The validity of the theoretical model was proved by finite element simulation. Besides, the natural frequency of the CPMS was calculated, and the relationship between natural frequency of the CPMS and size parameters of compliant sheet was explored. Finally, comparative analysis of the CPMS before and after structure optimization was conducted by finite element simulation. The results show that the volume of the CPMS is reduced by 67% after structure optimization, and the CPMS has better kinematic decoupling characteristic and input output consistency in both single-axis and multi-axis actuation.

A Cache design for image warping
KANG Jie, LIU Qiang
2020, 46(4): 808-813. doi: 10.13700/j.bh.1001-5965.2019.0284
Abstract:

The vehicle head-up display (HUD) system displays the source image plane on the windshield surface by image warping. Non-linear access to source image pixels degrades memory access efficiency. To solve this problem, a Cache is designed to ensure pixel access continuity, reduce memory access numbers and improve bandwidth resource utilization. To optimize the performance of Cache, a storage separation management technology and an address multi-level comparison technology are proposed to improve the storage density of image pixels and save logical resources. In addition, a method for dynamically adjusting the Cache capacity is proposed to reduce storage resource usage and power consumption while ensuring the hit rate. The experimental results show that the storage separation management technology saves storage resources by 25%. The address multi-level comparison technology saves logical resources by nearly 10%. The Cache capacity can be reduced by the dynamic adjusting method by 75%, dynamic power consumption is reduced by 67.578%, and static power consumption is reduced by 14.060%.

Research and design of synchronous GPS spoofing signal generation technology
LIU Yachuan, KOU Yanhong
2020, 46(4): 814-821. doi: 10.13700/j.bh.1001-5965.2019.0303
Abstract:

In order to meet the actual requirements of navigation spoofing of "low, slow, small" UAV, a miniaturized synchronous GPS spoofer has been developed based on our asynchronous GPS generator spoofer. Firstly, based on asynchronous GPS generator spoofer RF signal model, considering the spoofer signal processing delay, the spoofing signal propagation delay, the status of the authentic satellite signal received by the UAV receiver, and the dynamic model of the UAV, established the mathematical model to accurately calculate the simulation time and state parameters of the synchronous spoofing signal. Secondly, a local timing receiver is employed to provide the disciplined reference clock and 1 pulse per second (1PPS) signal to synchronize the spoofing signal with the authentic system time, and high-order direct digital synthesis(DDS) technology is applied to accurately control the signal parameters and ensure that the difference between the spoofing signal and the authentic signal is within the tolerances allowed for successful spoofing when the spoofing signal reaches the phase center of the receiving antenna of the target receiver. Finally, the test results using a popular commercial UAV and a commercial receiver are presented. When the UAV receiver tracks the authentic satellite signal, the synchronous GPS spoofer begins to transmit the spoofing signal, which gradually deviates the target receiver from its normal measurements and makes it output the position and velocity results under control. The results verify the established synchronous signal model, the designed synchronous signal generation circuit, and indicate the synchronous GPS spoofer can achieve navigation spoofing of commercial UAV and commercial receiver.

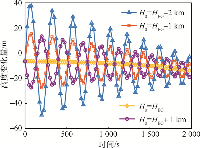
Rate-constrained traffic prediction of TTE network based on LSTM
SHI Yafei, LI Qiao, XIONG Huagang
2020, 46(4): 822-829. doi: 10.13700/j.bh.1001-5965.2019.0320
Abstract:

The rate constraint (RC) traffic in time triggered Ethernet (TTE) is event-triggered traffic. In the application scenario of dynamic scheduling of RC traffic, if it can predict the sequence of several RC traffic arriving at the switching node in a short time in the future, the switching node can make scheduling decision in advance to reduce RC traffic delay and improve network throughput. In this paper, the arrival sequence model of RC traffic is established, and an algorithm of RC traffic prediction based on long-term memory network (LSTM) is proposed. Using OMNET++ tool to simulate TTE network, we can get the data of RC traffic transmission under multiple groups of mixed critical configuration, and train and test the prediction algorithm as an input sample. The experimental results show that the accuracy of LSTM algorithm in RC traffic prediction is more than 70%. The experimental results show that the proposed algorithm is suitable for RC traffic prediction scenarios.

Numerical study on mechanical properties of seaplane in whole water surface landing process
ZHAO Yunke, QU Qiulin, LIU Peiqing
2020, 46(4): 830-838. doi: 10.13700/j.bh.1001-5965.2019.0462
Abstract:

The numerical method is used to simulate the whole process of seaplane landing movement attitude and force, which is a complex problem combining water vapor two-phase flow, kinematics and dynamics. In this paper, the global motion grid method based on Fluent commercial software is combined with VOF method for free surface capture and six-degree-of-freedom model for motion state simulation. The numerical simulation of the water surface landing of a certain type of seaplane is carried out. The simulation results verify that the overall motion grid method has good adaptability when dealing with the surface landing problem of seaplanes. Through the simulated overload curve, motion state parameters and water surface condition, the landing process is divided into three stages:impact, water skiing and floating. Through the analysis of each stage, the general understanding of the water surface landing process is summarized. Methods and references are provided for the design and development of seaplanes.